I. 서 론
II. 주름평판 모델링
2.1 주름평판 제원 및 물성치
2.2 파수유한요소/경계요소 모델
2.3 직교이방성평판 모델
III. 주름평판의 파동 분산 특성
IV. 주름평판의 방사효율 해석
V. 방사효율 근사계산
VI. 결 론
I. 서 론
주름평판은 중량 대비 강성이 크므로 건축 구조물이나 철도, 선박 등 수송기계용 구조부재로 널리 사용되어 횡 하중의 지지 및 차음에 매우 중요한 역할을 담당한다. 주름평판은 복잡한 주름 형상으로 인해 이론 해석이 어려우므로 주로 등가의 직교이방성 평판으로 단순화하여 해석을 수행한다.[1,2,3,4] 즉, 평판의 주름에 의해 폭 방향 굽힘 강성과 길이 방향굽힘 강성이 달라지므로, 폭 방향과 길이 방향 강성이 다른 직교이방성 평판으로 가정하는 것이다.
Anderson과 Bratos-Anderson[4]은 폭 방향과 길이 방향 굽힘 강성이 다른 직교이방성 사각평판의 방사효율을 이론적으로 구하고, 등방성 사각평판의 방사 특성과 비교하였다. 직교이방성 사각평판은 폭 방향과 길이방향의 굽힘파 파수가 상이하므로 두 개의 일치주파수를 가지며, 두 일치주파수 구간에서는 등방성 사각평판과 상이한 소음 방사 특성을 갖는다. 따라서, 직교이방성 평판의 폭 방향 및 길이 방향 굽힘 강성의 비가 주요 파라미터로 기여한다.
주름평판을 직교이방성 평판으로 간주하는 것은 평판의 전역 진동이 발생하는 저주파수 대역 해석에는 유효하지만, 주름 형상에 의한 국부 진동이 발생하는 고주파수 대역 해석에서는 유효하지 않다. 수치해석 방법인 유한요소/경계요소법[Finite Element/ Boundary Element Method(FE/BEM)]을 이용하는 경우에도, 주름형상 모델링으로 인해 고주파수 대역에서 해석 모델의 자유도가 급격히 증가함에 따라 여전히 저주파수 대역 해석에만 적용되고 있다.[5,6,7]
주름평판의 고주파수 대역 구조음향 성능은 주름의 국부 진동과 관련이 있다고 예상되지만 아직 이에 대한 명확한 해석 및 예측이 미흡하여 주로 실험에 의존하고 있다.[1,2,3] 이러한 문제점을 개선하고자, 본 연구에서는 파수영역 수치해석을 이용해 주름평판의 고주파수 대역 구조음향 성능을 파악하고, 이를 근사할 수 있는 이론적 접근 방법을 제안하고자 한다.
주름평판에 대한 고주파수 대역 구조음향 성능 해석을 위해 본 연구에서는 파수유한요소/경계요소[Wavenumber Finite Element/Boundary Element(WFE/ BE)]기법[8,9,10]을 적용한다. 본 방법은 단면의 형상이 길이방향으로 일정한 도파관 구조물의 해석에 사용되는 방법으로서, 유한요소/경계요소법에 기반하고 있으나 구조물의 단면만을 유한요소/경계요소 모델링하고 길이방향으로는 이론적 파동해를 사용한다. 단면만을 유한요소/경계요소 모델링하여 3차원 구조물의 응답을 해석하므로 2.5차원 유한요소/경계요소법이라고도 불린다.
파수영역 해석을 위해 본 연구에서는 주름평판을 길이방향으로 무한히 긴 도파관 구조물로 가정한다. 사각 평판의 폭과 길이 비가 1:10 이상이 되면 사각평판은 무한 길이를 갖는 띠평판으로 가정하여 해석할 수 있다.[11] 띠평판 해석에서는 폭 방향 모드를 가지고 길이 방향으로 진행하는 파동해를 사용한다. 따라서, 사각 평판과 비교해 모드의 개수가 크게 줄어들어 고주파수 대역 진동 및 소음 해석에 용이하다는 장점이 있다.
