I. 서 론
II. 지배 방정식
III. 음선 추적법
3.1 수층의 사각형 요소
3.2 해수면과 접하는 수층의 사각형 요소
3.3 해저면과 접하는 수층의 다각형 요소
3.4 거리 방향의 음속 구조 변화
3.5 경계면에서 음선의 위상 및 크기의 변화
3.6 특이점에서 음선의 위상 변화
IV. 고유음선 탐색법
4.1 이미지 방법을 통한 음선 해의 보정
4.2 Caustic 근처에서 보정
4.3 근거리에서의 보정
V. 소나의 시계열 수신 신호
VI. 수치 예제 및 검증
5.1 Pekeris 환경에서의 비교
5.2 쐐기 환경에서의 비교
5.3 심해 환경에서의 비교
5.4 시계열 소나 수신신호 모의
VII. 결 론
I. 서 론
소나 시뮬레이터는 실제 전장 환경에서 소나에 탐지되는 신호와 유사한 신호를 생성하는 장비이다.[1-4]
음파 전달 알고리즘은 파동 방정식 혹은 헬름홀츠 방정식의 해를 찾는 과정으로 수학적, 물리적 가정에 따라 음선 모델, 정상모드 모델, 파수 적분 방정식 모델, 그리고 포물선 방정식 모델 등으로 크게 구분된다. 각 음파 전달 모델은 유도되는 과정에서 설정한 가정으로 인해 Table 1과 같은 특징을 가진다.[5-8]
수중 음향 분야에서 소개된 여러 음 전달 알고리즘 중 정확도, 계산속도, 거리와 깊이 방향의 환경 의존성 등 다양한 조건을 고려 할 때 소나 시뮬레이터에 만족하는 기법은 음선 모델이다. Table 2는 기개발된 소나 시뮬레이터의 음파 전달 모델을 보여주며, 대부분 시뮬레이터는 음선 기반의 음파 전달 모델을 채택하고 있다.[1, 9-11]
음선 기반의 음파 전달 알고리즘은 고전적인 음선 추적법과 가우시안 빔 추적법으로 나뉠 수 있다.[12-14] 고전적인 음선 추적법은 고주파수 근사 이론에 의해 얻어진 해법으로 수학적으로 해의 적용범위와 정확도를 설명할 수 있는 장점이 있다. 그러나 caustic이나 음영대에서 음장을 예측하기 어려운 단점이 있고, 음원과 수신기 사이의 고유음선을 탐색해야 하므로 매 위치마다 비선형방정식을 풀어야 한다. 이는 전 경계에 대한 고유음선을 탐색하는 문제를 다룰 경우 계산시간을 증가시키는 요인이 된다. 반면 가우시안 빔 추적법은 음원에서 전방향으로 빔을 쏴주며, 빔은 음선처럼 전파된다. 각각의 빔의 영향은 가우시안 분포를 가정하여 고려한다. 그렇기 때문에 가우시안 빔 추적법을 사용하는 경우 고유음선 탐색은 불필요하며 해양 도파관에서 caustic은 발생하나 음영대가 발생하지 않는다. 또한 가우시안 빔 추적법의 가장 큰 장점은 빠른 속도이므로 시뮬레이터 모델에 적용하는 경우 강력한 성능을 발휘할 수 있다. 그러나 빔과 관련된 계수 선택이 해양환경에 따라 임의적이므로 가우시안 빔 추적법을 사용한 모델끼리도 결과가 다른 경우가 많다.[12-14]
Weinberg 등[14]은 가우시안 빔 음선법과는 별도로 GRAB(Gaussian Ray Bundle)이라는 음선 기법을 제안했다. GRAB은 분류상으로는 고전적인 음선법에 속하며 삼각형 격자법을 이용해 음선을 추적하고, 가우시안 보간법을 이용해 고유음선을 계산한다. GRAB의 주요 학문적인 공헌은 모델의 정확성과는 별도로 음영대에서 가우시안 보간법을 이용해 현실적인 음장을 구현 가능하도록 한 것이며, 둘째는 가상 음선을 이용해 경계면 근처에서도 정밀도가 높은 고유음선 탐색법을 제안했다는 점이다. GRAB은 고전적인 음선법에 기반을 두고 있지만 가우시안 보간법을 이용해 고유음선을 계산하는 방식은 가우시안 빔 음선법과 매우 유사하다. 또한 양자의 계산결과를 비교해 보면 음선 해의 정밀도 수준에서 판단할 때 큰 차이를 보이지 않는다.[12-15] 그렇기 때문에 가우시안 빔 음선법이 GRAB에 비해 엄밀한 수학적 기반을 갖고 있음에도 불구하고 실제 수중음향에서 사용되는 음파 전달 모델에는 GRAB이 널리 사용되고 있다.
