I. 서 론
II. 연구 방법
2.1 호흡 훈련 및 MIT 프로그램
2.2 피 실험자
2.3 실험 설계
2.4 평가 변수 및 측정
2.4.1 호기량
2.4.2 조음 명료도의 음향학적 평가
2.5 데이터 분석
III. 실험 결과
3.1 호기량
3.2 음성강도
3.3 VOT 및 TD
3.3.1 중재전 집단간 동질성 검증
3.3.2 집단별 중재 전후의 비교
3.3.3 중재 후 두 집단 간의 차이 비교
IV. 토 의
V. 결 론
I. 서 론
실어증은 정상적으로 언어를 습득한 사람이 뇌 손상으로 인해 구어적 상징 기호의 조작에서 복합적인 처리 능력이 저하되어 나타나며, 성격, 감각 지각의 손상 등으로 인해 언어 장애를 수반한다.[1] 실어증은 양상에 따라 브로카 실어증, 베르니케 실어증, 명칭 실어증, 전반적 실어증, 전도성 실어증, 초피질성 실어증으로 구분된다. 브로카실어증 환자는 비유창성 실어증의 대표적인 유형으로 유창성 실어증 환자에 비해 구어의 이해력은 좋으나, 의미적으로 관련된 단어를 구별하기 어렵다. 또한 청각적 이해력의 손상, 낭독 능력의 저하, 불규칙하면서 느린 구어 등의 언어적 특성을 보인다.[2]
실어증 환자의 언어재활 치료는 잔존해 있는 능력을 최대한 활성화시키기 위해 환자 개인에게 잠재된 언어 능력을 자극할 수 있는 방법과 의사 소통 기능을 향상시키는데 초점을 둔 방법인 인지적 접근법이 있다.[3] 그 중에서도 멜로디 억양 치료법(Melodic Intonation Therapy, MIT)과 같이 프로그램화된 치료법은 브로카 실어증 환자들에게 효과적인 방법으로 보고되고 있다.[4]
MIT 기법의 목표는 언어 사용 능력의 회복과 함께 발화시 언어적 또는 의미적 증진에 있다. MIT는 간단한 멜로디 형태와 짧은 악구를 이용하여 언어 형성을 활성화하기 위한 멜로디와 억양을 사용하며 의사소통을 위해 미리 만들어진 언어 양식에 임의로 멜로디를 삽입하고 음고, 리듬, 음절 길이를 변화시켜 말하기를 유도한다.[5] MIT기법에서 사용되는 노래 부르기는 멜로디 억양과 구어 사이를 연결해주는 구어적인 노래로 음악적인 것보다 균형 있는 호흡 사용을 통해 음의 정확성, 발성, 명확한 발음 등의 기본적인 언어 기술에 영향을 미치는 것으로[6] 명제 발화를 산출하는데 있어 호흡과 관련성이 있음을 알 수 있다.
조음 향상과 관련한 MIT에 대한 효과를 보고한 연구에서 Krauss와 Galloway[7]는 MIT를 통하여 음절의 길이와 구어 명료도가 증가하였음을 보고하였다.Darley et al.[8]도 MIT가 조음을 향상시키고 유지시키는데 도움이 된다고 하였다. 또한 kMIT프로그램을 이용한 브로카 실어증 환자 음성 언어에 대한 음향학적 연구 효과가 있다고 보고하고 있다.[9] 이러한 효과에도 불구하고 MIT는 언어 치료 관점에서 접근이 이루어져 치료사의 음악적 소양에 따라 치료 효과가 달라지며,[10] 수준과 단계들이 비슷하게 반복되는 구조로 되어 있어 지루하거나 긴 치료 시간이 요구된다.[11] 또한 발화에 성공했다 하더라도 조음에 있어서 명료하지 않고 웅얼거리는 등 발화시 어려움이 따르는 제한점을 가진다.[12]
뇌손상 환자는 발병 후 호흡근 약화와 흉곽 확장 감소로 심폐 능력과 용적 감소를 가져오며 횡격막의 확장이 감소되어 근육의 마비와 약화로 호흡 조절이 어렵다. 이로 인해 부정확한 조음과 연장 발성, 구어를 산출하기 어려워 호흡 재활 치료가 요구된다.[13]
호흡 훈련을 통한 발성 훈련은 실어증 환자의 조음 발화를 위한 가장 기본적인 힘을 제공해줄 뿐만 아니라, 언어 표현 시 올바른 호흡 운용을 통해 더 많은 음절수와 강도의 향상으로 음색까지 변화시킬 수 있다. 김혜경과 권도하는[14] 호흡운동의 기능을 분석한 연구에서 복근의 움직임에 따른 구어의 유용성을 평가하여 호흡과 발성이 밀접한 관계가 있다고 보고하였다.