폭과 길이 비가 크지 않은 사각 주름평판의 경우, 저주파수 대역에서는 WFE/BE 방법을 사용하는 것이 적절하지 못하다. 그러나, 주름을 구성하는 부재들(플랜지와 웹)은 길이 대비 폭이 좁아서 띠평판 가정을 만족하므로 주름평판의 고주파수 대역 해석에는 WFE/BE 방법이 효과적이라고 할 수 있다. WFE/ BE 방법이 갖는 이러한 장점을 활용하기 위하여, 본 연구에서는 주름평판을 주름 띠평판으로 가정하여 해석을 수행하였다(이하 내용에서 ‘평판’은 ‘띠평판’을 의미한다).
주름평판의 구조음향 특성으로서, 본 연구에서는 주름평판의 방사효율을 WFE/BE 방법으로 해석하고 그 특성을 살펴보았다. 수치해석 결과는 직교이방성 등가 평판 모델의 결과와 비교함으로써 등가평판 모델의 유효 주파수 범위를 규명하고, 고주파수 대역에서 주름에 의해 발생하는 진동 및 소음 특성을 파악하고자 하였다. 마지막으로, 주파수 대역별로 주름평판의 진동 및 소음 특성을 표현할 수 있는 이론적 근사 평판 모델을 구성함으로써, 주름평판의 구조음향 특성을 손쉽게 추정할 수 있는 방법을 제안 하였다.
II. 주름평판 모델링
2.1 주름평판 제원 및 물성치
해석에 사용한 사다리꼴 주름평판의 기본 형상은 Fig. 1에 나타내었다. 폭 방향( 방향)을 따라 구성된 사다리꼴 형태 주름이 길이 방향( 방향)으로 일정하게 유지되는 평판을 대상으로 하였으며, 주름 형태를 표현하기 위한 설계 인자는 Fig. 2에 표시하였다. Fig. 2의 로 정의되는 부재는 웹, 와 로 정의되는 부재는 플랜지이며, 플랜지와 웹이 만나는 지점은 연결점이라고 칭한다.
본 연구에서 설정한 사다리꼴 주름의 제원은 Table 1에 나타내었다. 평판의 재질은 강이며, 밀도(𝜌)는 7800 kg/m3, 탄성계수()는 200 GPa, 프와송비(𝜈)는 0.3을 사용하였다. 진동 특성이 서로 다른 두 평판을 고려하기 위해, 평판의 두께()는 1.2 mm와 0.4 mm의 두 가지로 정의하고, 두 평판에 대한 해석 결과를 비교 및 검토하였다. 주름평판은 Fig. 1과 같이 폭 방향으로 6개의 주름을 배치하였으며, 전체 폭()은 0.838 m이다.
Table 1.
Properties of the trapezoidal corrugated plate.
| 28.8 mm | 60 mm | ||
| 70 deg. | 27 mm | ||
| 139.7 mm | 1.2 mm or 0.4 mm |
2.2 파수유한요소/경계요소 모델
파수유한요소에 대한 지배방정식은
여기서 는 강성행렬, 은 질량행렬이며, 는 방향 파수, 𝜔는 각주파수, 는 단면의 파수영역 변위 벡터, 는 파수영역의 외력 벡터이다.[8,9,10] 압출패널의 상부판과 접하는 유체에 대한 파수경계요소 지배방정식은
이며, 여기서 와 는 파수영역에서 정의되는 Green 함수 행렬이며, 와 는 경계요소의 속도 포텐셜과 법선 방향 속도, 은 법선 방향 벡터를 나타낸다. Eqs. (1)과 (2)의 파수유한요소와 파수경계요소는 평판 상부에서 접하고 있으며, WFE와 WBE의 연속조건식은
이다. Eq. (3)에서 은 파수유한요소와 파수경계요소의 연성행렬, 는 항등행렬을 나타낸다. 파수영역에서 Eqs. (1), (2), (3)을 풀어 해를 구하면 파수유한요소의 변위 , 파수경계요소의 압력 (는 공기의 밀도를 나타낸다), 그리고 유체 입자의 법선 방향 속도 를 얻는다. WFE/BE 방법을 이용한 평판 구조물의 구조음향 성능 해석에 관한 상세 설명은 References [8], [9], [10], [11], [12], [13]을 참조 바란다.