본 연구에서는 소나시뮬레이터를 위한 거리 종속 해양환경의 음선 알고리즘을 제시하였다. 본 알고리즘은 기하학적 음선 빔에 기반을 둔 모델이다. 기하학적 음선 빔은 고전적인 음선의 묶음으로 정의되는 개념으로 형태상으로는 Weinburg의 GRAB과 비슷하다. 그러나, 기하학적 빔은 음영구역에서는 정의가 되지 않는 반면, GRAB은 음영구역에서도 Weinburg의 경험적인 가우시안 함수에 의해 일정한 값을 갖는다. 본 논문은 보간법을 이용하여 가청구역에서 고유음선을 계산하고, 외삽법을 이용하여 음영구역에서 음장을 계산한다. 본 논문에서는 보간, 외삽 함수로써 가우시안 보간 함수를 제시하였으나, 본 모델은 다양한 다항식 보간 함수도 적용할 수 있다. 알고리즘 추산에서 GRAB은 음선 추적을 위해 삼각형 격자법을 사용했으나, 본 모델은 사각 격자법과 층법을 이용해 음선을 추적한다. 또한 음속구조와 해저물의 거리의존성도 구현하기 위해 split-step 개념을 적용했다. 시간 영역 신호는 주파수 영역 해의 푸리에 변환을 이용해 계산했다. 이와 같은 알고리즘은 본 모델의 독자적인 공헌이다.
본 논문의 구성은 다음과 같다. 제2장에서는 본 알고리즘의 기반이 되는 고전적인 음선 해의 지배 방정식을 설명하였으며, 제3장에서는 음선 추적법에 대한 알고리즘을 제시한다. 제4장에서는 고유 음선 탐색에 대한 알고리즘을 제시하며, 제5장에서는 시계열 소나 수신신호에 대한 모의 방법이 제시한다. 제6장에서는 음파 전달 모델의 전달손실 결과를 Pekeris 환경, 쐐기 형상의 환경, 심해 환경에서 타 모델과 비교, 검증하고, 등음속 구조의 천해 환경에서 토널 음원과 제안된 알고리즘을 이용하여 시계열 수신신호를 모의한다. 제7장은 본 논문의 결론에 대한 내용이 제시된다.
II. 지배 방정식
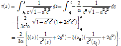
음선 전달 알고리즘에서 고전적인 음선 해는 식(1)과 같이 표현된다.[6]
여기서
는 음선 경로에 평행한 좌표이며,
는 음선의 진폭,
는 Jacobian,
는 수층 음속이다.
이고, exponential 함수에서의 적분식은 지연시간
이다.
고전적인 음선 해는 수직 슬로우니스(vertical slowness)를 이용하여 식(2)와 같이 변환할 수 있다.
여기서
은 음원과 수신기간 거리,
는 수직 슬로우니스,
는 입사각,
는 수심이다.
본 연구에서는 식(2)를 지배 방정식으로 사용하며, 음선의 크기와 지연 시간은 다음 절에서 서술하는 음선 추적법과 고유음선 탐색법을 이용하여 계산한다.
III. 음선 추적법
본 연구에서는 사각 격자법과 층 법을 이용하여 음선을 추적했다. Fig. 1은 본 알고리즘의 격자 구조로 수층으로 둘러싸인 영역은 사각형 요소를 적용하고, 해저면에 접하는 영역은 다각형 요소를 적용했다.
3.1 수층의 사각형 요소
사각형 요소 내부의 음속구조는 거리 독립이며, 깊이 방향으로는
역수의 층 구조를 갖는다고 가정한다.
