I. 서 론
II. 연구 방법
2.1 연구대상자
2.2 자극음
2.3 실험 절차
2.4 자료 및 통계 분석
III. 연구 결과
3.1 시간 변화에 따른 문장인지도의 변화
3.2 선택적 단어 강조법에 따른 문장인지도의 변화
3.3 성별에 따른 문장인지도의 변화
3.4 문장길이에 따른 문장인지도의 변화
IV. 논의 및 고찰
V. 결 론
I. 서 론
또박또박 화법(clear speech)은 주변에 소음이 많은 상황이나 반향음이 생기는 환경 등과 같이, 의사소통이 어려운 상황에서 화자가 명확한 의사 전달을 위해 사용하는 기법 혹은 방식(speaking style)을 뜻한다.[1] 특히 청자가 청력 손실을 가지고 있거나, 청력 손실로 인해 보청기 및 인공와우 등의 청각 보조 장치를 착용하고 있는 특수한 상황에서는 화자의 또박또박 화법은 청자-화자간의 의사소통을 더욱 원활하게 해준다.[2]
Uchanski[1]에 따르면, 어음인지도(speech perception scores)1)와의 높은 상관관계를 보여주는 또박또박 화법의 요소들 중에는 화자가 (1) 모든 음소를 정확하고 분명하게 조음하기, (2) 말속도를 천천히 하기, (3) 어절과 어절, 문장과 문장, 그리고 내용이 다른 문단 사이에서 일정 정도의 휴지기를 가지기, (4) 화자의 음량(volume) 높이기 등이 있다. 그 중, 두 번째 요소인 ‘말속도를 천천히 하기’에 관하여 Picheny 등[3]은 일반적인 대화에서는 160 ~ 205 wpm (words per minute; 분당 단어 수)을, 또박또박 화법을 위해서는 90-100 wpm이 적절하다고 보고하였다. 또한 Krause와 Braida[4]는 또박또박 화법을 사용한 5명의 화자들을 평가한 결과, 평균 144 ~ 200 wpm이 적절하다고 보고하였으나, 화자의 말속도의 변화와 청자의 어음인지도와는 큰 관련성이 없다고 결론지었다. Cox 등[5]은 Krause와 Braida[4]의 연구 결과를 옹호한 반면, 다른 연구자들은 느린 말속도와 높은 어음인지도사이에는 상관관계가 있다고 주장하기도 하였다.[6-7] 청자가 청각장애인인 경우에도 느린 말속도가 어음인지도에 긍정적인 영향을 준다는 연구 결과에 대한 찬성과 반대의 이견이 계속되고 있어, 청자의 어음인지도의 긍정적인 변화를 주는 화자의 적절한 말속도의 사용 기준에 대한 과학적 근거가 필요하겠다.[1]
최근에는 단어 및 문장을 인위적으로 압축(compression)하거나 확장(expansion)하여 화자의 말속도를 조절함으로써 청자의 어음인지도와의 관련성을 밝히고자 하는 연구도 활발히 진행되고 있다. Park 와 Jang[8]은 아동과 성인을 대상으로 시간 압축을 0, 45, 55, 65, 75 %로 변화시켜 단음절어의 정반응률을 평가하였다. 5가지의 모든 압축 조건에서 성인에 비해 아동의 점수가 전반적으로 낮았으나, 두 그룹 모두 65 % 이상의 압축률에서는 확연한 점수의 감소를 나타냈다. 이는 문장을 이용한 Fu 등[9]의 시간 압축과 확장의 연구에서도 같은 결과를 보였다. 시간 확장의 조건에서는 문장인지도(sentence perception scores)가 영향을 받지 않았으나, 제시 문장을 50 % 이상의 시간 압축 시에는 문장인지도가 유의하게 낮아졌다. 대부분의 시간 압축-확장과 관련된 연구에서는 확장 조건에서 어음인지도의 저하를 보이지 않지만, 일정 이상의 시간 압축 조건에서는 수행력이 현저히 감소하였다. 따라서 일상생활의 다양한 대화상황에서 청자의 말속도가 빨라지더라도 화자의 어음인지도를 향상시키거나, 잘 유지할 수 있는 방안이 필요하다. Riensche 등[10]은 시간 압축을 40과 60 %로, 자극음 제시 수준을 45 와 60 dB SPL로 조절하여 문장인지도를 비교하였다. 연구 결과, 높은 시간 압축률과 낮은 자극음 제시 수준에서 문장인지도가 유의하게 감소하는 것으로 나타났다. 이러한 시간 압축률과 자극음 제시 수준과의 연계성은 단음절어를 이용하여 30 ~ 70 % 사이의 5가지 시간 압축률 조건과 4가지의 자극음 제시 수준 조건에서 어음인지도를 비교한 Beasley 등[11]의 연구에서도 보고되었다. 결론적으로 어음인지도는 시간 압축률과는 반비례 관계이고 자극음 제시 수준과는 비례 관계라고 결론지으며, 궁극적으로 어음인지도에 긍정적인 영향을 미칠 두 가지 요소인 시간 압축률과 자극음제시 수준과의 상관관계에 대한 연구가 더 필요하다고 제안하였다.