주름평판 해석을 위한 WFE/BE 모델 구성은 Fig. 3에 나타내었다(파수유한요소와 파수경계요소는 서로 접하고 있으나 이해의 편의를 위해 Fig. 3에서는 서로 분리하여 묘사하였다). 주름평판은 폭 방향으로 6개의 주름을 가지며, 폭 방향의 양 끝단은 단순지지 경계조건을 부여하였다. 파수경계요소를 이용한 음향해석 시 주름평판을 제외한 폭 방향 영역에 대해서는 강체 배플 조건을 적용하였다. 주름평판 모델을 구성하는 WFE와 WBE는 2절점 요소를 사용하였으며, 요소 수는 각각 148개, 148개, 절점 수는 각각 149개, 173개, 그리고 자유도는 각각 590과 344이다.
2.3 직교이방성평판 모델
주름평판은 폭 방향 주름으로 인해 방향과 방향의 굽힘강성이 달라진다. 주름평판을 등가의 직교이방성 평판으로 가정하면, 운동방정식은
이다. 여기서 는 주름평판의 수직방향 변위이며,
는 직교이방성평판의 밀도, 하첨자 은 주름을 구성하는 부재(Fig. 2 참조)를 의미하며, 은 부재의 중심과 중립축 사이 수직거리로서 이다.
Table 1에서 정의한 주름평판의 방향과 방향 굽힘강성은 Table 2에 나타내었다. Table 2의 결과로부터, 주름에 의해 방향 굽힘 강성이 방향 굽힘 강성보다 크게 증가한 것을 확인할 수 있다. 주름에 의한 굽힘 강성의 변화를 비교해보면, 두께 1.2 mm평판은 = 1924, 두께 0.4 mm 평판은 = 17307이다. 즉, 평판의 두께가 얇을수록 방향과 방향 굽힘 강성의 차이가 크게 발생한다.
Table 2.
Equivalent bending stiffnesses of equivalent orthotropic plate.
| Thickness, | 1.2 mm | 0.4 mm |
| 47.92×103 | 15.97×103 | |
| 24.9 | 0.92 | |
| 1924 | 17307 | |
| (Hz) | 295 | 295 |
| (kHz) | 12.9 | 38.8 |
직교이방성 평판은 폭 방향과 길이 방향 굽힘 강성이 다르므로, 파수 영역에서 정의되는 두 방향의 굽힘파 파수 와 는
의 관계를 가지며, 여기서
등방성 평판에서는 굽힘파와 음파의 파수()가 같아지는 일치주파수가 하나만 존재하지만, 직교이방성평판에서는 방향과 방향 굽힘 강성 차이로 인해 일치주파수가 주파수 범위를 갖는다. 가장 낮은 일치주파수를 , 가장 높은 일치주파수를 라고 하면,
이며, 여기서 는 음파의 전파속도이다. Eq. (8)로부터 얻어진 일치주파수의 하한과 상한은 Table 2에 나타내었다.
III. 주름평판의 파동 분산 특성
본 연구에서는 파동을 이용한 진동 및 소음 해석을 수행하므로, 먼저 주름평판에서 발생하는 파동의 분산 특성을 파악해야 한다. Fig. 4에는 두께 1.2 mm인 주름평판의 분산선도를 나타내었으며, 비교를 위해 음파의 분산곡선도 함께 도시하였다.
주름평판의 주요 진동 특성을 이해하기 위하여 Fig. 5에는 Fig. 4에 기호로 표시한 여섯 개 파동의 진동 모드를 나타내었다. 첫 번째 파동(‘○’)은 저주파수 대역에서 주름평판 전체가 폭방향 1차 굽힘을 갖는 파동이며, 주파수가 증가함에 따라 주름의 비틀림 모드를 갖는 파동(‘□’), 그리고 플랜지(‘+’, ‘∗’, ‘△’)와 웹(‘▽’)의 굽힘파가 발생함을 알 수 있다. 즉, 저주파수 대역에서는 주름평판 전체가 변형하는 전역파동이 발생하는 반면, 고주파수 대역에서는 주름의 플랜지 또는 웹을 따라서만 진행하는 국부파동들이 나타난다.

