I. 서 론
II. 관련 연구
2.1 수중 환경 신호 모델
2.2 ML-WPD
III. 제안한 방법
3.1 LP 분석 기반 특징
3.2 LP 분석 기반 특징 및 CFAR
IV. 실험 결과 및 분석
4.1 실험 환경
4.2 성능 평가
V. 결 론
I. 서 론
딱총새우(Snapping Shrimp, SS)는 위도 ±40° 이내에서 서식하는 해양생물로, 북극과 남극을 제외한 따뜻한 해안 지역의 천해에서 서식한다.[1,2,3] 이 생물은 다양한 종이 있지만, 대부분 짧은 시간(1 ms 미만) 동안 높은 진폭의 신호를 생성하며 최대 음량은 189 dB로,[4] 총 소리보다 큰 소리를 발생시킨다.
딱총새우 잡음(Snapping Shrimp Noise, SSN)은 low probability of detection,[5] 지진파 연구,[6] 수중 통신,[7] 그리고 표적 검출[8]과 같은 다양한 수중 음향 분야에 중요한 영향을 미친다. 특히, 수중 통신 분야에서는 SSN으로 인해 직교 주파수 분할 다중 방식 시스템의 비트 오류율 성능이 크게 저하된다.[7] 마찬가지로 지진파 연구[6]와 표적 검출[8] 같은 분야에서도 잡음이 미치는 영향은 중요한 연구 분야이며, 그 중에서도 SSN은 매우 빈번하게 발생하기 때문에 수중 음향 분야에서 주된 성능 하락의 요소로 중 하나로 작용한다. 그러므로, SSN의 영향을 줄이기 위해서는 정확한 SSN 구간을 검출하는 것이 중요하다.
수중 환경에서는 SSN을 줄이고 성능 하락을 방지하기 위한 연구가 지속적으로 이루어져왔다.[9,10,11,12,13] Tsihrintzis와 Nikias[9]는 통계적 방법을 사용하여 SSN을 포함한 주변 잡음 및 대상 신호의 분포를 수학적으로 정의하는 방법을 제안하였다. 목표 신호는 가우시안 분포로 모델링하였고, SSN은 대칭 알파 안정분포 및 국소 최적 검출기를 사용하여 감지하였다.[10] 하지만, 이 알고리즘은 SSN의 확률 밀도 함수를 계산하지 않고 대칭 알파 안정분포로 가정하는 한계점이 있고, 이러한 가정으로 인해 SSN 감지 성능이 하락한다. 이후, Guimaraes et al.[11]은 unconstrained scalarized bi-criterion convex optimization을 사용하는 SSN 검출에 대한 방법을 제안하였다. 이 접근 방식은 다양한 목적함수를 결합하여 스칼라형태의 함수로 표현되는 여러 제약 조건을 만족하면서 볼록 함수의 최소값을 찾는다. 그러나 이 방법은 높은 계산 비용을 필요로 하므로 실시간 처리가 불가능하다. 최근에는 SSN 잡음 검출의 State-Of-The-Art(SOTA) 방법으로 다층 웨이블릿 패킷 분해(Multilayer-Wavelet Packet Decomposition, ML-WPD)가 제안되었다.[13] ML-WPD는 첨도 기반 엔트로피(Kurtosis-based Entropy, KE)를 기준을 사용하여 SSN 감지에 최적인 웨이블릿 기저 및 부공간을 선정한다. KE는 SSN과 다른 신호를 구분할 때 사용되는데, 높은 KE 값은 부공간 내 특징 값의 피크값이 높아 특징의 변별력이 높음을 의미한다. 그렇기 때문에 분해 과정에서 KE 값이 높은 부공간을 탐색하여 SSN 검출 성능을 향상시킨다. SSN 구간은 일정 오경보 확률(Constant False Alarm Rate, CFAR)[14] 탐지기에서 추출된 특징과 생성된 적응 임계값을 비교하여 결정한다. 기본적으로, ML-WPD는 시간 및 주파수 영역에서 신호를 더 정확하게 분석하기 위해 앙상블 접근 방식을 사용하는 웨이블릿 패킷 분해(Wavelet Packet Decomposition, WPD)의 수정 버전에 해당한다. 그러나 반복적인 WPD 프로세스로 인한 계산 비용 증가를 고려하면, WPD에 비해 ML-WPD의 성능 개선은 크지 않다.