이러한 맥락에서 어음인지도를 향상시키기 위하여 말속도 변화와 함께 고려할 수 있는 요소가 또박또박 말하기의 네 번째 요소인 ‘화자의 음량 높이기’즉, 화자의 자극음 제시 수준이다. 일반적으로 화자는 평소의 음량보다 5 ~ 8 dB 정도 크게 말할 때, 청자의 어음인지도 측면에서 적당하다고 한다.[3] 특히 소음이 있는 상황에서는 전달하고자 하는 메시지의 전반적인 음량을 높임으로써 이론적으로는 신호대소음비(signal-to-noise ratio)를 높여 어음인지도를 전반적으로 향상시킬 수 있지만, 실질적으로 자극음 안에서의 선택적인 듣기(selective listening)가 아닌 소음 위의 자극음을 일괄적으로 증폭(amplification)시킴으로써 청각장애인에게는 긍정적인 영향만을 주지 못한다는 보고도 있다.[1] 이에 Barac-Cikoja와 Revoile [12]는 전반적인 음량의 변화가 아닌 특정한 단어만의 음량 강조를 통해 어음인지도의 향상을 평가하였다. 연구 결과, 정상 청력인의 경우에는 단어 강조로 인한 충분한 음향적 단서가 긍정적으로 작용하여 어음인지도가 향상되었지만, 청각장애인의 경우에는 청력 손실로 인해 단어 강조를 통한 음향적 단서가 크게 도움이 되지 못하고 오히려 문장 내에서 강조된 단어를 구별하거나 이해하는데 더 어려움을 초래할 수 있다고 한다. 하지만 선택적 단어 강조법에 대한 체계적인 연구는 국외는 물론 국내에서도 아직 충분히 이루어지지 않고 있다. 그러므로 정상 청력을 가진 청자들을 대상으로 한 기초 연구가 조금 더 심도 있게 진행될 필요가 있다.
이에 본 연구는 청자의 어음인지도를 향상시킬 수 있는 여러 가지 화법 요소들 중 ‘시간 압축 및 확장을 이용한 말속도 변화’와 ‘선택적 단어 강조법’을 이용하여 정상 청력인들의 문장인지도에 미치는 영향을 살펴보고자 한다. 연구 문제로써 1) 시간 변화 즉, 시간 압축 및 확장이 문장인지도에 영향을 주는지, 2) 선택적 단어 강조법의 사용이 시간 변화와 결부되었을 때 문장인지도에 긍정적인 영향을 미칠 수 있는지 보고자 하였다.
II. 연구 방법
2.1 연구대상자
본 연구는 춘천 지역에 거주하는 정상 청력을 지닌 성인 20명(남10, 여10)을 대상으로 시행하였으며, 대상자의 평균 연령은 21.5세, 표준편차는 1.64였다. 대상자 모두 과거 이과적인 질병이나 관련 기록이 없다고 보고하였다. 고막운동성검사 결과에서는 type A형, 순음청력검사 결과에서는 125 ~ 8,000 Hz 주파수 범위에서 15 dB HL 이내의 청력 역치를 보였고, 해당 검사 주파수에서 기도-골도 차(air-bone gap)는 5 dB HL 이내였다.
