I. 서 론
II. 자료 수집 및 처리
2.1 자료 수집
2.2 수온, 염분, 음속수직분포
III. 분석 방법
3.1 수온-염분 기울기 분석
3.2 채널두께, 저주파 컷오프, 임계각
3.3 음파전달 모의실험
IV. 분석 결과 및 토의
4.1 음파채널 형성에 미치는 저염분수의 영향
4.2 채널의 음향 특성
V. 결 론
I. 서 론
해양에서는 수온, 염분 그리고 수심에 따라 음속이 결정된다. 그러나 일반적으로는 염분이 음속에 미치는 영향이 매우 적을 뿐 아니라 염분은 공간에 따라 변화가 적기 때문에 음속을 계산하는데 큰 영향을 미치지 않는다.[1] 하지만 특정 해역에서는 표층에서 염분이 크게 낮아져서 염분에 의한 표층음파채널이 형성되기도 한다.[2]
일반적으로 저염분 현상이 생기는 원인은 강수량이 많거나 강의 하구에서 많은 담수로 인해 형성된다고 알려져 있다.[3]여름철에 중국 남부에 내리는 폭우로 인하여 양쯔강 하구에서 담수 배출량이 급격히 증가하게 되어 동중국해로 유입되며, 경우에 따라 바람이나 해류 등의 영향을 받아 북동쪽으로 이동해 제주서부지역 연안에서 저염분 현상이 발생한다고 알려져 있다.[4,5]
한국 근해의 평균 염분은 33 ~ 34 psu 이다. 그러나 강을 통한 담수의 유입으로 30 psu 이하가 되는 해수가 종종 출현하는데 이러한 해수를 저염분수로 정의한다.[6] 이 저염분수는 기존 김 등의 연구결과를 보면 겨울철 표층에서 조사한 염분 범위보다 3 ~ 4 psu 낮은 30 psu 이하의 염분 값을 보인다.[7]표층음파채널은 저염분으로 인하여 생성된 염분채널과 혼합층에서 수심에 의해 생성되는 정수압 채널 그리고 일반음파채널로 구분될 수 있다.[8]
먼저 제주서부해역에서는 최근 30년(1980 ~ 2009)간 저염분수 현황에 대한 연구가 진행되었으나,[9] 저염분수의 근원이 시작되는 양쯔강 입구 쪽과 동중국해를 포함하지 않은 한계가 있다. 본 논문에서는 제주 서부해역으로 흘러들어오는 저염분수의 원천이 되는 양쯔강 근해의 동중국해 해역에서 연구를 수행하였으며, 제주서부해역에서의 기존 연구결과와 비교, 분석하였다.
반면에 Bulgakov et al.[8]의 연구 결과에 의하면 기니만 근처에 위치한 나이저강과 볼타강 하구에서 많은 담수가 만으로 흘러들어 가고, 카메룬 해안 지역에 많은 강수량이 발생하여 저염분으로 인한 표층음파채널이 발생한다고 확인된 바 있다. 그리하여 동중국해와 더불어 기니만 지역의 저염분수 현황과 염분에 의한 표층음파채널과 특징을 비교해 보고자 한다. 본 논문에서는 주로 제주 서부해역 저염분수의 근원이 시작되는 동중국해 해역 네 정점과 대서양의 기니만 네 정점에서 표층음파채널을 비교해 보았다. 그리고 수온-염분 기울기 분석, 음파전달 모의실험을 통하여 해역별 표층음파채널 특성 및 동향을 살펴보았으며, 표층음파채널을 연구한 기존 결과들[9,17]과 비교하여 본 논문에서 종합적으로 제주서부해역을 포함한 동중국해, 적도 근처의 기니만 주변해역, 대서양 지역의 브라질 북쪽 아마존강 유역, 남대서양에 위치한 아르헨티나의 라플라타강 유역에서 발생한 저염분수에 대한 해역별 특징들을 비교 분석해 보았다.