본 연구에서는 전술한 기존 MIT 기법의 제한점을 보완하면서 치료 효과를 개선하기 위해 호흡 훈련의 선행 단계를 포함하는 MIT 프로그램으로 제안하고자 한다. 고려된 호흡 훈련은 노래를 부를 때 구강 안에서 모음과 자음을 만드는 과정에서 발생하는 음소 하나 하나를 발음하는 것을 용이하게 할 수 있도록 고안했다. 본 연구에서는 브로카실어증 환자를 대상으로 호흡 훈련을 포함하는 MIT 프로그램 중재가 환자의 조음 명료도의 보완적 지지에 미치는 효과에 대한 초기적인 실험을 수행하고 그 결과를 보고 하고자 한다.
II. 연구 방법
2.1 호흡 훈련 및 MIT 프로그램
본 연구에서 사용한 MIT는 Sparks와 Deck[15]의 다섯 개 수준(level)을 비슷하고 반복되는 내용을 간소화하고 지루함을 줄이기 위해 네 개의 수준으로 재구성했다. 호흡 훈련을 포함하는 MIT 프로그램은 Fig. 1에서 도시하는 바와 같이 MIT의 선행 과정으로 호흡 훈련[16] 을 포함하는 구조를 가진다.
|
Fig. 1. Concept and structure of the proposed melodic intonation therapy including breathing training. |
호흡 훈련은 안정적 호흡 훈련(단계 I)과 구어적 호흡 훈련(단계 II)으로 구분된다(Table 1). 각 수준별 호흡 훈련의 단계별 명칭 및 목표 훈련 방법 및 활동을 요약하면 다음과 같다.
단계 I 안정 호흡 훈련
1.편안한 자세 유지: 각 신체 부위별 지지를 느껴보며 편안한 자세를 취한다.
2.호흡 의식: 치료사가 제시하는 보통빠르기 보다 조금 느린 리듬에 규칙적이고 자연스런 호흡 패턴을 의식한다.
3.근육 이완: 호흡 패턴을 의식하면서 근육의 이완된 상태를 느낀다.
4.구강과 비강의 분리 호흡 훈련: 코로 들이마시고 코로 내쉬기 / 입으로 들이마시고 입으로 내쉬기 / 코로 들이마시고 입으로 내쉬기 / 입으로 들이마시고 코로 내쉬기.
5.흉, 복식 호흡 훈련: 흉식 호흡(가슴에 손을 대거나, 가슴에 띠를 매어 흉곽의 움직임을 눈으로 볼 수 있게 한다) / 복식 호흡(손을 복부에 대거나, 책상과 배 사이에 풍선을 끼워 호흡하게 한다).
단계 II 구어적 호흡 훈련
1.흡기 능력 증대 훈련: 풍선과 코끼리 피리 등과 같은 악기를 이용해 모양과 길이가 흡기에 따라 증대되는 것을 눈으로 본다. / 청각 자극(순차적 음계의 진행만큼 숨을 들이 쉬게 하거나 타악기를 이용해 일정한 횟수만큼 두드리면 흡기한다).
2.호기 연장 훈련: 한숨 쉬는 흉내 내기 / 불기를 이용한 훈련(촛불 불기, 카추 불기, 하모니카 불기 등의 활동)
3.일정한 호기 유지 훈련: 호흡근을 이용하여 최대한 숨을 들이 마시고 잠시 보유한 후 “i”나 “a”발음으로 조금씩 서서히 숨을 내보낸다.
4.헐떡 운동: 손은 갈비뼈 아래 상복부에 위치한다. 개가 헐떡이는 것처럼 입을 벌려 혀를 앞으로 내밀며 복부 근육은 팽창과 수축을 교차적으로 반복 한다.