2.2 자극음
제시 문장은 8개 목록으로 구성된 한국표준 일반용 문장표(Korean Standard-Sentence List for Adult, KS-SL-A)[13]를 사용하여, 문장의 난이도와 내용상의 연관성이 검사 대상자의 언어인지에 과도한 단서를 제공하지 않도록 목록 간의 단어를 무작위로 배열하여 새롭게 만들었다.[2,14] 이러한 과정은 목표어의 균등한 난이도 조절을 통하여 신뢰성 있는 결과를 얻을 수 있다.[15-16] 즉, 한국표준 일반용 문장표에서 문장 구조가 가장 비슷한 형태를 가진 목록 간(목록 1 vs. 3, 목록 2 vs. 5, 목록 4 vs. 7, 목록 6 vs. 8)에 같은 품사의 단어를 상호 교차시키고, 목록 간의 균형을 위해 어절 수를 최대한 동일하게 맞추어 각 10개의 문장으로 구성된 8개의 목록표를 새롭게 재구성하였다(부록 1). 이 때 새 목록 안의 문장들은 문법적으로는 적절하지만, 의미론적으로는 변칙적이고 무의미하였다.
새 문장표의 목록 간 난이도 차이를 보기 위해, 본 실험의 참여 대상자 외 4명의 정상 청력의 대상자들에게 각 개인의 쾌적음량수준(Most Comfortable Level, MCL)의 강도에서 보통 속도로 문장인지도를 평가하여, 목록 간 평균 정반응률과 표준편차를 비교하였다. 그 결과 새 문장표의 무의미한 8개의 목록들 간 평균 정반응률에는 거의 차이가 없었지만 [F(7,21) = 0.193, p = 0.984], 정반응률의 표준편차가 가장 큰 목록 6(std=9.02)을 제외한 나머지 7개의 목록들을 최종 검사 목록으로 선정하였다. 그리고 선행 연구에서 의미있는 변화를 나타낸 압축-확장 조건들[8]을 토대로 7가지 시간 압축-확장률 조건으로 실험하였다.
선정된 7개의 목록은 한 명의 여성 화자에 의해 방음실에서 마이크를 통해 보통 말속도인 초당 평균 4.8 음절[16]로 녹음하였다(이는 평균 215 wpm임). 7단계의 속도의 변화를 위해 Adobe Audition Ver.5.0 (Adobe Systems Inc.)을 사용하여, 전체 문장 길이의 60 % 압축(보통 속도에 비해 60 % 빠름, 목록7), 40 % 압축(목록5), 20 % 압축(목록3), 속도의 변화가 없는 0 % 압축 혹은 0 % 확장(목록8), 20 % 확장(보통 속도에 비해 20 % 느림, 목록1), 40 % 확장(목록2), 60 % 확장(목록4)으로 조작하였다. 이 과정에서 문장의 시간 변화를 제외한 기본주파수(ƒ0) 등 말소리의 주파수나 다른 자질은 변화시키지 않았다. 마지막으로 제곱 평균의 근(Root Mean Square, RMS)을 통하여 녹음된 음량을 조정하였다. 문장 간에는 5초, 목록 간에는 약 7초 정도의 휴지기를 유지하였다.
선택적 단어의 강조 유무를 위해, 음운변동으로 인하여 청취 시 혼란스럽지 않은 단어를 위주로 각 목록 당 10개씩 선정하였다. (부록 1)의 굵고 기울임체 부분) Picheny 등[3]이 앞에서 제시한 5 ~ 8 dB의 강도 상승 범위 안에서 2배의 압력을 뜻하는 +6 dB를 선택하여 Adobe Audition Ver.5.0(Adobe Systems Inc.)를 통하여 해당 단어만의 강도를 높였다(Fig. 1). 따라서 최종 검사 음을 단어 강조 부분이 없는 7가지 시간 변화 조건들과 강조 부분이 포함된 7가지 시간 변화 조건의 목록들이 담긴 CD로 제작하였다.
|
Fig. 1. An example of selective listening: no-stress (upper panel), stress (lower panel) with +6 dB. |
2.3 실험 절차
실험 절차는 GSI 61 청력 검사기(Grason-Standler Inc.)와 외장 CD 플레이어를 사용하여 이중 방음문으로 제작된 방음실에서 시행하였다. 문장인지도는 각 실험 대상자의 쾌적음량수준(MCL, 평균 40 ~ 55 dB HL)에서 이어폰을 통하여 오른쪽 귀에 무의미한 문장을 듣고 따라 말하게 하였다. 대상자들은 보통의 말속도(0 % 압축 또는 0 % 확장)를 가장 먼저 평가받았고, 나머지 6개의 시간 변화 조건들은 무작위로 배열하여 순서에 따른 오류를 피하였다.