음속 구조는 아래의 식(3)과 같으며, 음선이 그리는 궤적은 Eikonal 방정식에 의해 식(4)와 같이 표현된다.
여기서
는 음속이고,
와
는 상수이며,
는 수심을 나타낸다.
위에서
와
는 수평, 수직 방향의 변환점으로 각각 아래의 식(5), (6)과 같이 표현된다.
여기서
는 물리적으로 수평방향의 슬로우니스로
와 같이 정의된다.
는 스침각이며, 거리방향에 수평한 방향일 경우 0゚, 윗방향 음선인 경우 음수, 아래방향 음선인 경우 양수이다.
와
는 수평, 수직 방향에서 음선의 시작 위치이다.
식(5)는 식(7)과 같이 수심에 대한 명시적인 식으로도 표현할 수 있다.
식(7)은 거리에 대한 양의 방향으로 전파하는 한 방향 음선의 궤적이다. 또한, 거리에 음의 방향으로 전파하는 음선의 궤적은 아래의 식(8)과 같이 표현된다.
본 연구에서는 거리에 양의 방향으로 전파되는 식(7)을 사용하며, Fig. 2와 같이 음속 구조과 음선 경로에 대한 모든 경우의 수를 설명할 수 있다.
사각형 요소에서 음선의 궤적은 거리와 깊이를 음선 추적의 변수로 이용할 때 보통 상수
,
와
는 서로 매우 크거나 작은 양으로 표시된다. 그 결과, 제곱근 안의 식은 정확하게 계산하기 어려우며, 계산 중 수치적인 에러가 발생 할 확률이 높다. 이 문제를 해결하기 위해 수평 및 수직 슬로우니스를 음선 추적의 변수로 이용한다. 식(7)은 슬로우니스를 변수로 이용해 표현하면 식(9)와 같이 나타낼 수 있다.
여기서
는 수직 슬로우니스를 나타내며,
는 수평 슬로우니스로
와 같이 정의된다.
수평, 수직 방향의 변환점 좌표인
와
는 각각 식(10), (11)과 같이 표현된다.
한편 음선의 지연 시간은 역시 Eikonal 방정식에 의해 식(12)와 같이 정리할 수 있다.
3.2 해수면과 접하는 수층의 사각형 요소
사각형 요소의 상부가 해수면인 경우 해수면 반사에 의한 음선 궤적의 변화를 고려한다. 본 연구에서는 해수면이 평행하다고 가정한다. 따라서 해수면에서는 수직 슬로우니스의 부호를 반대로 하여 음선 추적을 수행한다.
3.3 해저면과 접하는 수층의 다각형 요소
수층과 해저면이 접하는 경계면은 해저면의 경사로 인해 평행하지 않다. 본 연구에서는 변화하는 해저면을 선형 보간으로 근사하기 때문에 해저면과 접하는 수층은 다각형 요소로 생각할 수 있다. 따라서 수층 영역에서 음선 궤적을 추적하는 방법은 3.1절과 동일하다.
그러나 음선이 해저면을 만나는 경우 반사점 및 반사각의 계산이 필요하다. 해저면을
개의 선형 요소로 분할 할 때
번째의 선형 요소는 식(13)과 같다.
여기서
,
이고,
와
은 각각
번째의 선형 요소의 시작점과 끝점이다.
음선과 해저면간 교점의 거리 좌표는 식(4)와 식(13)을 이용하여 아래의 식(14)와 같이 구할 수 있다.
여기서
,
이다.
식(14)에서
의 경우 해저면과 접하기 전에 변환점의 존재로 반사가 발생하지 않으며,
의 경우 변환점과 반사점이 동시에 존재하고,
의 경우 반사점만 존재한다.
한편 해수면에서는 반사되는 음선은 입사 음선의 방향과 반대의 궤적을 보인다. 아래방향 음선은 윗방향 음선으로, 윗방향 음선은 아래방향 음선으로 변화한다. 그러나 경사가 있는 해저면의 경우는 다르다.
해저면 경사가 거리 증가에 따라 수심이 감소하는 음경사인 경우 식(15)의 조건에서 후방반사가 발생한다.