Fig. 5.
(Color available online) Cross-sectional mode shapes of the six propagating waves marked with symbols in Fig. 4.
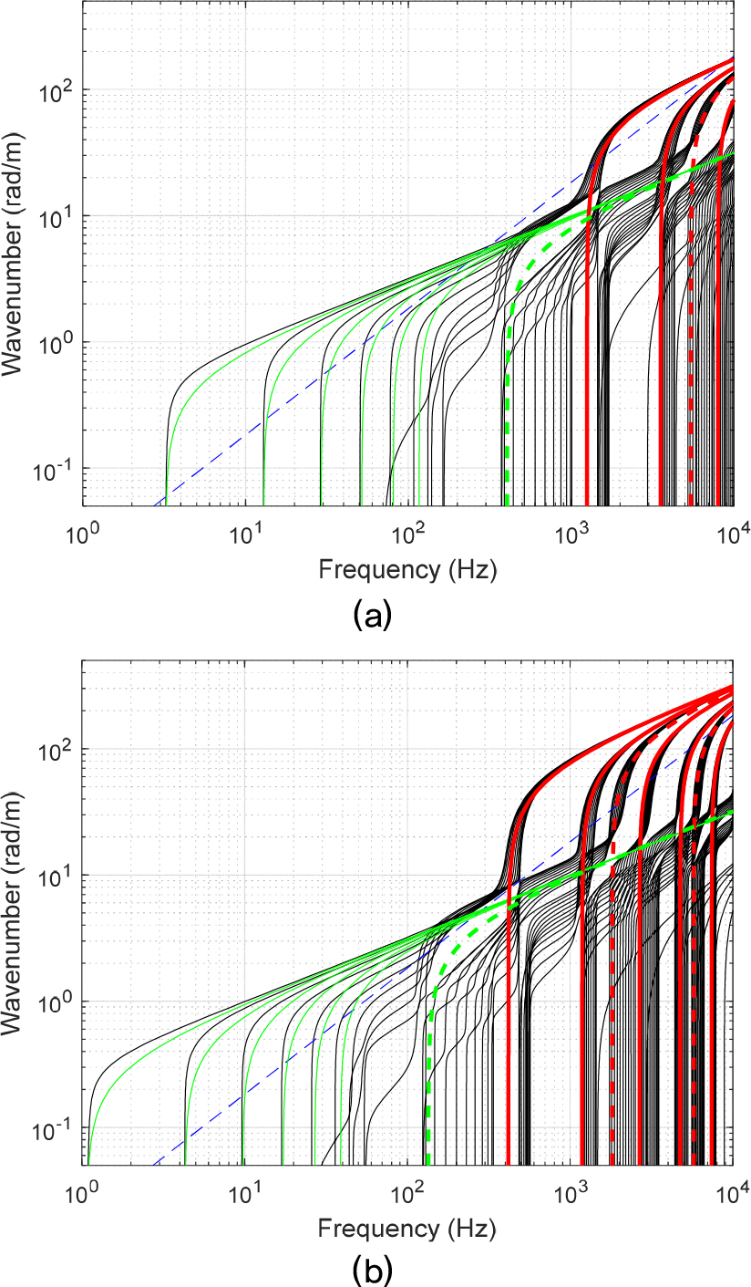
주파수 대역별 파동 특성을 분산선도로 확인하기 위하여, Fig. 6에는 폭 인 등가의 직교이방성평판 그리고 플랜지와 웹에 해당하는 폭을 갖는 단순지지 띠평판의 분산선도를 함께 비교하여 나타내었다. 본 연구에서 사용한 주름평판은 6개의 주름을 가지므로 직교이방성평판의 분산곡선은 저차의 6개 파동만을 표시하였다.