학습 효과로 인한 오류를 피하기 위해, 20명의 실험대상자 중 10명(남5, 여5)은 선택적 단어의 강조가 포함되지 않은 7단계의 시간 변화 세트를 검사한 후, 2주 뒤 다시 실험실을 재방문하여 선택적 단어의 강조가 포함된 시간 변화 세트를 한 번 더 검사하였다. 나머지 10명은 선택적 단어의 강조가 포함된 시간변화 세트를 먼저 검사하고, 2주간의 휴식기간 후 선택적 단어의 강조가 포함되지 않은 검사 세트로 실험에 참여하였다.
2.4 자료 및 통계 분석
연구 결과는 시간 변화와 선택적 단어 강조에 따른 문장인지도를 정반응률로 평가하였다. 즉, 실험 대상자가 검사 문장을 듣고 따라 말한 것을 검사자가 받아 적었고, 문장 내에서 정반응하는 어절의 수를 기준으로 전체 문장의 정답률을 백분율(%)로 점수화하였다. 단일 채점자로 인한 오류를 피하기 위해, 제 2 채점자가 채점된 점수를 다시 검토 및 확인하였다.
SPSS 통계 프로그램(ver. 20)을 사용하여 독립변인인 7가지 시간 변화와 2가지 선택적 단어 강조 유무에 따른, 종속변인인 문장인지도(%)의 변화를 이원반복측정분산분석(two-way ANOVA with repeated measures)을 통해 0.05 미만의 통계학적 유의수준으로 분석하였다. 만약 p < 0.05 수준에서 유의미한 차이를 보이는 경우 사후검정(bonferroni correction)을 실시하였다.
III. 연구 결과
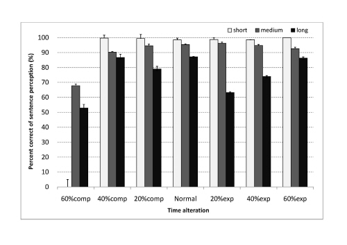
3.1 시간 변화에 따른 문장인지도의 변화
시간 변화에 따른 문장인지도의 정반응률의 차이는 통계적으로 유의하였다 [F(6,108) = 109.155, p < 0.000]. 사후 분석결과, 60 % 압축 조건과 나머지 6가지의 시간 변화 조건들과의 유의한 차이가 있었지만, 6가지 시간 변화 조건들 간에는 유의한 정반응률의 차이가 없었다. 즉, 말속도가 60 % 빨라지면, 문장인지도의 정반응률은 유의미하게 약 25 % 감소하였다(Fig. 2).
3.2 선택적 단어 강조법에 따른 문장인지도의 변화
선택적 단어의 강조 유무에 따른 문장인지도의 정반응률은 통계적으로 유의한 차이가 없었다 [F(1,18) = 0.304, p = 0.588]. 그러나 40 %의 압축의 조건에서는 다른 조건들보다 강조 유무에 따른 차이가 가장 크게 나타났다(Fig. 3).
3.3 성별에 따른 문장인지도의 변화
남성과 여성의 청자에 따른 문장인지도의 정반응률은 통계적으로 유의미한 차이가 없었다 [F(1,18) = 0.013, p = 0.911].
이때, 시간, 선택적 단어의 강조법, 성별에 따른 문장인지도의 변화에 관여하는 상호작용은 보이지 않았다.
3.4 문장길이에 따른 문장인지도의 변화
한편 선행 연구와 달리, 본 연구에서는 보다 자연스러운 청취조건을 위해 다양한 어절수를 사용하였으므로, 각 조건에서 어절수를 단문장(2 ~ 3어절로 된 문장), 중문장(4 ~ 5어절로 된 문장), 장문장(6 ~ 7어절로 된 문장) 등으로 나누어서 문장 길이에 따른 시간 변화 및 선택적 단어 강조법의 정반응률을 재분석하였다. 즉, 문장의 길이를 하나의 변인으로 추가하여, 삼원반복측정분산분석(three-way ANOVA with repeated measures)과 사후검정(bonferroni correction)을 통해 유의미한 차이를 보았다(p< 0.05).
