I. 서 론
지음향학적 역산은 해저지층의 지음향 인자뿐만 아니라 수충의 음속분포 및 음원과 청음기의 기하학적 인자를 추정하는 기법으로 널리 활용되고 있다. 수중 음전달에 가장 큰 영향을 주는 환경인자는 수층의 음속분포이나 천해에서는 해저지층의 영향을 무시할 수 없다. 이러한 해양 환경인자를 추정하기 위해 다양한 주파수영역[1-3]과 시간영역[4-14] 역산방법이 개발되어왔다.
해양환경이 시간적으로 변함에 따라 음향 데이터 또한 그에 상응하는 시변동을 보이게 된다. 이러한 변화의 시간척도는 원인에 따라 다양하며 그 중 초 단위 변동은 반복적으로 송출된 chirp 신호 등의 광대역 주파수 음향신호에서 쉽게 찾아볼 수 있다. 특히 고주파(>1 kHz)로 갈수록 이러한 변화는 쉽게 눈에 띈다. 음향신호의 시변동성이 역산에 미치는 영향을 줄이기 위해 대부분의 주파수 영역 역산에서는 공분산 행렬(covariance matrix)을 구성할 때 가능한 많은 데이터의 평균을 취하려고 노력한다.[2] 시간영역 역산에서도 이와 유사하게 음향데이터를 겹쳐서 사용하는 등의 방법을 취한다.[12, 14] 그런데 어떠한 경우에도 음향데이터의 시변동은 역산에 악영향을 미칠것이며 시변동의 물리적 현상과 그 원인을 파악하여 시변동의 영향을 최소로 줄이는 노력이 필요하다.
2006년 여름 미국 New Jersey 대륙붕 근처 천해에서 음향실험을 포함한 일련의 해상실험(Shallow Water 2006, SW06)[15]이 수행되었다. 1초 간격으로 송출된 후 수직선배열에서 계측된 근거리 chirp 신호(1100~2900 Hz)로부터 직접도달파와 해수면 반사파의 강한 시변동이 관찰되었다. 이러한 시변동은 당시 해역에서 발달된 강한 수온약층(thermocline)과 파도에 의한 음원의 상하운동에 의해 발생할 수 있음이 알려진 바 있다.[16] 본 논문에서는 이러한 신호의 시변동에 강인한 시간영역 역산기법을 제안하고 실험 데이터에 대한 역산결과를 제시한다.
II. SW06 실험 데이터
SW06 실험 중 32개의 채널로 구성된 L-형상의 선배열(SWAMI32)을 이용하여 음향데이터가 계측되었다. 이중 역산에 활용된 수직선배열은 5.95 m 간격으로 10채널로 구성되었다. 수직선배열 근처 해역은 수심이 약 69 m인 거리 비종속(range-independent) 환경을 보였고 해저지층은 모래-진흙-실트 혼합물 층 위에 굵은 모래가 덮여있는 것으로 조사되었다.[17-18]
음향실험 중 음원은 R/V Knorr에 의해 0.5~1 노트의 속도로 반지름 약 190 m의 원형 트랙(Fig. 1(a))을 따라 견인되었다. 음원은 수심 약 35 m의 깊이에서 견인되었고 1초 길이의 1100~2900 Hz chirp 신호를 매초 송출하였다. 음향실험은 2006년 9월 3일 22:50 UTC(Coordinated Universal Time)에 시작되었고 24:20 UTC에 끝마쳤다. Fig. 1(a)에서 ∇는 10분 간격으로 표시한 음원의 위치를 나타내며 그림 내부에 표시된 각도는 북쪽을 기준으로 하였다.
음향신호와 더불어 실험 해역의 환경 데이터도 함께 계측되었다. 수층의 음속분포(SSP, Sound Speed Profile)는 실험기간 중 계측된 CTD(Conductivity - Temperature - Depth) 자료를 통해 Fig. 1(b)와 같이 추정되었다. Fig. 1(a)에는 음향실험 직전(21:56 UTC) 계측된 CTD 44의 계측위치를 보여준다. 수층 음속분포로부터 수심 25 m 근처에서 강한 수온약층이 발달하였음을 확인할 수 있다. 또한 실험 당시 실험해역에는 너울성 파도(swell)가 관측되었다. SWAMI32로부터 8.2 km 떨어진 곳에 설치된 ASIS(Air-Sea Interaction Spar) 부이의 관측 에 따르면 수면파 스펙트럼의 중심주파수는 0.12 Hz 였고 유의파고는 약 2.2 m로 추정되었다.