여기서
는 거리방향에 평행한 선분 기준의 입사 스침각이며, 윗방향의 경우는 음수, 아랫방향 경우는 양수이다.
는 거리방향에 평행한 선분 기준의 해저면 경사 스침각이다. 경사 스침각의 부호는 입사 스침각과 동일하다. 이때 반사각은
이 된다.
식(15)의 조건을 제외하면 입사 방향의 궤적과 상관없이 반사 음선은 항상 윗방향으로 반사되어 전파된다. 거리에 따라 수심이 증가하는 양경사의 경우 후방반사는 발생하지 않는다. 대신에 입사 스침각과 경사 스침각의 관계에 따라 윗방향 음선, 거리방향과 평행한 음선, 아래방향 음선으로 반사되며, 각각의 경우에 대한 반사각은 식(16)과 같다.
3.4 거리 방향의 음속 구조 변화
거리 방향의 음속 구조 변화는 split-step 개념으로 구현했다. 특정 위치에서 거리 방향으로 음속의 변화가 있는 경우 알고리즘은 음속구조를 새로 읽고 수직 및 수평 슬로우니스를 업데이트한다. 수직 및 수평 슬로우니스는 스넬의 법칙을 이용해 손쉽게 업데이트 할 수 있다. 거리 방향으로 음속의 변화가 큰 경우 거리 방향의 격자크기는 작아져야 한다. 그러나 거리 방향으로 음속의 변화가 없을 경우 거리 방향의 격자의 크기는 계산하고자 하는 위치에서의 거리와 동일하게 놓아도 무방하다.
3.5 경계면에서 음선의 위상 및 크기의 변화
음선이 해수면과 해저면을 만날 때 음선의 크기와 위상에 대한 변화가 발생한다. 음선이 해수면과 만나는 경우 식(17)과 같이 음선의 위상 변화만 고려했다.
여기서
는 음선의 크기이며,
는 음선의 위상이다.
음선이 해저면과 만나는 경우 평면파 반사계수를 이용하여 음선의 크기와 위상 변화를 고려했다. 수층과 해저면의 평면파 반사계수를
이라 할 때 음선의 크기와 위상변화는 식(18)과 같다,
3.6 특이점에서 음선의 위상 변화
해양에서는 음선의 크기가 급속히 0으로 소멸되는 caustic, 음선 크기의 1차 미분량이 급속히 0으로 소멸되는 cups 등 수많은 특이점들이 존재한다. 음선이 이런 특이점을 지나는 경우 위상 변화가 발생한다. 음선 모델에서 특이점의 위상 변화를 모두 고려해주는 것은 매우 어려우며, 기존의 음선 모델 중 특이점에서의 위상 변화를 모두 계산해주는 모델은 존재하지 않는다.
본 연구에서는 여러 특이점 중 caustic만을 고려한다. Caustic 위치를 정확히 찾고 해당 영역을 지나는 음선을 발견하는 것은 거의 불가능하므로 본 연구에서는 다음과 같은 접근법을 적용했다. 우선 소스에서 음선을 방사했을 때
번째 음선은
번째과
번째 음선으로 둘러싸여 있게 된다. Caustic이 발생하는 경우
번째 음선의 주위를 감싸는 음선과
번째 음선이 서로 교차하게 된다. 이때, 해수면 및 해저면 반사에 의해 교차하는 경우와 전파 기록이 다른 음선끼리의 교차는 제외한다. 본 연구에서는
번째 음선과
번째 음선이 교차했을 때
번째 음선에 caustic이 발생했다고 생각한다. 따라서, 거리
에서
번째 음선의 caustic 발생 횟수가 n번인 경우 해당 음선의 위상은 식(19)와 같이 변환한다.
Caustic의 개수를 세기 위해서는
번째 음선과
번째 음선의 교차점을 세는 알고리즘이 필요하다. 본 연구에서는 각 거리의 단계마다 음선의 반사점, 변환점 등의 정보를 저장하여
번째 음선과
번째 음선 사이의 교차점을 세는 알고리즘을 개발했다. 거리의 단계가 많고 음선이 높은 스침각을 갖는 경우 음선의 반사점, 변환점 등이 많이 발생하므로 교차점을 셀 때 속도 저하가 발생한다. 거리 단계가 적은 경우 빠른 속도로 계산이 가능하다. 이러한 특성은 앞서 기술한 음선 추적법의 거리 단계의 특성과는 상반되는 것으로 적절한 조화가 필요하다.