Fig. 6.
(Color available online) Comparison of dispersion curves of corrugated plate with the equivalent orthotropic plate, flange and web strips for (a) = 1.2 mm, (b) = 0.4 mm (solid green lines, orthotropic plate; dashed green line, 2nd wave in orthotropic plate with a width ; solid red lines, flange strip; dashed red lines, web strip).
Fig. 6에서 플랜지와 웹 띠평판에는 단순지지 경계조건을 가정하였다. 그러나, 실제 주름평판에서는 플랜지와 웹이 경사각을 이루며 연결되어 있으므로 단순지지 보다 강건한 지지조건을 갖는다. 따라서, 단순지지를 갖는 플랜지 평판와 웹 평판의 폭을 실제 주름의 플랜지 폭()과 웹 폭()으로 설정할 경우, 경계조건의 차이로 인해 파동의 발생주파수가 실제보다 낮아지는 문제가 나타난다. 이를 보정하기 위해, 본 연구에서는 분산선도 비교를 통해 플랜지와 웹 평판의 폭을 조정하였다.[12] 즉, 플랜지와 웹 평판의 분산곡선이 주름평판의 분산곡선과 유사해지도록 주름평판 플랜지와 웹 폭에 0.8(1차 파동)과 0.95(2차 이상 파동)의 가중치를 부여하여 폭을 좁혔다. 1차 파동과 2차 이상의 파동에 대해 가중치 값을 달리 부여한 이유는 Fig. 5에 나타낸 파동 ‘∗’와 ‘△’의 변형형태로부터 이해할 수 있다. Fig. 5를 보면, 플랜지 1차 모드를 갖는 파동(‘∗’)은 플랜지 경계에서 단순지지보다 강건한 지지를 갖는 반면 플랜지 2차 모드인 파동(‘△’)은 경계에서 단순지지와 유사한 지지상태를 보인다. 따라서 1차 파동에는 0.8의 가중치를, 2차 이상의 파동에 대해서는 0.95의 가중치를 부여하였다.
주름평판의 플랜지와 웹을 단순지지 띠평판으로 근사함에 있어, 플랜지와 웹 띠평판의 등가폭은 주름의 형태 및 경사각() 등에 의해 영향을 받는다. 그러나, 본 연구에서는 경사각 변화와 관련한 내용은 생략하였다(이 주제는 후속 연구를 통해 살펴보고자 한다).
플랜지와 웹은 등방성 평판으로 모델링하며, 폭 방향 모드를 갖는 국부진동의 발생주파수는 Eq. (9)와 같다.
여기서 은 폭 방향 모드의 차수(=1, 2, ...), 는 가중치를 반영한 평판의 폭, 𝜌와 는 각각 평판의 밀도와 굽힘강성을 나타낸다. Eq. (9)로부터 얻은 플랜지의 1차와 2차 국부진동 발생주파수는 Table 3에 나타내었다. Fig. 6과 Table 3으로부터, 두께 1.2 mm의 주름평판에서는 약 1250 Hz부터, 두께 0.4 mm 주름평판에서는 약 420 Hz부터 플랜지의 국부파동들이 발생함을 알 수 있다.
Table 3.
Cut-on frequencies of the flange plate having weighted widths.
| Thickness, | 1.2 mm | 0.4 mm | ||
| mode index | ||||
| width | 0.8 | 0.95 | 0.8 | 0.95 |
| (Hz) | 1254 | 3557 | 418 | 1186 |
주름평판에서는 폭 방향 모드의 파장과 주름의 폭()이 일치할 때 상대적으로 큰 진동이 발생한다[Fig. 7(a)의 400 Hz 부근 응답 참조]. V장에서 기술할 방사효율 근사 계산에서는 이 현상을 묘사하기 위해 단일주름의 폭()을 갖는 등가 직교이방성 평판을 모델링하였다. 폭 방향 파장이 단일주름의 폭과 같아지는 것을 폭 방향 2차 모드이므로, Fig. 6에는 폭 인 직교이방성 평판의 2차 파동 분산곡선을 함께 도시하였다(단일주름 직교이방성 평판의 폭은 발생주파수 근사를 위해 폭 에 가중치 1.1을 곱하였다).