수직선배열에서 계측된 음향데이터는 정합필터링(matched filtering) 과정을 거쳐 신호가 압축되었다. 따라서 본 논문의 음향데이터는 정합필터링 된 신호를 의미한다. Fig. 2는 수직선배열에서 계측된 대표적인 음향데이터를 보여준다. 그림에서 D, SR, BR, BSR, SBR은 각각 직접도달파, 해수면 반사파, 해저면 반사파, 해저면-해수면 반사파, 그리고 해수면-해저면 반사파를 의미한다. 모든 음향데이터는 Fig. 2(a)와 유사한 음도달 구조를 보였다. 그러나 도달시간과 크기는 Fig. 2(b)에서보이는 바와 같이 신호별로 큰 변동을 보였다. Fig. 2(b)는 수직선배열의 3번 채널 데이터 중 초기 380 s 음향 데이터[Fig. 1(a) 원형트랙 중 약 20° 해당] 로부터 각 도달성분의 도달시간과 크기를 추출하여 나타낸 것이다. 그림으로부터 원형트랙을 따라 음원이 이동하면서 발생한 음원-배열 거리 차에 따른 도달시간 변동과 이보다는 더 빠른 주기로 변동하는 현상이 관측되었다. 이 때 빠른 변동주기는 수면파의 주기와 일치하는 것으로 밝혀졌다.[16] 도달성분의 크기 변동은 특히 수면 반사파 성분(SR, SBR, BSR)들에서 심한 것으로 관찰되었다. 수면 반사파 성분은 각 신호별 도달 시간과 크기의 변동이 일정한 규칙이 없는 무작위 변동 특성을 보였다.[16] 이러한 불규칙성은 특히 중심주파수가 높고 주파수 대역이 넓은 chirp 신호에서 명확히 드러나는 것으로 판단된다.
III. 역산 기법
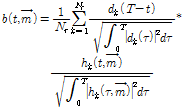
시변동이 있는 음향데이터 역산을 위해 Park 등[13]이 제안한 시간영역 역산기법을 수정 후 적용하였다. k 채널에서 계측된 음향신호를
라 하고 역산인자벡터
에 대한 임펄스응답 복제신호(replica)를
라 할 때 정규화된 역전파신호(normalized back-propagated signal) 는 다음과 같이 정의된다.
식(1)에서
은 전체 청음기의 개수이고
는 신호의 유효 시간범위를 나타내며 *는 컨벌루션(convolution) 연산자이다. 식(1)의 정규화된 역전파 신호는 모든 채널에 대한 정규화된 상호상관함수(cross correlation function)의 평균값에 해당된다. 역산을 위한 목적함수(objective function)는 초점시간범위(focal time-width)
동안의 역전파 신호 최대 파워로서 다음과 같이 정의된다.
초점시간범위
는 음원의 음향에너지를 대부분 포함하는 시간간격을 의미하며 정합필터링 된 1.1- 2.9 kHz chirp 신호의 초점시간은 1 ms 로 설정하였다.
임펄스 응답 복제신호(
) 는 대상 환경에 대한 수치해석에 의해 모의될 수 있다. 해수면 경계조건을 모의할 수 있는 포물선방정식[19]과 음선기반 모델[20] 등의 수치기법이 개발된 바 있으나 불규칙한 해수면을 역산에서 고려하기에는 아직까지는 계산시간 면에서 무리가 있다. 또한 불규칙한 해수면 반사파는 지음향학적 인자에 대한 유용한 정보를 충분히 제공하지 않는다. 이러한 불규칙한 해수면 반사파의 영향을 줄이고 해저면의 역산에 집중하기 위해서 역산 환경모델에서 해수면 경계를 제외하였다. 따라서 역산과정에는 직접도달파와 해저면 반사파만을 이용하였다. 즉, 계측된 음향신호는 수신기로부터 음원의 위치로 직접도달 경로와 해저면 반사 경로를 따라 역전파된다. 이 때 수치해석 기법은 음선기반 시간영역 모델링 기법[21]을 사용하였다.