IV. 고유음선 탐색법
앞서 설명했듯이 고유음선 탐색은 보간 알고리즘을 이용한다. 우선 하나의 음원에서 한 방향으로 각각의 음선을 전파시킨다. 음선 추적 알고리즘을 이용하여 수신기가 있는 거리까지 모든 음선의 궤적을 계산하고, 계산된 각각의 음선들을 동일한 전파 기록을 갖는 음선묶음으로 분류한다. 이때 유의할 점은 음선묶음으로 얻어지는 고유음선의 개수는 실제 고유음선의 개수와 다를 수 있다는 것이다. 음선 이론에서 고유 음선은 물리 법칙에 의해 음원과 수신기간 최단 경로를 의미한다.
하지만 수신기가 음선묶음이 포함되는 영역 내에 존재하지 않는 경우 실제 고유 음선이 존재하지 않는다. 그렇지만, 보간법에 의한 외삽법을 통해 실제 고유 음선과 유사한 음선이 얻어지게 된다. 이때 나타나는 음선 경로를 가상 고유음선이라고 부른다. 가상 고유음선은 고전적인 음선 모델에는 나타나지 않는다. 가상 고유 음선은 물리적으로 회절을 설명하는 복소 음선의 이론에서 허수 고유 음선과 유사하다. 그러나 Weinberg[14]의 GRAB에서 얻어지는 가상 고유 음선은 수학적인 유도 과정에서 얻어진 것이 아닌 비물리적인 양이라는 것에 유의한다. 단지 기존의 이론들인 가우시안 빔 음선법, 복소 음선법의 결과와 비교 시 회절 성분에 대응된다는 뜻이다.
각각의 음선묶음이 얻어졌을 때 음선묶음에 해당하는 음선 크기, 위상, 지연시간, 입사각, 도달각 등 고유음선의 물성은 음선묶음을 이루고 있는 음선간의 보간법을 이용해 식(20)과 같이 계산할 수 있다.
여기서
는
번째 고유음선의 물리량,
은 보간 함수,
은
번째 음선의 임의의 물리량,
는 수신기의 깊이,
은 수신기 거리에서
번째 음선의 깊이,
,
는
번째 음선묶음의 음선 개수를 나타낸다.
한편 보간 함수는 이론적으로 다항식 보간함수, 스플라인 보간함수 등이 있으며, 본 연구에서는 아래의 식(21)과 같이
를 가우시안 보간 함수로 놓았다.[14]
식(21)을 식(2)와 비교해보면
가 되었고, 음선크기의 제곱량이 가우시안 함수로 보간되는 것을 알 수 있다. 이 때문에 위의 보간법은 비상관 합에 의한 보간법으로 볼 수 있다.
식(20)에서 계산된 고유음선의 크기를
, 도달시간을
, 위상을
, 주파수를
라 할 때 주파수 영역에서 전체 음장은 식(22)와 같이 표현된다.
4.1 이미지 방법을 통한 음선 해의 보정
해양 도파관에서 보간법을 이용해 고유음선을 찾을 때 주의해야 할 것이 음선묶음의 불연속이다. 실제 등음속의 무한영역에서 방사되는 음선은 1개의 음선묶음으로 분류할 수 있으며, 전 영역에서 걸쳐서 연속적으로 분포해있다. 그러나 실제 해양 환경에서는 경계면 반사 및 굴절에 의해 각각의 음선묶음이 여러 음선묶음으로 분리가 되고, 이에 따라 앞서 기술했듯이 가상 고유 음선이 존재하게 된다. 그러나 Fig. 3에서 보는 것처럼 수신기가 a의 위치에 존재할 때 2번 음선묶음에 대해서는 가상 고유 음선이 존재하는 것처럼 보인다. 그러나, 경계면에 의해 음선묶음이 분리가 된 경우에는 2번 음선묶음을 이미지 방법에 의해 펼쳐 주어서 고유 음선이 존재하는 것으로 생각하는 것이 합리적이다. 그렇기 때문에 음선묶음에서 고유 음선을 탐색할 때 음선 궤적의 기록에 따른 음선묶음을 이용하기보다는 경계면에서의 반사 효과를 고려한 펼쳐진 음선 묶음을 이용해야 한다. Fig. 3에서 원래 음선 묶음이 1번, 2번이고, 각각 1-3번, 4-6번의 음선을 포함하고 있다면, 업데이트된 음선 묶음은 1번은 1-6번, 2번도 역시 1-6번의 음선을 포함하게 된다. 한 가지 유의할 점은 굴절에 의해 음선 묶음이 분리된 경우에는 음선 묶음을 업데이트해서는 안된다. 이것은 굳이 설명하지 않아도 물리적으로 타당하다.