II. 자료 수집 및 처리
2.1 자료 수집
양쯔강 담수에 영향을 받는 동중국해에서 표층음파채널 발생 동향을 분석하기 위해 KODC[10] 자료 중 강 하구에서 제일 가까운 9개의 정점을 택하여 10년(2000 ~ 2009)간의 수온 및 염분 자료를 수집하였고 음속 수직분포를 계산하였다[Fig. 1(a)]. 그 중 염분 수직분포의 다양성을 확인하기에 용이한 2006년 8월 네 정점(A1 ~ A4)의 자료를 이용하여 표층음파채널 발생 원인 및 음향 특성을 분석하였다. 양쯔강으로부터 약 200 km 가량 떨어진 이 정점들은 각각 한국해양자료센터에서 명시 되어 있는 317-22. 316-22, 316-21, 315-21 정점이며, 각각 위・경도는 31.5°N 124°E(A1), 32°N 124°E(A2), 32°N 124.5°E(A3), 32.5°N 124.5°E(A4)이다.
기니만 해역은 국제아르고센터에서 광범위 해양조사를 위해 운용하고 있는 ARGO[11]로부터 측정된 자료를 분석하였다[Fig. 1(b)]. ARGO는 그 특성상 고정된 정점에서의 자료를 제공하지 않으므로 2006 ~ 2009년 사이에 나이저강 하구에 위치했던 두 개의 ARGO로부터 측정된 20개의 자료를 이용하였다(국립기상연구소 ARGO 식별번호: 1900609, 1900615). 사전 자료 분석 결과 우기의 기니만 해역은 평균 염분이 35 ~ 36 psu로 동중국해나 한국근해보다 평균 2 ~ 3 psu 정도 높았다. 따라서 저염분수 구분 기준을 32 psu로 두었으며 30 psu 이하의 경우를 강한 저염분수 현상으로 구분하였다. 동중국해와 마찬가지로 네 개의 측정 시점을 선택하여 표층음파채널 발생 원인과 음향 특성을 분석하였으며 그때의 정점을 B1 ~ B4 라고 구분하였다. 나이저 강으로부터 약 130 ~ 200 km 떨어진 이 정점들의 위・경도는 각각 3.343°N 6.855°E (B1), 3.405°N 6.951°E(B2), 3.088°N 7.323°E(B3), 3.337°N 7.564°E(B4) 였다.
2.2 수온, 염분, 음속수직분포
표층음파채널 분석을 위해 선별된 2006년 8월 동중국와 2008년 11월 ~ 2009년 2월의 기니만의 특정 정점(A1 ~ A4, B1 ~ B4)에서 측정된 수온, 염분 수직분포를 그로부터 계산된 음속 수직분포와 함께 Fig. 2에 나타냈다. KODC의 수온, 염분 자료는 표층에서부터 30 m 까지는 10 m 마다, 그 이상의 수심에서는 20 m 간격으로 측정되었으며 ARGO 자료는 약 5 m 간격으로 측정되었다. 두 자료 모두 monotone cubic hermite 내삽법(interpolation)[18]을 사용하여 수온, 염분, 음속 수직분포를 1 m 마다 나타내었으며, 음속은 Eq.(1)의 Medwin의 공식[12]을 이용하였다.
Eq. (1)의 음속
는 수온
, 염분
, 수심
의 함수이다. 먼저 동중국해 A1 ~ A4 정점은 기온이 높은 여름철(8월)에 측정된 자료이므로 표층의 수온이 대부분 28 ~ 29℃ 로 높게 나타났다. 대개 10 m 이내에 혼합층이 약하게 발달되거나 거의 나타나지 않았으며 약 20 ~ 30 m 까지 수온이 5℃ 이상 감소하는 것을 볼 수 있다. 염분의 경우 A2, A4 정점 표층에서는 30 psu 이하의 저염분 현상이 나타난 반면 A1, A3 정점에서는 30 psu 이상의 염분이 관측되었다.
반면 적도 부근에 위치하고 있는 기니만은 동중국해에 비해 혼합층이 잘 발달되어 있는 것이 특징이다. 네 정점 모두 약 20 m 까지 혼합층이 발달되었으며 수심 약 80 m 까지 수온이 약 10℃ 가량 감소하고 있는 것을 알 수 있었다. 염분의 경우 B1, B4 정점에서는 30 psu 이하의 강한 저염분 현상이, B2 정점은 32 psu 이하의 저염분 현상이 나타난 반면 B3 정점에서는 32 psu 이상의 염분이 관측되었다. 기니만에서 측정된 자료들은 수심이 약 850 ~ 1300 m이지만, 저염분수는 주로 표층에 위치하면서 영향을 미치기 때문에 표층에서부터 수심 80 m까지 만의 자료를 그림에 나타내었다.