실험해역 근처 해저면 모래층의 두께는 3-5 m 로 보고되었으나, 음향데이터에는 지층 하부의 혼합물 층으로부터의 반사파는 명확히 관찰되지는 않았다.[17] 이는 수층과 상부 모래층의 임피던스 차이에 비해 모래층과 혼합층의 임피던스 차이가 작은 것에 기인하는 것으로 판단된다. 따라서 해저면의 지음향 모델로써 단일매질로 구성된 반무한바닥 모델(half-space bottom model)을 가정하였다. 실제로 층 모델(layered model)에 대한 역산을 수행한 결과 반무한바닥 모델에 비해 더 나은 결과를 얻을 수는 없었다. 따라서 최소한 1.1~2.9 kHz chirp 신호의 경우 반무한바닥 모델이 실제 해저환경을 대표할 수 있다고 판단된다.
본 연구에서는 역산인자를 기하학적 인자(geometrical parameters), 지음향학적 인자(geoacoustic parameters), 그리고 수층음속분포 인자(SSP parameters) 등 세 그룹으로 분류하였다. 역산인자와 환경모델은 Fig. 3과 같다. 기하학적 인자는 음원의 위치 및 수직 선배열의 기울기를 포함한다. 지음향학적 인자는 해저면의 음속과 밀도를 포함한다. 끝으로 수층인자는 수층의 음속분포에 관한 항목을 포함하며 수심은 역산 환경모델에서 해수면이 제외되었으므로 역산인자에는 포함되지 않는다.
수층의 음속분포는 Fig. 1(b)의 계측결과를 바탕으로 상부 영역, 수온약층 영역, 그리고 하부 영역 등 세 영역으로 구분하였다. 상부 영역은 다른 영역에 비해 상대적으로 음속이 균일한 영역으로서 두 개의 층으로 모델링하였다. 수온약층 영역은 음속분포의 기울기의 변화가 심하므로 네 개의 층으로 모델링 하였다. 끝으로 하부영역은 하나의 기울기로 구성된 단일 층으로 모델링 하였다. 따라서 세 음속영역의 경계(Break Point)는 Break Point 2와 Break Point 6에 해당된다. 실험해역 근처의 수층 최상부의 음속은 1521 m/s로 일정한 값을 보였고 상부영역의 깊이 또한 일정한 것으로 계측되었다. 반면에 수층 최하부의 음속은 계측 지역마다 약간의 편차를 보였다. 따라서 역산에 의해 추정되어야 할 수층의 정보는 각 경계의 음속 및 상부 영역과 수온약층 영역의 경계(Break Point 2)를 제외한 나머지 경계의 수심, 그리고 수층 최하부의 음속이 된다. 각 수층에서 음속은 선형 분포를 가정하였고, 각 경계에서의 음속 불일치는 없는 것으로 모델링 하였다. 이상의 역산인자의 탐색범위는 Table 1과 같다. 수층의 음속분포 탐색범위는 실험해역 주변에서 계측된 CTD 자료들을 바탕으로 탐색범위를 정하였고, 지음향학적 인자들은 기존의 유사 해역 연구자료를 바탕으로 설정하였다.[17-18]
역산은 식(2)의 목적함수를 최대로 하는 인자를 탐색하는 최적화과정을 통해 수행된다. 지음향학적 역산에서 다단계 최적화기법(multi-step optimization)의 유용성이 널리 알려진 바 있다.[12,13, 22] 다단계 역산기법은 민감도가 서로 다른 인자의 최적화에서 민감도가 큰 일부의 인자에 대해 최적화 과정이 집중되는 것을 방지하기 위해 사용된다. 또한 다단계 역산은 각 단계에서 역산인자의 개수를 줄여 탐색 효율을 높여주는 장점이 있다.