5.조음을 돕는 호흡 훈련: 흡기에서 유지된 호흡으로 카추 불기와 카추로 말하기를 반복한다.
호흡 훈련 단계 I은 MIT의 수준 1과 수준 2 전에, 호흡훈련 단계 II는 MIT 수준 2와 수준 3 전에 선행한다. MIT 프로그램은 멜로디 억양 패턴에서 음 높이의 다양성과 템포와 리듬이 강조된 발성을 단계적으로 적용하기 위해 노래 부르기와 언어 운율로 회귀하기 위한 단어 명명하기를 주된 과정으로 한다.
본 연구에서 사용된 호흡 훈련을 포함 하는 MIT 중재 프로그램의 진행 순서 및 활동 내용은 다음과 같다.
수준 I: 발성과 연합시키는 능력을 기르기 위한 과정으로, 호흡 훈련 단계 I을 먼저 실시한다. 노래 듣고 카추피리로 따라하게 한 후 허밍을 한다. 가사를 제시하지 않고 노래를 연구자가 허밍으로 두 번 들려준 후 대상자가 함께 허밍을 하며 멜로디를 부르게 한다. 이때 목표 발화의 매 음절마다 호흡의 규칙적 패턴과 박자를 느낄 수 있도록 음절 수에 따라 박자에 맞추어 가사를 박자에 맞추어 두드리기 하는 것을 허용한다.
(수준 I: 주요 활동 내용)
1.노래 듣고 허밍하기: 가사를 제시하지 않고 노래를 부른 후 허밍한다.
2.노래를 부르며 가사를 박자에 맞춰 두드리기: 목표 항목의 노래에 맞춰 가사를 음절 수 대로 책상을 두드리며 노래한다.
3.즉각적 노래부르기: 가사에 해당되는 리듬을 치며 노래를 부르다가 치료사는 사라지고 대상자는 즉각적으로 노래 부르기를 실시한다.
수준 II: 노래부르기 단계로 호흡 프로그램의 단계 I, II 단계를 먼저 실시한다. 음절별 리듬을 통한 노래 부르기 과정으로, 가사를 음절수대로 두드리며 카추피리로 노래를 부르도록 한다. 연구자와 대상자가 함께 목표 항목의 노래를 박자에 맞추어 가사를 보며 함께 노래한다. 이 단계에서 대상자가 가사의 음절수대로 리듬악기를 연주하는 것을 따라하게 한다.
1. 리듬치며 노래부르기: 치료사와 함께 노래가사를 음절 단위로 리듬치며 노래한다.
2.가사 읽기: 치료사는 사라지고 대상자 혼자 리듬을 치며 가사를 읽는다.
3.가사 따라 하기: 주고받는 노래 형식으로 질문에 즉각적으로 따라 한다.
수준 III: 언어 운율 회귀하기 과정으로, 호흡 프로그램의 단계 II를 먼저 실시한다. 리듬 모방에 의한 주고받기 형식으로 리듬 활동을 실시한 후 치료사의 도움 없이 처음부터 끝까지 음절 단위로 제시된 가사를 리듬에 넣어 노래 부르도록 한다. 노래가 끝난 후 카추피리를 이용하여 가사를 함께 읽게 한 후 카추피리 없이 (박자에 따라 한 음절씩을 즉각적으로 부르도록 한다. 환자가 오류를 범할 경우 조음 교정을 최소화 한다.
(수준 III: 주요 활동 내용)
1.가사 따라하기: 멜로디 없이 가사를 리듬에 실어 따라 부르기를한다.
2.정확한 가사 표현하기: 카추를 입에 물고 발음한 후 카추없이 발음하는 것을 반복한다.
3.질문에 답하기: 주고받는 노래형식으로 대화를 유도한다.
수준 IV: 리듬적 노래에 의한 단어 명명하기 단계로, 목표 어휘를 멜로디 없이 가사를 리듬에 넣어 부르게 한다. 점진적 치료사의 참여가 줄어들고 시간차에 의해 스스로 단어를 명명하게 한다.
(수준 IV: 주요 활동 내용)
1.억양을 과장하기: 카추로 억양을 과장하여 발화한 후 읽는다.
2.질문에 대답하기: 치료사와 함께 읽다가 질문에 대답한다.