시간 영역에서 SSN은 신호가 빠르게 변하며 SS의 종이 다양하기 때문에 정확한 SSN 검출에 어려움을 준다. 이러한 문제를 해결하기 위해 본 논문에서는 선형 예측(Linear Prediction, LP) 분석에 기반한 SSN 검출 방법을 제안한다. LP 분석은 이전 프레임 값들의 선형 가중합으로 다음 샘플을 예측하는 기법이다.[15] SSN의 경우, 시간 영역에서 매우 빠르게 변화하는 특성으로 인해 LP 오류라 불리는 예측값과 실제 값 간의 큰 차이가 발생한다. 본 논문에서는 LP 오류를 사용하여 SSN 검출을 수행한다. 추가로, 제안하는 LP 분석 기반 특징에 셀 평균-CFAR(Cell Average- CFAR, CA-CFAR) 검출기를 적용하여 SSN 검출 성능을 더욱 향상시킨다.
II. 관련 연구
2.1 수중 환경 신호 모델
일반적으로, 신호 처리의 목적에 따라 관심 신호(Signal Of Interest, SOI)가 달라진다. 대잠전 상황 중, 수중 소나에서는 잠수함과 어뢰의 방사 잡음이 SOI이며, 능동 소나에서는 연속파와 선형 주파수 변조의 반사 에코가 SOI에 해당한다.[16,17] 또한 수중 통신에서는 OFDM이 SOI이다. 본 논문에서는, SSN이 SOI이며 주변 잡음을 포함하는 다른 신호는 잡음으로 간주한다. 이 관점에서, SSN 검출을 위한 신호 모델은 다음과 같다.
여기서 , , , , , , 그리고 은 샘플 인덱스, 콘볼루션 기호, 하이드로폰 입력, SSN 신호, SSN의 임펄스 응답, SOI, 그리고 잡음을 각각 의미한다. Eq. (1)을 기반으로 SSN 검출에 대한 가설을 두 가지 상태로 나타내면
와 같다. 여기서 은 신호 부재 구간을, 은 신호 구간을 나타낸다.
2.2 ML-WPD
기존에는 푸리에 변환을 사용하여 신호 분석을 수행해왔지만, 이러한 변환은 극단적으로 짧은 신호의 특징을 추출하기에는 적합하지 않다. 이러한 한계를 극복하기 위해, WPD는 신호를 부공간으로 분해하여 SSN의 특성을 더 잘 나타내었다.[18] 그러나 WPD로 분해된 부공간은 SSN 검출에 최적이 아닐 수도 있다. 이 문제를 보완하기 위해, Reference [13]에서는 최적화된 ML-WPD를 제안하였다. 제안된 ML-WPD는 두 단계로 구성된다. 먼저, WPD를 이용해 신호를 부공간으로 분해한다. 푸리에 변환에서의 시간 및 주파수 해상도 트레이드오프를 극복하기 위해 WPD는 사인 함수 대신 다양한 종류의 함수를 사용하여 시간-주파수 축을 불규칙하게 분해한다. 그렇기 때문에 WPD는 SSN의 특성을 더 잘 나타내는 부공간을 찾아낼 수 있다. 이 때, 분해된 부공간은 다음과 같이 표현된다.