본 연구에서는 역산인자를 다수의 그룹으로 나누고 각 그룹의 인자들을 단계적으로 역산하는 다단계 역산기법을 적용하였다. 그룹을 나눌 때 가장 중요한 고려사항은 목적함수에 대한 인자의 민감도(sensitivity)이다. 신호들의 상호상관(cross-correlation) 값에 가장 큰 영향을 미치는 요인은 도달 신호의 위상, 즉 도달시간(travel time)이다. 도달시간의 불일치(mismatch)는 상호상관 값의 상당한 저감을 초래한다. 반면에 신호의 크기는 상대적으로 영향이 작다. 따라서 신호의 도달시간과 관련된 인자의 민감도가 크고 신호의 크기와 관련된 인자의 민감도는 상대적으로 작다. 반무한바닥 모델에서 도달시간을 결정하는 인자는 음원 및 수직선배열의 기하학적 인자와 수층의 음속분포이다. 따라서 해저면의 지음향학적 인자 역산에 앞서 기하학적 인자와 수층인자의 역산을 수행하는 것이 유리하다.
신호의 주파수 대역이 높아질수록 정합필터링에 의한 음원파형의 압축정도가 커지므로 반무한바닥 모델의 지음향학적 인자를 역산할 때 계측된 음향신호와 복제신호간의 도달시간의 정확한 매칭은 더욱 중요하게 된다. 따라서 두 신호간의 도달시간 매칭을 개선하기 위해 도달시간 관련 인자들의 역산에는 다음과 같은 반복역산기법(iterative inversion method)을 적용하였다. 역산시 기하학적 인자는 다른 인자들에 비해 민감도가 크므로 쉽게 역산이 되는 것으로 알려져 있다.[13] 반면에 수층의 음속분포는 실험해역의 환경에 따라 서로 다른 역산 특성을 보인다. 본 음향 데이터의 경우 직접 도달파의 전파는 수층의 음속분포, 특히 강한 수온약층에 영향을 받으며 그 영향의 정도는 청음기의 수심에 따라 다르다.[16] 따라서 수온약층에 많은 영향을 받은 청음기(채널 3-7) 수심[16]의 직접도달파를 통해 수온약층 영역의 음속분포를 역산하는 것이 효율적일 것이다. 그런데 수온약층 영역을 추정하기 위해서는 음원과 청음기의 기하학적 정보가 필요하다. 수층의 음속과 음원 및 청음기의 위치는 서로 연관되어 있기 때문이다. 따라서 역산의 첫 번째 단계에는 수온약층 영역 역산인자와 기하학적 인자를 동시에 추정한다. 그러나 본 추정값은 다음 단계의 반복역산을 위한 초기값으로만 활용된다. 반복역산의 두 번째 단계에서는 수온약층 영역에 집중하여 역산을 수행 후, 세 번째 단계에서 나머지 도달시간 관련 인자의 역산을 수행한다. 이러한 반복역산의 과정을 통해 역산 결과 및 계측신호와 복제신호간의 도달시간 매칭은 향상될 것으로 기대된다.
다음은 이상의 다단계 역산기법을 요약한 것이다. 또한 각 단계별 역산인자는 Table 1에 나타내었다.
1단계 : 모든 채널의 음향데이터를 사용하여 수층음속분포 인자와 기하학적 인자의 역산을 수행한다. 1단계 역산의 목적은 2단계에서 수행될 수층음속분포 인자의 역산을 위해 필요한 기하학적 인자 값의 초기추정(pre-estimation)에 있다. 본 단계에서는 해저층의 지음향학적 인자는 중요하지 않으므로 해저층의 음속과 밀도는 Knobles 등[17]의 자료를 활용하여 1650 m/s 와 2.0 g/cm3의 대표값으로 설정하였다. 또한 최적화 부담을 줄이기 위해 수층음속분포 인자 중 Break Point 1과 수층음속분포의 최하부(bottom) 음속은 본 단계 역산에서 제외하였다.
2단계 : 본 단계에서는 수온약층(Break Point 2-6)영역의 음속 및 구조를 추정한다. 수온약층에 의해 직접도달파 크기와 위상에 큰 영향을 받은 채널 3-7의 음향데이터를 역산에 활용한다. 적은 숫자의 음향데이터를 보상하기 위해 1단계에서 초기추정 된 기하학적 인자들을 역산에 사용한다. 본 단계에서 수온약층의 역산결과는 최종 추정치로서 다음단계의 역산에서 활용된다.