3.시간차에 의해 따라 말하기
4.명명하기
호흡 훈련 프로그램은 환자의 능력에 맞게 각 단계마다 개별적으로 실시했다. 노래부르기에서 멜로디는 5도 음역 내에서 단순화 했다. 조음 훈련은 치료사의 제시를 잘 이해하여 수행할 수 있도록 리듬적 노래하기와 카추피리 악기를 사용하였다. 음절수에 따라 발음의 소유 시간에 비례하는 음절 박자 언어를 기초로 했다.
2.2 피 실험자
피 실험자는 전주 장애인 복지관에서 재활 치료중인 환자로 전문의로부터 모두 브로카 실어증으로 진단 받은 성인남자 10명, 여자 4명, 총 14명의 환자를 대상으로 했다. 피 실험자의 실어증 심각도는 중도 6명, 중등도 6명, 경도 2명이었다. 발병 원인은 자발성 뇌출혈 4명, 뇌경색 8명, 외상성 뇌손상 2명이다. 발병 후 경과 시간에 따라 3년 이내와 5년 이상으로 , 3년 이내 7명, 5년 이상 7명이었다. 피 실험자는 신경학적 문제와 청각과 언어 이해에 문제가 없거나 적어도 3개월간 언어 재활에 관련한 치료를 받지 않은 사람으로 제한했다(Table 2).
2.3 실험 설계
본 연구는 실험의 목적과 내용에 동의한 14명의 브로카 실어증 환자를 대상으로, 환자들이 참여 가능한 시간에 따라 실험군(8명)과 대조군(6명)으로 무작위로 배정했다. 실험군은 치료사 지도로 호흡 훈련을 포함하는 MIT 프로그램에, 대조군은 환자 주도적으로 호흡 훈련을 제외한 MIT 프로그램에 참여했다. 프로그램 중재는 두 집단 모두 주2회 40분 4개월(32회기) 동안 지속했다. 적용된 프로그램의 효과를 평가하기 위해 중재 전과 후에 조음 명료도와 관련된 평가 변수(VOT, TD, 음성 강도) 및 호기량을 측정했다.
2.4 평가 변수 및 측정
2.4.1 호기량
피 실험자가 호흡 훈련을 통해 호흡 기능이 개선 되었는지 평가하기 위해 피 실험자의 호기량을 측정했다. 호기량 측정은 personal best low range peak flow meter(Personal Best, Philps Respironis, 2010, U.S.A.)를 3회씩 불게 하여 평균값을 사용했다.
2.4.2 조음 명료도의 음향학적 평가
조음 명료도를 평가하기 위해 조음 감별 검사지[17]를 사용하여 한국어 자음 체계에서 폐쇄음 20개의 단어를 보여주고 명명하기 방법을 사용하여 연구 대상자들의 조음을 computerized speech lab(Model 4300-B, Kay Elemetrics, 1999, U.S.A.)에 음성 신호를 저장했다(Fig. 2).
저장된 음성 신호는 측정 장비에 내장된 신호 처리 기능을 이용하여 조음 명료도와 관련된 다음 3가지 측정 변수를 추출했다: 날숨이 구강 통로가 완전히 차단되었다가 단어 시작 지점에서 터져 나오는 (1) 음성 강도, 자음 소리를 음성학적으로 분석하는 (2) 파열 시작부터 뒤 모음이 진동되기 전까지의 시간인 VOT(Voice Onset Time) 및 (3) 단어 전체 발화 시간인 TD(Total Delay). VOT 및 TD 는 자음의 구강 내 공기 유량과 관련된 양순음/p/(ex. 배추), 치조음/t/(ex. 돼지), 연구개음/k/(ex. 개구리), 파찰음/c/(ex. 제비), 마찰음/s/(ex. 사과)로 구분된다.
실험에서 측정된 음성 신호 및 분석된 3가지 평가 변수의 예가 Fig. 3에 도시되어 있다. 참고로 호흡 훈련으로 폐활량이 증가하면 음성 강도가 증가하며, 음성 강도는 조음 명료도에 영향을 주게 된다.[18]
|
Fig. 3. An example of the measurement parameters (sound intensity, VOT and TD) for a measured plosive sound. |
2.5 데이터 분석
측정된 데이터(중재 전후 TD, VOT, 음성강도, 호기량)는 IBM SPSS 22.0 프로그램을 사용하였고, 분석 방법은 Mann-Whitney 검정으로 두 집단 간의 차이를 검증하였으며, 사전 사후의 차이는 Wilcoxon 부호 순위 검정을 사용하여 분석하였다. 유의수준은 0.05를 기준으로 하였다.