여기서 는 부공간의 인덱스를, 는 부공간의 레벨을, 는 웨이블렛 기저함수를, 그리고 는 웨이블릿 영역에서의 이동 변수를 의미한다. 부공간 분해는 고역통과필터를 나타내는 웨이블릿 함수와 저역통과필터를 나타내는 스케일링 함수를 적용하여 반복적으로 수행된다. Fig. 1에서 볼 수 있듯이 대부분의 부공간은 SSN 구간 내에서 피크값를 보여주지만, 몇몇 경우에는 피크값이 작거나 없을 수도 있다. 일반적으로 WPD를 이용한 SSN 검출은 분해된 모든 부공간의 특징 값을 임계값과 비교하여 SSN을 감지한다. 이를 full-search 방법이라고 하며 구현하기 쉽다는 이점이 있다. 하지만 이 방법은 계산 복잡성이 높고, 부적합한 부공간으로 인한 검출 오류가 발생할 수 있다는 단점이 있다. 계산 비용 및 오류를 줄이기 위해 부공간 선택을 위한 추가적인 기준을 도입한다. 분해된 부공간은 첨도값과 엔트로피 개념을 결합한 KE를 기준으로 사용하여 분해된 부공간이 SSN 검출에 적합한지 다시 확인한다. KE는 다음과 같이 정의된다.
여기서 는 의 표준 편차를
를 나타낸다. 통계적으로 KE는 SSN 구간에서 큰 값을 보여준다. 따라서 하위 부공간의 KE가 상위 부공간의 KE보다 높을 때만 분해를 유지한다.

Fig. 1.
WPD feature samples for sym7 base: (a) j = 1, i = 0, (b) j = 1, i = 1, (c) j = 2, i = 0, (d) j = 2, i = 1. Dashed lines indicate SSN intervals. Among the lower subspaces (c) and (d), (d) showed peaks in all SSN intervals, but the upper subspaces (a), (b) did not. Therefore, in this case, a sub-space advantageous for SSN detection was obtained through decomposition.
WPD에서 웨이블릿 함수는 유한한 에너지와 평균이 0이라는 두 가지 조건만 충족하면 다양한 형태를 가질 수 있다. 주로 사용되는 웨이블릿 함수로는 Haar나 db 등이 있다. SSN 검출에 적합한 웨이블릿 함수를 결정하기 위해 SSN 구간의 신호와 웨이블릿 함수 간의 내적 값을 구하여 평균과 분산을 계산한다. 이 때, 두 개 이상의 웨이블릿 함수의 조합도 가능성이 있는지 확인한다. 실험 결과, sym7과 rbio3.9 웨이블릿 함수의 조합이 단일 웨이블릿 함수를 사용하는 것보다 SSN 검출을 위한 특징 추출에 효과적이었다.[13]
III. 제안한 방법
3.1 LP 분석 기반 특징
LP 분석은 신호 처리 분야에서 잘 알려진 기법으로 이전 샘플들의 선형 가중합으로 다음 샘플을 예측한다. 예측된 샘플들은 다음과 같이 나타낸다.
여기서 은 p차 선형 계수를 나타낸다. 다음으로 LP 잔차(LP Residual Signal, RES)는 아래와 같이 정의 된다.
주기적인 신호의 경우 RES는 일반적으로 0에 가깝지만, SSN의 경우 그렇지 않다. SSN의 돌발적인 특성 때문에 LP 분석을 통해 예측한 SSN의 값에 오류가 크게 발생한다. 따라서 SSN 구간에서는 RES가 클 것으로 예상할 수 있다. 본 논문에서는 이러한 특성을 활용하여 SSN 검출을 수행한다. Fig. 2를 살펴보면 SSN 구간에서 RES 값에 피크가 발생하는 것을 확인 할 수 있다.
3.2 LP 분석 기반 특징 및 CFAR
SSN 검출을 위해서는 적절한 임계값이 필요한데, 고정된 임계값은 쉽게 구현할 수 있지만 모든 경우에 최적의 성능을 보장할 수 없으며, True Positive Rate(TPR)와 False Positive Rate(FPR) 간의 트레이드오프를 유지하기 어렵다. 이를 위해 적응 임계값이 필요한데, 그중 대표적인 알고리즘으로 CFAR 알고리즘이 있다. CFAR는 셀 비교 방법에 따라 CA, Greatest- Of (GO), 그리고 Least-Of(LO) 등으로 나뉘며, 그 중 CA-CFAR가 보편적으로 우수한 성능을 보여준다. 본 연구에서는 LP 분석 기반 특징들에 CA-CFAR 알고리즘을 적용하여 SSN을 검출한다.