3단계 : 모든 채널의 음향데이터를 사용하여 기하학적 인자의 최종 역산을 수행한다. 아울러 수층음속분포 인자 중 이전 단계 역산에서 제외된 Break Point 1과 수층음속분포 최하부 음속을 함께 역산한다.
4단계 : 역산의 최종 단계로서 모든 채널의 음향데이터를 사용하여 지음향학적 인자 역산을 수행한다.
역산을 위한 최적화알고리즘으로는 광역최적화기법의 일종인 VFSR(Very Fast Simulated Reannealing)[23]을 적용하였다. VFSR은 SA(Simulated Annealing)의 변형된 알고리즘으로서 지음향학적 인자 역산에 널리 사용된 바 있다.[10, 13, 24] 본 최적화 알고리즘은 수학적으로 모의된 연속적인 담금질(quenching) 과정으로 구성되어 있으며 각 과정별 담금질 온도는 미리 결정된 일정에 따라 점차 낮추어진다. 1-3단계 역산에서는 200회의 담금질 과정을 적용하였다. 그러나 4단계에서는 역산인자의 개수가 2개로써 다른 단계에 비해 적은 횟수의 담금질 과정만으로도 해를 구할 수 있으므로 30회의 담금질 과정을 적용하였다. 각 담금질 과정에서는 50회의 목적함수 평가가 이루어 졌다. 따라서 전체 역산에서는 31,500회의 목적함수 계산이 수행되었다.
IV. 역산 결과 및 분석
22:50 UTC부터 연속해서 40s 동안 계측된 음향데이터에 대한 역산을 수행 후 역산결과를 Fig. 4에 나타내었다. 먼저 음원수심의 역산결과를 살펴보면 시간에 따른 음원의 상하 진동을 관찰할 수 있다. 음원수심 역산결과 그림에는 비교를 위해 진폭(amplitude)이 1 m인 0.12 Hz의 사인파(reference sinusoid)를 함께 나타내었다. 이로부터 음원의 변동 주파수는 약 0.12 Hz임을 알 수 있다. 이러한 음원의 변동 주기는 실험해역의 수면파 주기와 일치하는 결과이다. 또한 음원의 수심은 35 m를 중심으로 약 ±1 m의 변동을 보이는데 이는 수면파의 유의파고가 약 2.2 m 이었음을 감안할 때 선박의 상하운동에 의한 것으로 사료될 수 있다. 수직선배열의 기울기 역시 음원의 수심 결과와 유사한 경향의 진동을 보이고 있다. 이로부터 수직선배열 또한 수면파의 영향을 받았음을 알 수 있다. 역산된 수층 음속분포 또한 계측된 결과를 잘 따르고 있다. Park 등[16]은 수면파에 의한 선박 및 음원의 운동이 수중의 강한 수온약층과 결합하여 근거리 음향신호 시변동의 원인이 됨을 밝힌 바 있다. 따라서 본 역산결과는 Park 등의 연구결과와 부합된다고 판단된다.
본 연구의 주된 목표인 해저면 음속의 역산은 전반적으로 일관된 역산결과를 보이고 있다. 전체 40회 역산 결과 해저면 음속은 평균 1645 m/s로 추정되었다. 이 때 40초간 역산결과의 표준편차는 15.5 m/s이다. 해저면 음속 역산결과는 동일한 해역에서의 다른 연구결과와의 비교를 통해 검증될 수 있다. Knobles 등[17]은 SWAMI32로부터 4.7 km 거리에 위치한 광대역 음원(35~264 Hz)과 협대역 예인 음원(53, 103, 203, 253 Hz)을 이용하여 해저지층의 음속을 역산한 바 있다. 비교적 저주파 영역의 신호의 역산을 통해 해저면의 음속은 1650 m/s로 추정되었다. 한편 Jiang 등[14]은 본 연구와 동일한 주파수 대역의 chirp 신호를 이용하여 신호의 도달시간 역산(travel time inversion)을 수행하였다. 실험환경은 음원의 깊이를 제외하고는 본 연구의 실험환경과 유사하다. Jiang 등은 30 m 수심의 음원을 이용하여 1623 m/s의 해저면 음속을 추정하였고 40 m 수심의 음원으로부터는 1648 m/s의 추정결과를 도출하였다.