III. 분석 방법
3.1 수온-염분 기울기 분석
Fig. 2를 관찰하는 것으로 저염분수가 채널 형성에 미치는 영향을 분석하기는 쉽지 않다. 본 논문에서는 표층음파채널이 음속 기울기 변화에 의해 발생된다는 점에 착안하여 수온과 염분 각각의 기울기가 음속 기울기에 미치는 영향을 분석해보기로 한다.
음속의 수심에 따른 변화량을 Cz라고 하면 Eq.(1)을 이용해 다음과 같이 미분 형태로 나타낼 수 있으며 표층 채널이 형성되기 위해서 이 값은 0 보다 크거나 같은 값을 가져야 한다.
, (2)
여기서 Eq.(2)의 각 항들은 다음과 같다.
, (3)
, (4)
Eq.(3)에서 염분
항은 수온
에 비해 매우 작기 때문에 무시하거나 평균 표층 염분 값으로 대체하여 상수로 둘 수 있다. Eq.(5)의
와
는 각각 수온 변화량과 염분 변화량을 나타낸다. 음속채널이 형성되기 위한 최소 음속 변화량 Cz를 고려하기 위해 이를 0 으로 두고 수온 변화량에 대한 염분 변화량의 식으로 나타내면 다음과 같다.
, (6)
따라서 Eq.(6)은 주어진 수온 변화량
에 대한 음속채널이 형성되기 위해 요구되는 최소 염분 변화량
의 관계식이다. 즉, 어떠한 수심에서
와
가 주어진다면, Eq.(6)을 이용하여 채널 형성에 필요한 최소한의
의 값을 이론적으로 알 수 있다. 이와 같은 관계를 2차원 그래프로 표시할 수 있으며, 실측값과 함께 나타내면 특정 자료에서 표층음파채널 형성에 기여하는 수온과 염분의 영향을 파악할 수 있다. 이 때 Eq.(6)을 만족하는 수온에 따른 염분 변화량은 채널 형성에 대한 문턱선으로 간주할 수 있다.
3.2 채널두께, 저주파 컷오프, 임계각
두 해역에서 발생하는 표층음파채널의 음향학적 비교를 위해 채널두께, 저주파 컷오프, 음선 임계각을 계산하였다. 채널두께는 Fig. 2의 음속 수직분포를 통해 쉽게 확인 가능하다.
채널 내에서 음파가 최소한의 에너지 손실로 전달가능한 음파의 최대 파장
은 Eq.(7)을 이용해 구할 수 있다.[13]
, (7)
여기서
는 표층채널의 수심이고, 파장과 음속을 이용하여 저주파 컷오프를 계산할 수 있다.
또한 음선 임계각
은 해양의 표층이 잔잔하다고 가정할 때 표층 안에 존재하는 음원으로부터 발생된 음파가 채널의 경계면에서 채널 안쪽으로 굴절되는 음선 중에서 가장 큰 각도를 나타내며, 다음의 식으로 구할 수 있다.[19]
, (8)
Eq.(8)에서
는 채널 내에서 최대 음속을 갖는 채널 경계면에서의 음속,
는 최소 음속을 갖는 채널의 축(이 경우 표층)에서의 음속이다.