CA-CFAR 방법은 평가 중인 샘플을 기반으로 과거 및 미래 샘플의 평균값을 사용하여 임계값을 도출한다. CFAR에서는 샘플 대신 셀(cell)이라는 용어를 사용하며, 테스트 중인 샘플을 Cell Under Test(CUT)라고 하고 임계값을 도출하기 위해 사용되는 셀은 참조 셀이라고 한다. 평가하고자 하는 셀의 정보가 가능한 한 참조 셀에 반영되지 않도록 참조 셀 양 옆에 인접한 가드 셀이 계산 과정에서 제외된다. 최종적으로, CA-CFAR 알고리즘은 스케일 팩터 와 참조 셀로부터 적응 임계값을 도출한다. 임계값을 조정하는 데 사용되는 는 원하는 False Alarm Rate(FAR)를 기반으로 도출되며 다음과 같이 정의된다.[14]
여기서 은 참조 셀의 수를 는 원하는 FAR을 의미한다. 다음으로 참조 셀의 평균값을 다음과 같이 구한다.
여기서 은 m번째 참조 셀을 의미한다. 최종적으로 CA-CFAR의 임계값은 아래와 같이 구할 수 있다.
CA-CFAR 임계값과 제안한 특징들을 비교하여 최종 SNN 구간을 결정한다.
Fig. 3에 제안한 알고리즘의 전체과정 블록도를 삽입하였다. 제안한 LP 기반 특징 추출 과정과 CFAR를 결합한 일련의 과정을 RES-CFAR라 한다.
IV. 실험 결과 및 분석
4.1 실험 환경
제안한 SSN 검출 방법의 성능을 평가하기 위해, 실제 해양 환경에서 수집된 Shallow-water Acoustic Variability Experiment 2015(SAVEX 15)[19]를 사용하였다. SAVEX 15는 제주도 앞 30'N 126° 05'E - 32° 35'N 126° 12'E 지역에서 수집된 데이터로, 16개 하이드로폰으로 이루어진 Vertical Line Array(VLA)를 이용하여 100 kHz의 샘플링 주파수로 취득되었다. 하이드로폰은 깊이 23.5 m에서 79.75 m까지 균일한 간격인 3.75 m로 배치되었으며, 총 깊이는 약 100 m이다. Fig. 4에는 SAVEX 15 데이터베이스 수집 환경을 간략히 나타내었고, Fig. 5에는 100 ms 분량의 수집된 하이드로폰 입력 샘플을 삽입하였다. Fig. 5에서 볼 수 있듯이, SSN은 짧은 시간 동안 여러 번 발생하며, 저주파 대역에는 선박 소음이 함께 관측된다. 제안한 방법의 성능을 평가하기 위해, VLA의 두 번째 하이드로폰에서 녹음된 데이터 중 무작위로 100 s 분량의 데이터를 추출하였다.

Fig. 5.
(Color available online) A 100 ms hydrophone input sample: (a) time series, (b) spectrogram. The maximum value in (a) or the high energy regions (the red regions) in the vertical direction in (b) all correspond to SSNs. SSN intervals are indicated by dotted lines and colored parts. And high energy in the low-frequency range indicates ship noise.
4.2 성능 평가
본 논문에서는 SAVEX 15 데이터베이스를 사용하여, 제안한 방법과 ML-WPD, 그리고 추가로 밴드 스탑 필터(Band Stop Filter, BSF) 기반 방법[12]과 성능을 비교하기 위한 실험을 수행하였다. WPD에는 sim7과 rbio3.9 웨이블릿 함수를 사용하였으며, LP 분석을 위한 파라미터로는 20차 LP 계수가 사용되었다. 또한, LP 계수는 레빈슨-더빈 재귀 방법[20]을 사용하여 계산하였다. 본 논문에서는 SSN 검출 실험 결과를 수신자 조작 특성(Receiver Operating Characteristic, ROC) 곡선을 그려 나타내었다. 우선, 정해진 FAR에 대한 적응 임계값을 추정한 뒤 RES와 추정된 임계값을 비교하여, Eq. (11)과 같이 SSN 구간을 결정한다. 이후, 검출된 SSN 구간 정보와 레이블을 이용하여 TAR을 계산한다. FAR값을 0.01에서 1까지 0.01의 간격으로 총 100회 계산하여 FAR-TAR 쌍을 구하고, 이를 이용하여 ROC 곡선을 그린다. 이 때, SSN 구간 검출은 10 ms 간격으로 수행하며, 10 ms내에 특징 값이 임계값보다 큰 비율을 계산하여 SSN 구간을 결정한다. 이를 detection ratio라 명명하며, SS는 1 ms 정도의 짧은 시간 동안 소리를 발생시키므로, 기본 detection ratio는 0.1로 설정한다. 또한, SSN 레이블은 100 s 분량의 데이터를 직접 레이블링하여 사용하였으며, CA-CFAR에서 사용한 가드 셀과 참조 셀의 크기는 각각 3과 16을 사용하였다.