Fig. 6에서는 직교이방성평판의 일치주파수 (약 300 Hz)을 확인할 수 있다. 두께 1.2 mm 주름평판의 경우, 이 주름평판의 전역 진동 영역에 포함되는 반면 두께 0.4 mm 주름평판에서는 주름의 국부적 변형이 발생하기 시작하는 영역에 이 위치하고 있다. 이 차이가 방사효율에 미치는 영향에 대해서는 IV장에서 상세히 다룬다.
IV. 주름평판의 방사효율 해석
평판의 방사효율(𝜎)은 Eq. (10)으로 정의된다.
여기서 는 평판의 방사 파워, 는 시간과 공간에 대해 평균된 평판의 진동 속도 제곱을 나타낸다.
WFE/BE 해석에서 얻은 주름평판 표면의 파수영역 음압()과 수직방향 속도()로부터 방사 파워와 진동 속도 제곱을 구하면
이다.[10] 직교이방성평판의 경우, 파수영역에서 정의되는 방사파워와 진동 속도 제곱은 Eqs. (13)과 (14)로 표현된다.
여기서 는 지점에 점하중 가 작용할 때, 폭 방향 번째 모드를 갖는 파동의 수직방향 속도[13]로서
이며 이다.
평판의 응답은 가진 위치에 따라 달라지므로, 폭 방향을 따라 가진점의 위치를 옮겨가며 구한 진동속도제곱과 방사파워를 모든 가진점에 대해 평균을 취한다.[10,11] 가진점에 대해 평균된 방사효율은 Eq. (16)과 같다.
주름평판은 주름의 형상으로 인해 점하중이 어느 위치에 작용하는지에 따라 응답 특성이 크게 달라진다. 예를 들어, 외력이 플랜지 중앙부에 작용하면 플랜지의 국부적 진동이 쉽게 가진 되므로 플랜지의 진동이 주름평판의 평균진동에 크게 기여할 것이다. 한편, 외력이 플랜지와 웹의 연결점에 작용하면 플랜지의 국부 진동은 거의 가진 되지 못하므로 주름평판의 전역 진동만이 주로 발생할 것이다. 따라서, 본 연구에서는 연직 방향 외력이 플랜지에 작용하는 경우, 웹에 작용하는 경우, 그리고 플랜지와 웹의 연결점에 작용하는 경우의 세 종류로 구분하여 주름평판의 응답을 관찰하였다.
세 종류의 가진 위치에 대하여 구한 두께 1.2 mm 주름평판의 진동속도제곱 과 방사파워 는 Fig. 7에 나타내었다. 또한, 비교를 위하여 직교이방성평판의 결과도 Fig. 7에 함께 도시하였다. Fig. 7의 결과를 보면, 저주파수 대역에서는 가진점의 위치에 상관없이 주름평판의 응답이 유사한 반면, 주름의 국부 진동이 발생하는 고주파수 대역에서는 가진점의 위치에 따라 응답특성이 상당한 차이를 갖는다. 앞서 예상한 것과 같이, 웹 또는 연결점에 외력이 작용하는 경우, 플랜지의 국부 진동이 유발되지 않으므로 평균 진동 및 방사파워가 직교이방성평판의 결과에 근사하는 경향을 보인다. 따라서, 이후 내용에서는 국부 진동의 영향이 가장 크게 발생하는 플랜지 가진 시의 결과에 국한하여 기술하였다.
Eq. (16)으로부터 구한 주름평판의 방사효율은 Fig. 8에 나타내었으며 직교이방성평판의 결과도 함께 비교하였다. 두께 1.2 mm 평판의 경우, 주름평판에서 국부 진동이 발생하는 주파수 범위가 첫 번째 일치주파수 (약 300 Hz)보다 높으므로 주름평판과 직교이방성평판 모두 을 지나면서 방사효율이 크게 상승하는 현상을 보인다. 직교이방성평판에서는 첫 번째 일치주파수 이후 방사효율이 선형적으로 증가하는 반면, 주름평판에서는 플랜지의 첫 번째 굽힘파가 아음속 조건을 갖는 약 1 kHz ~ 4 kHz 구간[Fig. 6(a)의 분산선도 참조]에서 방사효율이 크게 감소하는 것을 볼 수 있다.