4.2 Caustic 근처에서 보정
Caustic의 경우에는
으로 수렴하기 때문에 식(21)은 발산하게 된다. Weinberg[14]는 caustic에서는 경험적인 식(23)을 제안했다.
여기서
는 해당 음선의 위치에서 파장을 의미한다.
4.3 근거리에서의 보정
음원과 수신기가 근거리에 위치한 경우 식(23)을 적용하고 다시 조건식(24)로
을 결정한다.
위 식은 음파의 평면파 특성보다 구면파 특성이 고려된 것이다. 식(24)는 음속이 변하는 실제 해양환경에서 정확하게 유도된 식은 아니며 등속도 환경에 대한 Weinberg[14]의 제안 식이다.
V. 소나의 시계열 수신 신호
본 논문에서는 Lee 등[16]이 제시한 내용을 보완하고 발전시켜 시계열 신호를 제시하였다. Park 등[15]이 제시한 시계열 신호는 고전적인 음선 추적법으로 개발된 음선모델로써 본 논문과 같이 보간법을 이용하여 고유음선을 계산하는 것이 아니라 bisection 법과 같은 고유음석 탐색법을 이용하여 수신기의 매 위치마다 고유음선을 탐색한다. 또한 광대역 시간 영역 음선모델로써 시간영역에서 고유음선의 최종해가 임펄스 응답의 형태로 표현된다. 본 논문에서 소나의 시계열 수신 신호는 Park 등[15]의 방법과 달리 음원 신호와 고유 음선 주파수 해의 푸리에 변환을 이용하여 모의되었다.
식(25)와 같이 시계열 Kernel의 복소공액성(complex conjugate)을 이용하고 실수 FFT(Fast Fourier Transform)를 이용하여 수신 신호를 계산할 수 있다. 여기서
의 음선크기, 지연시간, 위상이 주파수에 독립적이라면 식(25)는 단순히 지연 음원 신호의 형태로 구해진다.
그러나 실제 해양 환경에서 음선 크기, 음선 위상은 주파수에 의존적이다. 음선이 해저면에서 반사되는 경우 음선의 크기는 반사계수에 의존하며, 반사계수는 주파수에 의존적이다. 반사계수는 양의 주파수 영역만 고려하면 주파수 독립적이나, 전 주파수 영역에서는 주파수 의존적이다. 또한 caustic이 발생한 경우 음선 크기, 음선 지연시간, 음선 위상은 주파수에 의존적이다.
본 연구에서 반사계수의 주파수 의존성은 식(25)의 계산에서 고려했으며, caustic이 발생하는 경우에 대해서는 주파수의 의존성을 무시했다. 또한 식(21), (23), (24)의 조건은 소나의 중심 주파수에 대해서만 고려했다.
VI. 수치 예제 및 검증
본 논문에서는 알고리즘의 검증을 위해 Pekeris 환경, 쐐기 환경, 심해 환경에서 제안 알고리즘의 전달손실 결과와 다른 모델의 결과를 비교하였다. 비교 환경은 Brooke 등[17]과 Baxley 등[18]의 비교 예제를 참고하였다. 또한 본 연구에서 제안한 모델의 명칭은 SNUBEAM으로 통일하였다. 한편, 시계열 소나 수신 신호는 등음속 천해 환경에서 토널의 음원 신호와 제안 알고리즘을 이용하여 모의하였다.