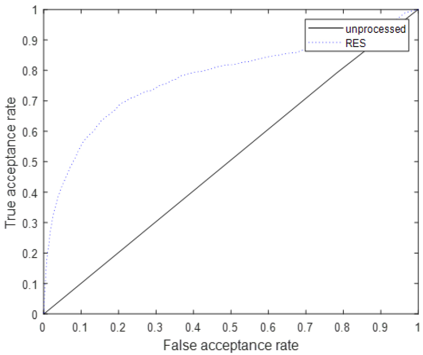
CA-CFAR 검출기를 적용하기 전, LP 분석 기반 특징에 대한 SSN 검출 성능을 고정 임계값을 사용하여 평가하였다. 비교를 위해 raw 입력 신호에 대한 결과도 함께 평가하였다. 그 결과, Fig. 6과 Table 1에서 확인할 수 있듯이, RES가 SSN 검출에 효과적임을 확인하였다. 다음으로 적응 임계값에 대한 RES 및 ML- WPD에 대한 Area Under Curve(AUC) 결과를 Fig. 7과 Table 1에 요약하였다. 앞서 설정한 detection ratio 0.1 이외에도 0.05, 0.15에 대한 결과를 추가로 정리하였다. RES-CFAR는 고정 임계값을 사용했을 때보다 AUC가 우수하였으며, 평균적으로 RES는 ML-WPD 보다 AUC가 0.12만큼 높았다. 최종적으로, 실험 결과로부터 제안한 방법이 ML-WPD보다 SSN 검출 성능이 우수함을 확인하였다.
Table 1.
AUC results with fixed threshold (TH) and adaptive thresholds. Optimal AUC results are highlighted in bold.
제안한 방법에서는 LP 계수를 레빈슨-더빈 재귀 방법을 이용하여 추정하며, 이 때 계산 복잡도는 으로 LP 계수 차수의 제곱에 비례한다. 본 실험에서 는 20으로 샘플 수인 에 비해 매우 작으므로 가 아닌 으로 볼 수 있다. 한편, ML- WPD는 계산 복잡도가 인 WPD 계산을 반복적으로 사용하기 때문에, 제안한 방법은 SSN 검출 SOTA인 ML-WPD에 비해 훨씬 계산 복잡도가 낮은 장점을 가지고 있다.
V. 결 론
본 논문에서는 LP 분석 기반 특징에 CFAR 검출기를 적용한 SSN 검출 방법을 제안하였다. LP 분석을 이용하여 이전 샘플의 선형 가중합으로 다음 샘플을 예측하였고, 이를 CFAR 검출기와 결합시켜 SSN 검출 성능을 향상시켰다. 제안한 방법은 SAVEX 15 데이터를 이용하여 SOTA인 ML-WPD와 성능을 비교하였다. 실험 결과, ROC 곡선 및 AUC 측면에서 제안한 방법이 ML-WPD보다 우수한 성능을 보여주었다. 평균적으로 AUC가 0.12만큼 높았고 계산 복잡도도 더 낮았다. 따라서, 제안한 LP 분석 기반의 특징 및 CFAR 검출기는 수중 음향 데이터에서 강인한 SSN 검출을 제공하여, 수중 통신 및 감지 응용 분야에서 SOI 품질을 개선하고 잡음을 감소시키는 데 효과적으로 사용될 수 있다.