문장들의 길이에 따라 7가지의 시간 변화 조건에서 문장인지도의 정반응률이 유의하게 변화하였다 [F(2,36) = 125.563, p < 0.000]. 모든 시간 변화 조건들에서 단문장(mean= 96.099; std=0.350)보다는 중문장(mean= 90.225; std=0.849)에서, 중문장보다는 장문장(mean= 75.587; std=1.630)에서 정반응률이 의미 있게 감소하였다. 즉, 문장이 길이가 길수록 문장인지도의 정반응률이 유의하게 감소하였다.
|
Fig. 3. Percent correct (%) depending on time alteration under word stress and no-stress conditions. |
|
Fig. 4. Percent correct (%) depending on time alteration in the length of sentence stimuli. |
Fig. 4에서와 같이 문장의 길이에 따른 문장인지도를 세분화하여 살펴보면, 60 % 압축 조건을 제외한 나머지 6가지의 시간 변화 조건에서 단문장이 자극 음으로 주어졌을 때는 말속도외 변화에 상관없이 문장인지도의 정반응률이 100 %에 가깝게 도달하였고, 중문장에서는 대부분 90 ~ 95 %를 나타났다. 반면에 장문장에서는 정반응률이 약 63 ~ 87 %로 현저히 감소하였다. 특히 20 % 확장의 조건에서는 단문장과 장문장의 차이가 가장 크게 나타났다.
Fig. 5의 경우 문장인지도가 가장 저조한 6 ~ 7개의 어절로 이루어진 장문장만을 분석했을 때, 40 % 압축 조건에서 단어가 강조되지 않은 무강조 조건에서의 문장인지도(mean=84.166, std=2.196)에 비해, +6 dB 강조된 조건(mean= 89.168, std=1.483)에서 유의하게 문장인지도의 정반응률이 향상되었다[F(12,216) = 14.910, p < 0.000].
IV. 논의 및 고찰
본 연구는 20명의 정상 청력인을 대상으로 압축 및 확장을 통한 시간 변화와 선택적 단어 강조법에 따른 문장인지도를 검사하여 그 영향을 고찰하였다.
연구 결과, 약간 빠르거나, 보통, 혹은 느린 속도의 시간 변화 조건(+40 ~ -60 %)에서는 문장인지도의 정반응률이 전반적으로 높게 나타났고, 말속도를 매우 빠르게 변화시킨 조건, 즉 60 % 압축 조건의 경우에는 문장인지도의 정반응률이 통계적으로 유의하게 감소하는 것을 확인할 수 있었다. 이는 박혜미와 장현숙[8]의 연구에서 보여준 시간 압축률에 따른 정상 청력의 성인 및 아동의 단어 인지도 검사의 결과와 유사함을 보였다. 감각신경성 청력 손실이 있는 청각장애인을 대상으로 한 Pichney 등[17]의 연구에서도 보통 속도나 느린 속도에 비해 빠른 속도로 문장을 전달했을 경우 어음인지도가 현저히 감소함을 확인하였다. 또한 인공와우 착용자를 대상으로 한 신수진 등[16]의 연구에서도 느리거나 혹은 아주 느린 속도의 문장이 보통 속도의 문장과 비교했을 때, 문장인지도에서 유의한 향상을 보이지 않았다. 이는 문장 전체를 느리게 하는 것이 정상 청력인 및 청각장애인들의 문장인지도 향상에 중요한 영향을 미치지 못한다는 것을 말해준다. 그러나 본 연구에서는 Fig. 4에서 나타났듯이 시간의 변화에 민감하게 작용하는 새로운 요인으로 문장의 길이를 확인할 수 있었다. 즉, 단문장이나 중문장에서 유의하게 차이가 없었던 문장인지도의 정반응률이 장문장에서는 큰 차이를 보여 시간의 변화와의 연관성이 시사되고 있다. 그러나 본 연구의 주목적이 문장 길이에 따른 문장인지도의 변화를 보는 것이 아니었으므로, 한 리스트 당 10개의 문장을 3가지 문장 길이로 나누었을 때, 평균적으로 문장 길이 당 약 3 ~ 4개의 항목 밖에 해당되지 않아 너무 제한적일 수 있으므로 현재의 결과를 단정하기에는 한계가 있다.