5.1 Pekeris 환경에서의 비교
첫 번째로 Pekeris 환경에서 전달손실을 비교한 결과이다. 비교 대상 모델은 가우시안 빔 모델인 BELLHOP,[19] 포물선 방정식 모델의 SNUPE,[20] 파수 적분 방정식을 이용한 고속음장 모델의 OASES[21, 22]이다. 해양환경은 Fig. 4와 같이 최대 수심 100 m의 평평한 해저면으로 음속 1590 m/s, 밀도 1.2 g/cm3, 감쇠 지수 0.5 dB/
의 바닥 정보를 가진다. 수층음속은 등음속 구조를 가지며, 음원은 수심 50 m, 수신기는 수심 50 m에 위치하고 있다. 동 환경에서 주파수 250 Hz, -20゚ ~ 20゚의 방향성을 갖는 100개의 빔을 발사시켜 각 모델에 대한 전달 손실 결과와 비교하였다. Fig. 5에서 보듯이 음원의 주파수는 250 Hz의 저주파임에도 불구하고 거리에 따른 전달 손실을 비교한 결과, 본 모델의 결과는 다른 모델의 것과 정확하게 일치한다.
|
Fig. 4. Geometry of Pekeris waveguide environment.[17] |
|
Fig. 5. Comparison results of transmission loss in the Pekeris waveguide environment. |
5.2 쐐기 환경에서의 비교
두 번째로 쐐기 환경에서 전달 손실을 비교한 결과이다. 비교 대상 모델은 가우시안 빔 모델인 BELLHOP,[19] 포물선 방정식 모델의 SNUPE[20]이다. 해양환경은 Fig. 6과 같이 최대 수심 200 m의 쐐기 형상으로 거리 5 km를 중심으로 수심 100 m로 낮아졌다가 다시 높아진다. 바닥 정보는 Pekeris 환경과 동일하다. 수층 음속은 등음속 구조를 가지며, 음원은 수심 50 m, 수신기는 수심 50 m에 위치하고 있다. 동 환경에서 주파수 250 Hz, -20゚~ 20゚의 방향성을 갖는 100 개의 빔을 발사시켜 각 모델에 대한 전달 손실 결과와 비교하였다. Fig. 7에서 보듯이 알고리즘의 결과는 BELLHOP의 결과와 정확히 일치하나 SNUPE의 결과와는 차이가 난다. 모델간 전달손실의 오차는 쐐기의 꼭지점을 지나면서 발생하며 거리가 멀어질수록 더욱 커진다. 본 제안 알고리즘은 쐐기에서의 회절현상을 설명하지 못하므로 오차가 발생한 것으로 추정된다. 결과적으로, 엄밀한 모델인 포물선 방정식 모델의 SNUPE와는 오차를 보이나, 공신력 있는 대표적 음선 모델인 BELLHOP과 비교 시 유사한 결과를 확인할 수 있다.
|
Fig. 6. Geometry of wedge environment.[17] |
|
Fig. 7. Comparison results of transmission loss in the wedge seabed environment. |
5.3 심해 환경에서의 비교
세 번째로 심해 환경에서 전달손실을 비교한 결과이다. 비교 모델은 가우시안 빔 모델인 BELLHOP, 정상 모드의 KRAKEN[23, 24]이다. 해양환경은 Fig. 8(a)와 같이 수심 5000 m의 평평한 해저면으로 음속 1600 m/s, 밀도 1 g/cm3, 감쇠 지수 0 dB/
의 바닥 정보를 가진다. 또한 Fig. 8(b)과 같이 Munk의 수층 음속 구조를 가지며, 음원은 수심 1000 m, 수신기는 수심 800 m에 위치하고 있다. 동 환경에서 주파수 50 Hz, -20゚ ~ 20゚의 방향성을 갖는 100개의 빔을 발사시켜 각 모델에 대한 전달 손실 결과와 비교하였다. Fig. 9에서 보듯이 본 제안 알고리즘은 KRAKEN 정상모드법의 해와 간섭패턴에서는 차이를 보이나, 포락선의 경향은 유사한 것을 확인할 수 있다. 여기서 정확한 간섭패턴의 차이는 앞서 설명했듯이 음선 해의 한계 때문이다. 본 모델을 BELLHOP 모델과 비교 시 전체적으로 유사한 정확도의 결과를 확인할 수 있다. 12 ~ 25 km 거리 구간에서 음영대의 생성으로 고전적인 음선 모델은 전달손실이 무한대로 커지나, BELLHOP과 본 제안 알고리즘은 일정 수준의 값에 수렴하는 것을 알 수 있다.