측정 변수(호기량, 음성강도, VOT, TD)는 개인별 편차가 크기 때문에, 개인별로 호흡 훈련 MIT 중재 전후의 상대적인 차이를, 한국인 조음 감별 기준표[19] 에 근거하여 통계 처리 대상으로 설정했다.
III. 실험 결과
3.1 호기량
Table 3은 각 대상자별로 중재전과 후에 측정한 두 집단의 호기량 변화율(%)을 보여준다. 측정 된 실제 호기량의 실제 값은 Fig. 4에서 도시하고 있다. 대상자들의 평균 호기량은 대조군에서 사전, 사후 증가량의 변화가 평균 181.5 ml에서 182.8 ml로 유의한 변화가 없었으며, 실험군에서는 평균 176.75 ml에서 234.00 ml로 57.2 %로 상승한 것으로 나타났다(p < 0.05).
3.2 음성강도
Table 4는 각 대상자별로 측정한 음향 데이터를 분석하여 얻은 중재 후 음성 강도의 변화율(%)을 보여준다. 측정 된 음성 강도의 실제 값은 Fig. 5에서 도시하고 있다. 자음 시작 지점에서 음성 강도의 변화는 대조군의 사전평균은 65.57 dB에서 사후평가 65.33 dB로 유의미한 차이가 없었다(p > 0.05). 실험군에서는 사전 평균이 63.34 dB에서 사후평균이 71.79 dB로 강도의 변화가 나타났다(p < 0.05).
|
Fig. 5. Changes in the voice sound intensity (dB) after intervention of the control and experimental groups. |
3.3 VOT 및 TD
Table 5는 대조군과 실험군 간 중재 전후 측정한 VOT 및 TD의 값에 대한 통계 처리 결과를 요약한다.
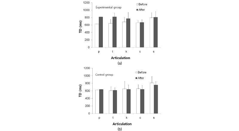
Figs. 6과 7은 각각 집단별 중재 전후 VOT 및 TD값의 변화를 도식적으로 보여주고 있다.
|
Fig. 6. Changes in the VOT (in ms) before and after the MIT intervention: (a) experimental group and (b) control group. |
|
Fig. 7. Changes in the TD (in ms) before and after the MIT intervention: (a) experimental group and (b) control group. |
3.3.1 중재전 집단간 동질성 검증
중재전 실험군과 대조군의 조음 명료도 차이에 대한 Mann-Whitney 검정 결과(Table 5) 양순음 /p/, 치조음/t/, 연구개음/k/, 파찰음/c/, 마찰음/s/의 모든 조음에서 VOT와 TD의 값의 차이가 없는 것으로 나타났다(p > 0.12). 이러한 결과는 무작위로 배정한 두 집단 간의 중재전 동질성을 증명한다.
사후평균 56.5 ms(p = 0.01)로 각각 통계적으로 유의하게 길이가 증가하였다(p < 0.05). 파찰음/c/는 사전평균 48.2 ms에서 사후평균 47.8 ms(p = 0.67)로, 마찰음/s/는 사전평균 71.1 ms에서 사후평균 74.7 ms(p = 0.16)로 유의한 차이를 보이지 않았다(p > 0.05). 반면 대조군에서는 양순음 /p/은 사전평균 38.1 ms에서 사후평균 33.2 ms로, 연구개음 /k/은 사전평균 40.1 ms에서 사후평균 38.5 ms로 유의하게 길이가 감소하였다(p < 0.05). 치조음/t/은 사전평균 37.4 ms에서 사후평균 35.2 ms로, 파찰음/c/은 사전평균 42.2 ms에서 사후평균 41.8 ms로, 마찰음/s/은 사전평균 80.7 ms에서 사후평균 77.3 ms로 사전 사후 유의한 차이가 없었다(p > 0.05, Fig. 6참조).