한편, 두께 0.4 mm 주름평판의 경우에는 주름의 국부 진동이 시작되는 주파수 대역이 첫 번째 일치주파수 보다 낮으므로, 직교이방성평판과 달리 일치주파수 부근에서 방사효율이 크게 상승하지 않는다. 더욱이 초음속 영역에 포함된 플랜지의 국부 진동(Fig. 5의 ‘+’ 파동)은 인접한 플랜지들 사이의 상쇄 간섭으로 인해 소음 방사에 효과적이지 못하다. 따라서, 플랜지의 국부 진동에도 불구하고 약 500 Hz 부근에서 방사효율이 감소한다.
Fig. 8(a)와 (b)의 결과를 비교해 보면, 1.2 mm 주름평판은 일치주파수에서 방사효율이 상승하는 직교이방성 평판과 비교적 유사한 경향을 보이는 반면, 0.4 mm 주름평판은 일치주파수에서 방사효율이 상승하지 않으므로 직교이방성 평판의 방사효율과 상대적으로 큰 편차를 보이고 있다. 이러한 경향성의 차이는 플랜지의 국부 진동이 시작되는 주파수와 첫 번째 일치주파수 사이의 상대적 위치에 의해 발생한다.
주름평판의 고주파수 대역 구조음향 특성은 주름의 형상에 의해 결정될 것이다. 이를 확인하기 위하여 하나의 주름만 갖는 폭 인 평판에 대해 WFE/BE 해석을 수행하고 그 결과를 Fig. 8에 함께 나타내었다. Fig. 7의 비교로부터, 주름평판의 고주파수 대역응답특성은 하나의 주름에 대한 해석 결과와 잘 일치함을 확인할 수 있다.
V. 방사효율 근사계산
본 절에서는 주름평판의 주파수 대역별 응답 특성을 평판 모델링에 반영하여 주름평판의 방사효율을 이론적으로 예측할 수 있는 근사계산 방법을 제안하고, 그 결과를 WFE/BE 결과와 비교하였다.
Fig. 7(a)에 나타난 주름평판의 주파수 대역별 응답 특성을 살펴보자. 먼저, 저주파수 대역에서는 주름평판을 직교이방성평판으로 간주할 수 있다. 그러나, 주파수가 증가함에 따라 직교이방성평판과는 다른 응답 특성을 보이는데, 약 400 Hz에서 진동 응답의 피크가 나타난다. 이것은 폭 방향 12차 모드로서, 폭 방향 진동 모드의 파장이 주름의 폭()과 일치하여 발생하는 응답이다. 마지막으로, 약 1 kHz 이상에서는 주름의 플랜지와 웹에서 큰 진동이 발생한다.
이와 같은 주파수 대역별 응답 특성을 반영해, 주름평판은 아래와 같이 4개의 평판 모델로 구성한다.
① 전역 직교이방성평판 : 저주파수 대역 해석을 위한 폭 의 직교이방성 평판.
② 단일주름 직교이방성평판 : 주름 1개(폭 )에 대한 직교이방성평판
③ 플랜지 평판 : 플랜지 국부 진동 해석용 평판
④ 웹 평판 : 웹 국부 진동 해석용 평판
위 네 평판에는 모두 배플된 단순지지 경계조건을 적용하며, 플랜지 평판과 웹 평판은 주름평판의 분산곡선(Fig. 6)과 유사한 분산곡선을 가지도록 평판의 폭을 조절하였다. 즉, 플랜지(또는 웹)의 1차 굽힘파에서는 실제 폭( 또는 )의 0.8배, 2차 이상 굽힘파에서는 실제 폭의 0.95배로 설정하였다. 단일주름 직교이방성 평판의 경우, 단일주름의 폭은 이지만 Fig. 7(a)의 12차 모드가 발생한 주파수(약 400 Hz)와 근사하도록 단일주름 직교이방성 평판의 폭을 1.1로 설정하였다. 전역 직교이방성평판(평판①)은 Fig. 5에 나타낸 저차의 6개 파동만을 사용해 해석을 수행하였다.