3.3 음파전달 모의실험
저염분수에 의해 형성된 표층음파채널에서 음파전달 양상을 분석하기 위해 음선 기반모델인 Bellhop[14]을 사용하여 음파전달 모의실험을 수행하였다. 약 50 km 이상 떨어진 두 정점 사이에서는 수온과 염분의 변화가 급격하게 변하지 않는다고 가정하였고, 두 정점 간의 거리는 1/10 이내인 3 km이고 거리독립환경으로 간주하였다. 사전 조사 결과 비교적 채널두께가 얇은 동중국해의 평균 채널두께는 약 6.5 m 로 나타나 음원의 위치를 수심 5 m로 두었다. 또한 두 해역 모두 저주파 컷오프 조건을 만족할 수 있도록 음원의 주파수를 5 kHz 로 두었다. 음선 경로 계산을 위해 음선 각도는 ± 10°, 개수는 30개로 두었으며 전달손실 계산을 위해 음선 각도는 ± 89°의 음선을 이용하였다. 사질 성분으로 구성된 해저면을 고려하여 음속은 1650 m/s, 밀도는 1900 kg/m3으로 두고 모델링을 수행하였다.[15,16]
IV. 분석 결과 및 토의
4.1 음파채널 형성에 미치는 저염분수의 영향
Table 1 상단에는 동중국해의 9개 정점에서 10년(2000 ~ 2009)의 자료를 이용해 저염분수와 음파채널 발생을 조사한 결과를 나타내었다. 총 90회 자료 중 45회의 자료에서 저염분 현상이 발생하였고 나머지 45회에서는 나타나지 않았다. 저염분수가 나타나지 않은 환경에서도 혼합층이 잘 발달하게 되는 경우는 채널이 발생할 수 있는데 이는 45회 중 27회 관측 되었다. 반면 저염분수가 발생한 상황에서 채널이 형성된 경우는 14회였으며 나머지 31회는 채널이 형성되지 않았다. 이러한 결과로 미루어 보아 동중국해에서는 표층음파 채널 형성에 있어서 저염분수의 영향이 직접적이라고 보기는 어렵다.
반면에 Table 1 하단에는 기니만에서의 3년(2006 ~ 2009) 동안 20개의 정점에서 측정된 자료를 바탕으로 정리한 저염분수와 표층음파채널 발생 현황이다. 이들 자료에서는 총 20회 자료 중 모든 경우에서 표층음파채널이 형성되었다. 20회 측정자료 중 95 % 이상인 18회의 자료에서 저염분수가 나타났으며, 저염분수가 발생하지 않은 경우는 2회로 나타났다. 이러한 결과를 Fig. 2와 연관 지어 볼 때 기니만에서는 대부분의 경우 혼합층이 잘 발달하여 저염분수의 출현 없이도 채널 발생이 용이하며, 그에 따라 저염분수로 인한 채널 발생이 효과적인 것으로 판단된다.
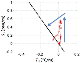
수온-염분 기울기 분석을 이용해 Fig. 2를 살펴본 결과는 Figs. 3과 4와 같다. 그림에서 x축은 수온 변화량
, y축은 염분 변화량
을 나타내며 그래프 상의 점들은 실측자료를 이용하여 수심 1 m 단위로 계산된 기울기를 나타낸 것이다. 화살표의 방향은 표층을 기준으로 수심이 깊어지는 방향을 향해 나타낸다.
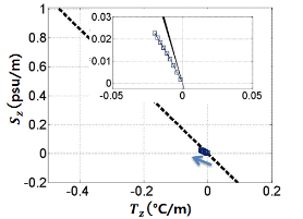
먼저 동중국해에서 저염분수가 발생하지 않은 경우 중 A1 정점에서는 수온과 염분의 변화량이 모두 거의 0에 가까웠다. 이 경우 수온 변화량에 대한 염분 변화량의 정도가 표층음파채널이 발생될 수 있는 최소 염분 변화량에 미치지 못해 채널이 발생하지 않은 것으로 해석할 수 있다[Fig. 3(a)]. 마찬가지로 저염분수가 발생하지 않았던 A3 정점에서는 염분 변화량이 거의 0에 가까워 표층음파채널이 형성될 수 있는 최소 염분 변화량에 훨씬 미치지 못하는 것을 볼 수 있다[Fig. 3(c)].
A4 정점에서는 수온 변화량이 약 –0.01 ℃/m 으로 상대적으로 적은 반면 염분변화량이 약 0.2 psu/m로 다른 경우에 비해 높아 표층음파채널을 형성하기에 알맞은 조건이었음을 확인할 수 있다[Fig. 3(d)].
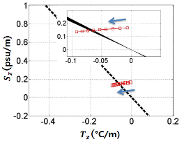
반면 저염분수가 발생했던 A2 정점에서는 염분변화량이 0.1 psu/m까지 증가하였으나 표층음파채널이 형성되기 위한 수치에는 미치지 못했다[Fig. 3(b)]. Table 1에서 저염분수가 발생했지만 표층음파채널이 형성되지 않았던 많은 경우가 이 경우에 속한다고 볼 수 있다. 이러한 결과로 미루어보아 동중국해에서의 표층음파채널 형성은 저염분수 환경 하에서도 염분 수직분포의 기울기와 수온 수직분포의 기울기의 영향이 복합적으로 작용하는 매우 복잡한 양상을 나타낸다고 볼 수 있다.