3.3.2 집단별 중재 전후의 비교
VOT(단어 초성 자음의 폐쇄 개방 시작부터 모음 진동 시작 전까지의 길이)의 변화를 보면, 실험군에서 양순음 /p/는 사전평균 36.2 ms에서 사후평균 53.1 ms로(p = 0.01), 치조음/t/는 사전평균 44.2 ms에서 사후평균 54.7 ms로(p = 0.04), 연구개음/k/는 사전평균 51.6 ms에서 TD(단어 전체 길이)의 변화를 보면, 실험군에서는 양순음 /p/에서 사전평균 627.3 ms에서 사후평균 818.2 ms(p = 0.01)로, 치조음/t/는 사전평균 645.5 ms에서 사후평균 821.1 ms(p = 0.002)로, 연구개음/k/는 사전평균 685.6 ms에서 사후평균 771.9 ms(p = 0.03)로 각각 통계적으로 유의하게 증가하였다(p < 0.05). 파찰음/c은 사전평균 661.1ms에서사후평균 670.7 ms(p = 0.33)로, 마찰음/s/은 사전평균 795.6 ms에서 사후평균 809 ms(p = 0.78)로 유의한 변화가 나타나지 않았다(p > 0.05). 반면, 대조군에서는 양순음 /p/ 사전평균 624.2 ms에서 사후 평균 637.3 ms(p = 0.75)로, 치조음/t/ 사전평균 606 ms에서 사후평균 614.7 ms (p = 0.92)로, 파찰음/c/ 사전평균 656.7 ms에서 사후평균 641.4 ms(p = 0.92)로, 마찰음/s/ 사전평균 812.0 ms에서 사후평균 753 ms(p = 0.25)로 유의한 변화가 없었다(p > 0.05). 연구개음/k/은 사전평균 655.1 ms에서 사후평균 640.3 ms(p = 0.04)로 오히려 길이가 유의하게 감소하였다(p < 0.05) (Fig. 7참조). 즉, 실험군에서 양순음 /p/, 치조음/t/, 연구개음/k/는 VOT와 TD에서 길이가 증가하였다.
대조군에서 조음 명료도에서 개선 효과가 부정적으로 나타나고 있는데 이는 저조한 프로그램 참여율 및 환자 주도적인 MIT 중재 방법과 관련이 있는 것으로 추정된다. 실험군의 프로그램 참여율은 32회기 중 평균30회기(94 %)인데 반해 대조군은 환자의 재입원 및 간헐적 참여 인해 평균 26회(81 %)의 상대적으로 저조한 참여율을 보였다. 환자 주도적인 MIT에 참여한 대조군 환자는 한 달 이상 또는 간헐적으로 중재 프로그램에 참여할 때 전후 단계의 활동을 이해하지 못하거나 치료사의 제시를 수행하지 못하는 경우가 있었다. 가사 따라하기와 질문에 답하는 과정에서 대조군의 일부 환자는 치료사가 제시하지 않은 다른 단어를 표현하는 착어 현상을 보이기도 했다.
3.3.3 중재 후 두 집단 간의 차이 비교
VOT에서 양순음 /p/는 p = 0.01, 치조음/t/는 p = 0.01, 연구개음/k/는 p = 0.04로 실험군과 대조군의 유의한 차이를 보인반면(p < 0.05), 파찰음/c/는 p = 0.61, 마찰음/s/는 p = 0.80으로 두 집단 간의 차이가 나타나지 않았다(p > 0.05).
TD에서도 양순음 /p/는 p = 0.01, 치조음/t/는 p = 0.03, 연구개음/k/는 p = 0.01로 실험군과 대조군의 유의한 차이를 보인반면(p < 0.05), 파찰음/c/는 p = 0.90, 마찰음/s/는 p = 0.70으로 두 집단 간의 차이가 나타나지 않았다(p > 0.05). 따라서 중재 후 양순음 /p/, 치조음/t/, 연구개음/k/는 VOT와 TD에서 실험군의 조음 명료도가 대조군에 비해 유의하게 개선된 것으로 나타났다.
IV. 토 의
본 연구에서는 호흡 훈련을 포함하는 MIT가 브로카 실어증환자의 조음 명료도에 미치는 영향을 검증하기 위한 초기적인 실험을 수행했다.