한편, 문장 속에서 특정한 단어를 선택적으로 강조했을 때와 강조하지 않았을 때의 차이는 유의하지 않았다. 하지만 자극 문장의 길이와 결부되어 선택적 단어 강조법이 문장인지도에 영향을 주는 것으로 나타났다(Fig. 5). 즉, 단문장이나 중문장에서는 선택적 단어의 강조 유무가 문장인지도에서 유의미하게 차이나지 않았지만, 6 ~ 7개로 이루어진 장문장의 경우에는 40 % 압축된 문장에서 선택적 단어의 강조 유무에 따라 통계적으로 유의미한 차이가 있었다. 이러한 결과는 청자가 어음을 듣고 이해하는 과정에서 화자가 긴 문장을 이야기 할 때 말속도만을 느리게 조절하는 것은 도움이 되지 못하고, 보통 속도 보다 조금 빠른 말속도로 이야기 하더라도 전반적인 음량의 2배 정도인 +6 dB로 특정 단어를 강조하여 말하는 것이 의사소통에 더 효과적일 수 있다는 것을 시사한다. 이는 제시되는 문장의 속도가 보통 말속도보다 조금 빠름에도 불구하고 특정 단어들을 명확하게 조음한 조건에서 말속도를 느리게만 변화한 조건보다 정반응률이 높았다는 Picheny 등[17]의 연구 결과와도 유사하다. 다시 말해, 확장과 압축을 통한 일차적인 말속도의 조절보다는 전달하려는 문장의 길이 및 시간의 변화와 함께 선택적 단어 강조법을 적절하게 사용하였을 때 어음인지도 향상에 긍정적인 영향을 미칠 수 있을 것으로 사료된다.
그러나 본 연구는 보다 현실성 있고 자연스러운 청취조건을 위하여 기존의 획일화된 단문장과 중문장을 포함한 연구들과는 달리, 6 ~ 7개의 어절수를 포함하는 장문장도 사용했기 때문에 검사 대상자들에게 청각적 자극 뿐 아니라 작업기억(working memory)이 작용하여 실험을 통제하는데 어려움이 있었다. Fig. 4에서 나타난 바와 같이, 20 % 확장 조건에서 장문장이 다른 시간 변화 조건들에 비해 두드러지게 낮은 문장인지도 정반응률을 보이는 것은 사용된 7어절의 문장(e.g., 청소를 눈이 내가 날은 잃어버렸던 운전해야 한다)안에는 20개의 음절을 포함되어 있어서, 상대적으로 음절수가 적은 다른 7어절의 문장들에 비해 검사 대상자들이 듣고 따라 말하는 과정에서 작업기억이 더 요구되었고, 그 결과 낮은 문장인지도가 나타난 것으로 분석된다.[18] 실험 대상자들 중 제시한 자극 문장을 듣고 따라 말할 때, 어절의 순서를 바꾸어 대답하거나 반복적으로 2번 같은 어절을 대답하거나 혹은 의도적으로 무의미하게 배치된 실험 문장을 무의식적으로 재배열하면서 응답하는 등 검사를 시행하고 채점하는 과정에서 고려해야 할 변수들이 많았다. 그 외에 본 연구에서는 원하는 시간 변화와 강도 증가를 객관적으로 통제하기 위해 컴퓨터 프로그램을 사용하였기에, 일반적으로 화자가 자연스럽게 빠르게 말하거나 크게 강조하여 말할 때 나타나는 음운현상의 변화와 파열음의 강조 변화 등은 배제되었다.[17]
본 연구의 제안점으로서, 현재의 연구 결과는 정상 청력을 가진 젊은 성인만을 대상으로 분석하였기 때문에 추후 아동이나 노인뿐만 아니라, 청력 손실이 있는 다양한 대상자군의 특성화를 고려한 시간 변화와 선택적 단어 강조법에 대해서 더 연구할 필요가 있다. 더불어 지속적인 소음으로 인해 자극음의 변화나 왜곡이 있을 때에 청각장애인들이 시간 변화나 선택적 단어 강조법 등의 화법 요소들을 활용하여 어떻게 청각적 단서로부터 이득을 얻을 수 있는지, 그리고 보다 세분화된 검사 조건들을 통해서 문장인지도에 영향을 미칠 수 있는 또 다른 요인들에 대해서도 심도 있게 연구하는 것이 의미가 있겠다.
정상 청력인의 경우, 다양한 음향-음성적인 변화와는 무관하게 일관성 있는 높은 언어인지능력을 보이지만, 청각장애인은 변화된 소리 정보에 대한 상위 단계의 중추인지처리를 위해서 많은 집중과 노력을 기울여야 한다.[15] 그러므로 후속 연구들을 통하여 청력 손실이나 노화로 인해 상위 단계의 인지처리는 물론 하위 단계의 음향-음성적 변화에도 더욱 민감하게 언어인지도가 감소하는 대상자들에게 적절한 말속도의 기준을 제시하고, 선택적 단어 강조법을 통하여 변별력 있는 청각적 단서를 제공함으로써 청능 재활에 활용할 수 있는 기초자료로 활용한다면 의미가 있을 것이다.