두께 0.4 mm 주름평판에서는 초음속 구간에 놓인 플랜지의 1차 굽힘파(Fig. 5의 ‘+’ 파동)가 상쇄간섭을 일으키므로 플랜지의 1차 모드임에도 방사파워가 크게 발생하지 않는다. 이를 근사 계산에 반영하기 위하여 플랜지 1차 굽힘파에 의한 방사파워는 폭이 2인 평판(폭 2에 가중치 0.8 적용)에서 발생하는 2차 굽힘파의 방사파워를 사용하였다.
위 ① ~ ④의 평판 모델을 이용해 근사 계산한 주름평판의 평균 진동과 방사 파워를 WFE/BE 해석 결과와 비교해 Figs. 9와 10에 나타내었다. 두께 0.4 mm 주름평판의 경우, 직교이방성평판 방사파워가 첫 번째 일치주파수 이후 상승하는 현상이 포함되지 않도록 약 200 Hz 이상 주파수 대역에서는 200 Hz 방사파워 값으로 일정하게 설정하였다. Figs. 9와 10의 비교를 통해 네 개의 평판 모델을 이용해 주파수 대역별로 구한 근사계산 결과가 수치해석 결과와 잘 일치함을 확인하였다.
마지막으로, Fig. 11에는 수치해석과 근사계산으로 구한 주름평판의 방사효율, 그리고 직교이방성평판 모델의 방사효율을 비교하여 나타내었다. Fig. 11의 비교를 통해, 직교이방성평판의 방사효율은 고주파수 대역에서 큰 오차를 보이는 반면, 근사계산으로 구한 방사효율은 수치해석 결과와 전 주파수 대역에서 잘 일치함을 알 수 있다.
VI. 결 론
본 연구에서는 사다리꼴 주름을 가진 주름평판의 진동 및 방사소음 특성을 파수영역 수치해석 기법인 파수유한요소/경계요소 방법을 이용해 검토하였다. 이를 통해 주름평판에 흔히 적용되는 직교이방성평판 모델은 주름의 국부진동이 발생하기 이전의 저주파수 대역에서만 유효하며, 고주파수 대역의 진동 및 소음 특성은 주름의 국부 진동이 지배적으로 작용함을 파악하였다. 또한 주름평판의 고주파수 대역 방사특성은 일치주파수 하한(첫 번째 일치주파수)과 주름의 국부 진동 시작 주파수 사이의 대소 관계에 따라 큰 차이가 있음을 확인하였다.
수치해석 결과를 통해 파악한 주름평판의 진동 및 소음 특성을 활용하여, 본 연구에서는 주름평판의 방사효율을 이론적으로 근사할 수 있는 간편한 근사계산 방법을 제안하였다. 즉, 주름평판을 전역 직교이방성평판, 단일주름 직교이방성평판, 플랜지 평판, 웹 평판의 네 개 평판으로 구성하여 이론 해석을 수행하고, 수치해석 결과와 비교함으로써 근사계산 방법의 신뢰성을 검증하였다.
플랜지와 웹 띠평판의 등가폭은 주름의 형태 및 경사각 등에 의해 영향을 받는다. 그러나, 본 연구에서는 주름의 경사각 변화와 관련한 내용은 다루지 않았다. 이에 관해서는 후속 연구를 통해 살펴볼 계획이다. 또한, 후속 연구에서는 파수유한요소/경계요소법과 통계에너지해석 방법 등을 이용해 주름평판의 고주파수 대역 음향투과손실을 해석할 예정이다. 이를 통해 주름평판의 음향투과손실을 빠르고 효과적으로 예측할 수 있는 방법을 제시하고자 한다.