실험 결과 호흡 훈련을 포함한 MIT 프로그램을 적용한 환자군은 MIT 만을 적용한 환자군보다 호기량, 음성강도가 통계적으로 유의하게 증가했다. 특히 양순음 /p/, 치조음/t/, 연구개음/k/에서 VOT와 TD가 증가했다.
단어 전체 길이에서의 통계적인 유의성은 구강 내 공기 유량이 가장 크고 호기 압력도 가장 높은 양순음/p/의 경우 그 밖의 다른 음에 비교하여 공기 역학적인 변화가 크게 나타나 호기량 개선과 조음 능력과의 상관성을 보여주고 있다.
MIT만을 적용한 대조군에서에서는 조음 명료도 개선 효과가 없거나 일부 조음에서는 오히려 부정적인 결과를 보여주고 있다(Table 5). 이러한 결과는 자칫 현재 언어 재활 치료에 사용되고 있는 MIT의 유용성을 부정하는 결과처럼 보일 수 있다. 본 연구에서는 대조군에서 적용된 MIT는 환자 주도적으로 시행된 것으로 기존 치료사 주도로 시행된 MIT에 비해 효과가 낮을 것으로 추정된다. 또한 환자 주도의 MIT 프로그램에 참여한 대조군의 수가 6명으로 매우 작으며, 특히 대조군 환자 중 1인은 뇌손상의 재발로 인하여 1개월의 공백을 보였으며, 2명은 프로그램 참여가 간헐적으로 이루어져 통계적 유의성이 나타나지 않은 것으로 추정된다. 이런 이유로 본 실험에서 대조군의 결과는 기존 MIT의 유효성을 부정하기에는 통계적인 근거가 부족하다. 향후 본 연구에서 적용했던 환자 주도의 MIT가 기존의 치료사 주도로 시행했던 경우에 비교하여 유효성에 어떤 영향을 주는지 규명하기 위한 추가 연구가 제안된다. 이러한 연구 결과는 치료사를 확보하기 어렵거나 환자의 특성상 자율적인 MIT가 필요한 경우에 MIT의 유효성을 예측하는 중요한 정보를 제공할 것으로 보인다.
본 연구는 3년이 넘는 대뇌 손상 환자 중 브로카실어증 환자를 대상으로 수행했다. 뇌 손상 환자는 발병 후 활동량의 감소와 호흡근의 편마비로 인해 호흡 장애가 동반된다. 또한 초기의 호흡 문제로 언어 치료를 늦게 시작하거나 호흡 문제가 있음에도 불구하고 이를 간과하는 경우가 많다.[20] 따라서 체계적인 호흡 훈련 프로그램은 브로카 실어증 환자들을 위한 언어 재활 프로그램에서 고려해야 중요한 부분이라 여겨진다.
본 연구에서 조음 명료도를 평가하기 위해 사용된 실어증 환자의 음성을 음향학적인 측정 기술을 이용하여 객관적이고 정량적으로 분석했다. 이러한 평가 기술은 실어증 환자의 개별적 언어 치료 계획과 치료 후 효과의 판정 등에 유용하게 사용될 수 있다. 본 연구에서 대상으로 하는 MIT 기반 언어 재활 프로그램의 활용도를 높이기 위해서는 사용자 수준에서 조작이 가능하고 언어 재활에 최적화된 음성 인식 도구 및 분석 장치에 대한 개발이 필요하다.
본 연구는 총 14명으로 실어증 환자를 대상으로 수행한 초기적인 실험에서 수집된 결과에 근거하고 있으며, 향후 유형별로 분류된 다수의 실험군을 대상으로 호흡 훈련을 선행 단계로 포함하는 수정된 MIT의 임상적인 효과에 대한 체계적인 연구가 제안된다.
본 연구에 사용된 호흡 훈련을 포함 하는 MIT 프로그램은 호흡 재활을 위한 중재 전략으로 MIT를 한국어법에 맞는 간단한 명사 발화에 중점을 두었다. 향후 대상자의 언어 능력 정도에 따라 어휘 수준을 단계화 하고 문법적인 기능까지도 고려한 호흡 훈련을 포함하는 한국형 MIT 기법 개발을 위한 후속 연구가 요구 된다.