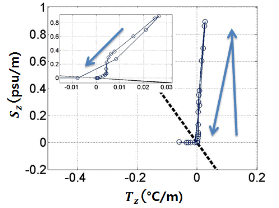
기니만의 강한 저염분 현상이 발생한 B1 정점에서 표층에서부터 수온의 변화량은 0으로 나타났으며, 염분의 변화량은 최대 1 psu/m 로 크게 나타나 수심 19 m 이내에서 염분에 의한 표층음파채널을 형성하기에 알맞은 조건임을 확인할 수 있다[Fig. 4(a)].
마찬가지로 B4 정점에서는 표층에서 수온의 변화가 거의 없었고, 수심이 점점 깊어질수록 염분의 변화량만 증가하여 염분에 의한 표층음파채널이 형성됨을 알 수 있었다. Fig. 2(b) 수온 수직분포에서도 약 30 m 미만까지 수온이 일정한 혼합층이 생성됨을 확인할 수 있고, 음속 수직분포에서도 수심 30 m 부터 음속의 변화가 커지는 것을 볼 수 있어, 다른 정점에 비하여 혼합층이 두꺼운 것을 알 수 있었다[Fig. 4(d)].
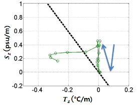
약한 저염분 현상이 발생한 B2 정점에서는 최대 염분 변화량이 약 0.5 psu/m 이고, 수온의 변화량은 수심 18 m 지점까지는 –0.1 ℃/m 미만으로 나타났다. B2 정점은 표층 염분이 B1, B4 정점에 비해 상대적으로 약하게 나타났으나 표층에서 수온의 변화가 적은 기니만의 특성으로 인하여 염분에 의한 표층음파채널이 형성됨을 확인하였다[Fig. 4(b)].
반면에 B3 정점의 수온의 변화량은 + 0.02 ℃/m 으로 오히려 표층보다 수심 20 m 에서 수온이 높게 나타났으며 염분의 변화량은 최대 0.2 psu/m 로 적게 나타났다. 이 경우 깊이에 따른 수온, 염분의 변화가 크지 않지만, 수온의 변화는 상대적으로 작아 표층에서 염분과 수압에 의한 표층음파채널이 발생한 것을 확인하였다[Fig. 4(c)].
이러한 결과들로 유추해 볼 때, 혼합층이 잘 발달하는 기니만은 수온 수직분포의 기울기가 작을 뿐만 아니라 저염분수에 의해 염분 수직분포의 기울기가 커 표층채널 발생에 유리한 조건임을 알 수 있다.
4.2 채널의 음향 특성
III장에서 설명한 방법을 이용하여 저염분수 환경에서 발생된 표층음파채널의 음향 특성을 분석한 결과를 정리하여 Table 2에 나타내었다. A1 ~ A3, B3 정점은 저염분수 환경이 아니기 때문에 표에서 제외를 시켰고, 그 외의 정점에서 표층음파채널이 발생 할 때 음선 임계각, 채널두께, 저주파 컷오프, 평균 전달손실을 계산하여 나타내었다.
채널두께를 살펴보면 동중국해의 A4 정점이 6.5 m, 기니만의 세 정점에서 19.0 ~ 24.0 m로 나타나 기니만에서는 약 세 배 정도 두꺼운 표층음파채널이 형성되었음을 확인할 수 있다. 음선 임계각의 경우 동중국해의 A4 정점에서 1.5°로 기니만의 세 정점이 약 4.0 ~ 5.4°인 것에 비해 낮은 수치를 보였다. Fig. 5 좌측의 음선 추적 결과에서도 확인 할 수 있듯이 기니만보다 많은 음선이 채널 안에 갇혀 전달된다. 저주파 컷오프는 동중국해 A4 정점에서는 3.3 kHz, 기니만의 세 정점이 0.4 ~ 0.7 kHz 에 비해 주파수 성분이 높게 나타났다.