끝으로 수직선배열로부터 역전파된 음향에너지를 통해 제안된 역산기법의 효용성을 살펴보았다. Fig. 5(a)와 (b)는 22:50 UTC에 계측된 음향신호의 역산을 통해 추정된 환경에서의 역전파 모의결과를 보여준다. 이들 중 Fig. 5(a)는 본 논문에서 제안된 바와 같이 해수면 반사경로를 제외한 역전파 결과[식(2)]이다. 또한 비교를 위해 해수면 반사파를 포함하여 동일한 역산과정을 거쳐 추정된 환경에서의 역전파 결과를 Fig. 5(b)에 제시하였다. 두 결과로부터 음원의 깊이-거리 상관관계를 명확히 관찰할 수 있으며, 특히 해수면 반사경로를 포함한 경우[Fig. 5(b)]에 비해 포함하지 않은 경우[Fig. 5(a)]에는 부엽의 크기가 상대적으로 더욱 커짐을 알 수 있다. 그러나 두 경우 모두 역전파된 음향에너지가 음원의 위치로 집중되었음을 명확하게 확인할 수 있다. 기하학적 인자는 신호의 도달시간, 즉 위상에 큰 영향을 주므로 두 경우 모두 기하학적 인자가 높은 민감도를 보인다. 따라서 해수면 반사 경로를 제외한 역전파의 경우에는 음원의 깊이 및 거리 등의 기하학적 인자의 민감도는 해수면 반사파를 포함한 경우에 비해 약간 떨어진다 하더라도 역산에는 별 무리가 없을 것이다. 그러나 해저면 음속 및 밀도 등 지음향학적 인자의 역산에는 보다 안정적인 해저면 반사파에 집중하여 최적화를 수행하는 것이 효과적이다. 음원의 위치 등 기하학적 인자의 역산이 제대로 이루어졌다는 전제하에 역전파된 신호의 에너지, 즉 식(2)의 목적함수 값은 해저면의 지음향학적 인자 역산의 정확도를 알려주는 간접적인 지표가 된다. 해수면 반사경로를 포함한 경우의 목적함수 값[식(2)의
]과 포함하지 않았을 때의 목적함수 값(
)을 40 회의 역산을 통해 계산하였다. 두 목적함수 값의 비교를 위해 값의 차이를
로 정의하였고 이를 Fig. 5(c)에 나타내었다. 대부분의 경우 해수면 반사경로를 포함하지 않은
의 값이 해수면 반사경로를 포함한
에 비해 큰 것을 알 수 있다. 이러한 결과는 해수면 반사파의 영향을 제외할 경우에 지음향학적 인자의 역산이 더 효율적으로 수행되었음을 의미한다.
V. 결 론
SW06 시험 중 수직선배열에서 계측된 근거리(~ 190 m) chirp신호(1.1~2.9 kHz)로부터 강한 시변동성이 관측되었다. 이러한 시변동성은 특히 직접도달파와 해수면 반사파의 경우 명확하였다. 본 논문에서는 도달신호의 시변동에 강인한 시간영역 역산기법을 제안하였고 실험 데이터에 대한 역산결과를 제시하였다.
지음향학적 역산에서 불규칙한 해수면의 영향을 최소화하기 위해 해수면 반사경로를 제외한 직접도달 경로와 해저면 반사경로를 통한 역전파신호의 에너지로써 목적함수를 정의하였다. 역산의 효율성을 높이기 위해 4단계 역산기법을 적용하였고 각 단계에서 최적화는 VFSR 알고리즘을 활용하여 수행하였다. 총 40회의 역산 결과 중 음원의 수심은 계측된 수면파의 주기와 일치하는 상하변동을 보였다. 또한 해저면 음속은 평균 1645 m/s로 추정되었으며 이는 동일 해역에서의 다른 연구결과와 유사한 것으로 파악되었다.












) of the objective functions inverted without (
) and with (
) the surface reflections for the 40 pings of acoustic data. When
is larger than
, it is denoted as a circle and as a reverse triangle vice versa.