| |
(a) | (b) |
Fig. 8. (a) Geometry of deep sea environment,[18] (b) Munk sound speed profile. | |
| |
Fig. 9. Comparison results of transmission loss in the deep sea environment. | |
5.4 시계열 소나 수신신호 모의
네 번째로 시계열 소나 수신신호는 간단하게 등음속의 천해 환경에서 모의하였다. 해양환경은 Fig. 10과 같이 수심 100 m의 평평한 해저면으로 음속 1700 m/s, 밀도 1.5 g/cm3, 감쇠 지수 0.5 dB/
의 바닥 정보를 가진다. 또한 음원은 수심 10 m에 위치하고 있으며, 수신기는 수심 56.75 m, 음원과 수평거리 1 km에 위치하고 있다. 수층 음속구조는 1500 m/s의 등음속 구조이다. 동 환경에서 음원은 최대 진폭 1 Pa, 주파수 2 kHz, 파형 길이 50 ms의 토널 신호이다. 위의 조건에서 음원을 -20° ~ 20°의 방향성으로 100 개의 빔을 발사시켜 수신기에 도달하는 시계열 소나 수신 신호를 모의하였다. 모의 결과, Fig. 11에서 보듯이 시계열 소나 수신 신호는 0.66 s 이후부터 발생하여 0.757 s까지 지속되었으며, 초기 최대의 진폭 1 Pa에서 0.005 Pa의 크기로 감쇠된 것을 알 수 있었다.
VII. 결 론
본 논문에서는 소나 시뮬레이터를 위한 거리 종속 해양환경의 음선 알고리즘을 개발하였다. 앞서 언급하였듯이 본 알고리즘에서는 사각 격자법과 층 법으로 음선을 추적하여 음속구조의 깊이 방향 의존성을 고려하였으며, 거리 방향의 split-step 개념을 적용하여 음속구조의 거리 의존성을 구현하였다. 고유음선은 음선 묶음의 보간법을 통해 계산하였으며, 가우시안 보간함수를 적용하였다. 소나 시뮬레이터 적용을 위한 소나의 시계열 수신 신호는 음원 신호와 고유 음선 주파수 해의 푸리에 변환을 이용하여 모의되었다. 최종적으로 제안된 음파 알고리즘을 검증하기 위해 Pekeris, 쐐기, 심해의 환경에서 전달손실 결과를 BELLHOP, SNUPE, KRAKEN, OASES 등 검증된 모델의 결과와 비교하였다. Pekeris 환경에서 본 제안 알고리즘은 타 모델과 일치하였으며, 쐐기 환경에서는 회절 현상을 설명하지 못하는 부분으로 오차가 발생하였으나 공신력 있는 BELLHOP 모델과는 유사한 결과를 확인할 수 있었다. 심해 환경에서는 음영대 생성 구간의 전달손실이 일정 값에 수렴하였고, 포락선의 경향은 타모델과 비교 시 유사한 경향을 보였다. 또한, 제안 알고리즘과 토널 음원을 이용하여 시뮬레이터에 적용 가능한 시계열 수신 신호를 모의할 수 있었다.
이와 같이 제안된 음선 모델과 함정 등에서 발생하는 수중 표적의 소음원을 이용하여 시계열 수신 신호를 생성함으로써 소나 시뮬레이터에 적용이 가능할 것으로 판단된다. 향후 본 모델에 다양한 보간함수의 적용으로 각 결과에 대한 해의 정확도를 비교해 볼 것이다.







,

,
.

,
.






.




.
.