음선 임계각과 저주파 컷오프로 미루어 볼 때 기니만에서 저염분수로 인해 형성된 음파 채널이 동중국해에서 형성되는 음파 채널보다 효율적으로 음파를 전달시킬 수 있음을 미루어 알 수 있다. 이는 음파전달 모의실험을 통한 전달손실 비교를 통해서도 확인할 수 있다. Fig. 5의 우측에는 각 정점에서의 전달손실 결과를 나타낸 그림이다. Fig. 5의 결과를 바탕으로 채널 내부와 외부의 경우에 대해 각각 Table 2에 정리하였다.
먼저 동중국해 A4 정점의 경우 음원으로부터 2.5 ~ 3.0 km 떨어진 곳에서의 평균 전달손실은 채널 내부와 수온약층 하단부인 30 ~ 40 m에서 11.5 dB의 차이를 보였다. 반면에 기니만에서 저염분수가 발생했던 세 정점의 경우 음원으로부터 2.5 ~ 3.0 km 떨어진 곳에서의 평균 전달손실은 채널 내부와 수온약층 하단부인 60 ~ 80 m 에서 21.5 ~ 27.9 dB 차이를 보였다.
동중국해는 비교적 수심이 얕은 천해이기 때문에 표층음파채널을 통해 전달되는 음파와 해저면 반사파가 복합적으로 작용하므로 기니만에 비해 채널 내의 전달 손실이 작게 나타났지만, 채널 외부와의 전달손실 차이를 비교해보면 기니만이 동중국해에 비해 약 10 dB 이상 큰 것으로 나타나 전달 효율이 상대적으로 높은 것을 확인할 수 있다.
V. 결 론
우기의 동중국해 해역과 기니만 해역의 수온, 염분 자료를 이용하여 표층음파채널 형성에 미치는 저염분수의 영향과 저염분수로 인해 형성된 채널의 음향 특성을 분석 하였다.
수온-염분 기울기와 채널 형성 관계를 도식화 하여 분석해 본 결과 양쯔강 담수로 인해 발생되어 동중국해에 나타나는 저염분수는 염분 수직분포 기울기를 증가시켜 표층채널 발생에 영향을 줄 수 있지만, 여름철 높은 표층수온으로 인해 수온 수직분포의 기울기가 크므로 표층 채널 형성되기 어렵다는 점을 확인하였다. 이러한 사실은 30년간 동중국해의 저염분수와 표층채널 발생 현황을 조사한 결과[9]를 통해서도 확인할 수 있었다. 반면 혼합층이 잘 발달되어 표층의 수온 수직분포 기울기가 양쯔강에 비해 상대적으로 작은 기니만에서는 염분 수직분포 기울기가 표층채널 형성에 주는 영향이 우세하므로 저염분수가 발생할 때 표층음파채널이 형성되기 쉽다. 이는 저염분수 발생에 따른 표층음파채널 형성의 빈도 수 뿐만 아니라 음원이 표층에 있는 경우에 채널 내 음파 전달 효율을 높이는 데에도 영향을 주게 된다. 기니만에서 발생되는 표층음파채널은 두껍고 음선 임계각이 크며 저주파 컷오프가 낮아 더 많은 에너지가 채널 안에 갇혀 전달 될 수 있으며, 3 km 이내의 근거리에서 수온약층 하단부와 채널 내부의 전달손실 차이가 동중국해에 비해 크다.
그러나 저염분수 발생 또는 표층음파채널 형성으로 인한 음파전달 변화 현상은 본 논문에서 제시한 결과로 설명하기에 다소 미흡한 점이 있으며, 이를 위해 보다 다양한 연구방법으로 분석해야 할 필요가 있다. 이를 위해 거리 종속 환경에서 저염분수의 영향분석 및 실 해역 음향 실험 등을 계획하고 있다.
본 논문을 통해 밝혀진 사실들은 동중국해와 기니만 뿐만 아니라 큰 강의 하구나 강수량이 많은 해역에서 저염분수로 인한 음파전달 변화를 이해하기 위한 자료 또는 선저에 부착된 소나의 운용을 위한 기초 자료로 활용될 수 있을 것으로 판단된다.









,
,















