I. 서 론
II. 삼중 선 배열과 신호처리 기법
III. 삼중 선 배열의 상관관계 분석
3.1 삼중 센서의 세 청음기간 상관관계 분석
3.2 삼중 센서의 인접 센서와의 상관관계
3.3 시변 특성 변화 분석
3.4 예인 속도에 따른 상관관계 변화
IV. 결 론
I. 서 론
길이가 긴 배열을 통한 높은 배열 이득과 플랫폼으로부터의 이격을 통한 플랫폼 소음 영향 감소 효과를 얻기 위해 선 배열을 운용한다. 그러나 선 배열은 좌/우 대칭 방위에서 입사되는 신호의 경우 동일한 시간지연을 가지고 수신되어 좌/우 구분이 불가하다는 단점을 지닌다. 이를 극복하기 위해, 하나의 센서에 세 개의 청음기를 삼각으로 배치한 삼중 센서를 선형으로 나열하여 구성한 삼중 선 배열이 고안되었다. 이는 삼중 센서를 이용하여 카디오이드 형태의 지향빔을 좌/우로 각각 생성하여 대칭방위의 표적을 구분한다.[1,2]
삼중 선배열은 달성하고자 하는 목적에 따라 세 청음기에 적용하는 가중 변수를 조절하여 좌/우 분리 이득 최대화 또는 삼중 센서 이득 최대화 등 적응적으로 빔형성 기법의 설계가 가능하다.[3]
또한 부 배열로 생성한 두 반 빔간의 상관관계를 이용한 방위정확도 개선 및 능동표적의 길이, 자세각 추정과 같은 신호처리 기법도 삼중 선 배열에 적용이 가능하다.[4] 부 배열 기반의 기법은 높은 연산량과 긴 신호관측 시간을 요구하는 적응빔형성에도 적용이 가능하며, 배열을 여러 개의 부 배열로 나누어 처리함으로서 기존 기법 대비 낮아진 연산량과 단축된 관측시간으로 동등 수준의 성능을 갖는 기법의 설계가 가능하다.[5]
소나의 빔형성 기법 설계를 위한 성능 분석 시, 일반적으로 다수 센서로 수신되는 신호는 완전상관, 잡음은 비상관한 것으로 가정하고 있으나 실제로는 잡음 또한 다소간의 상관관계를 가지고 있으므로, 이론값보다 다소 낮아진 좌/우 구분 성능과 배열이득을 지니게 된다.[6] 따라서 잡음의 상관관계의 유무 또는 고저에 따라 실질적인 배열의 규모는 이론적 규모보다 커질 필요가 있으며, 실제 데이터를 분석하여 낮은 잡음 상관관계 확보가 가능한 배열/부 배열 규모에 대한 검증이 필요하다.
이처럼 삼중 선 배열의 실질적인 잡음 상관관계를 확인하기 위해, 동해에서 해상실험을 수행하여 획득한 데이터에 대해 세 청음기 간의 주파수 별 잡음 상관관계, 삼중 센서간의 상관관계, 잡음의 시변 특성 분석을 수행하였으며, 그 결과를 향후 배열의 규모 및 부 배열 기반의 빔형성 기법 설계에 활용하고자 한다.
II. 삼중 선 배열과 신호처리 기법
선 배열은 Fig. 1과 같이 각 센서로 수신되는 신호 방향으로 탐지빔을 지향시켜 지연합을 생성함으로서 지향방위의 표적 신호는 증가시키고, 비지향성의 잡음 신호는 감소시켜 표적을 탐지하며 그 식은 Eq.(1)과 같다.
, (1)
여기서 N은 전체 센서 수,
는 i번째 센서의 가중치,
는 i번째 센서 신호,
는 표본화 주파수,
는 i번째 센서의 위치 벡터,
는 빔 지향방위, c는 음속이다.
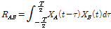
이 때, 배열 이득(Array Gain, AG)은 Eq.(2)와 같이 단일 센서의 SNR(Signal-to-Noise Ratio)에 대한 배열의 SNR로 정의 된다.[6]
(2)
여기서
는 배열의 평균신호파워,
는 배열의 평균잡음파워,
는 단일 센서의 평균신호파워,
는 단일 센서의 평균잡음파워,
는 i번 센서와 j번 센서 신호의 교차상관계수,
는 i번 센서와 j번 센서 잡음의 교차상관계수,
은 전체 센서 수이다.
신호가 시공간에 대해 완전한 상관관계를 갖고, 잡음은 상관관계가 없을 경우 배열 이득은 Eq.(3)과 같이 전체 센서 수
의 함수로 최대화되나, 잡음이 부분적 상관을 가질 경우는 Eq.(4)와 같이 잡음 상관관계 (
)에 의해 감소하게 된다.
(3)
(4)
따라서 잡음 상관관계 분석을 통해 설계된 배열의 이득이 잡음특성에 의해 얼마나 낮아질 것인지 분석을 수행하여 이를 보상할 수 있는 배열의 규모, 신호처리 기법의 설계 및 반영이 필요하다.
삼중 선 배열은 Fig. 2와 같이 세 개의 청음기가 삼각형으로 배치된 삼중 센서를 선형으로 나열한 형상을 갖는다. 각각의 삼중 센서를 이용하여 좌/우 구분이 가능한 카디오이드 형태의 지향빔을 만들고, 선형으로 배열된 삼중 센서들을 이용하여 수평 지향방위 빔을 생성하여 전 방위의 표적을 좌우 구분하여 탐지한다.
|
Fig. 2. Left/right discriminating beamforming of the triplet line array. |
|
Fig. 3. Signal processing with sub-array-half beamforming. |
부 배열 기반의 신호처리 기법 중, 반빔을 이용한 기법은 전체 배열 또는 부분 배열의 센서를 좌/우로 나누어 동일 방위를 지향하는 여러 두 반빔을 만들며 그 값은 Eqs.(5)와 (6)과 같이 좌빔과 우빔으로 각각 구해진다.
, (5)
. (6)
이들 반 빔의 상관관계를 이용하여 Fig. 3과 같이 수동탐지에서 전 빔 대비 향상된 방위 정확도로 표적을 탐지하거나, 능동탐지에서 표적 반향신호를 이용하여 표적의 길이/자세각을 추정하는 기법 등에 적용하고 있다.
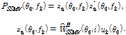
또한 Fig. 4와 같이 적응빔형성 기법에서는 전체를 여러 개의 부 배열로 나누어 연산을 수행한 후 각각의 결과를 합산함으로서 절감된 연산량과 짧은 관측시간으로 동등한 성능의 빔형성기를 구현할 수 있으며,[5] 예로서 전체 32개 센서를 9-5-11-7개의 비균등형 부 배열로 분할하여 연산을 수행하였다.
각 주파수 빈
에 대하여 축소된 규모의 각 부 배열 I가 갖는 센서 출력 벡터
를 이용하여 Eq.(7)과 같이 방위
에 해당하는 공분산 행렬을 추정하고, 이를 이용하여 Eq.(8)과 같이 i번째 부 배열의 가중치 벡터
를 추정하여 Eq.(9)의 적응빔출력을 생성한다. 여기서
는 전체 주파수 빈의 수,
는 i번째 부배열의 센서수이다.
, (7)
, (8)
(9)
축소된 부배열을 이용함으로서 전체 배열 기반 의 적응빔형성 기법 대비 약 1/4 수준의 낮은 연산량(배열 규모의 제곱에 비례)과 약 1/3의 관측시간(배열 규모에 비례)으로 동등 수준의 성능을 갖는 부 배열 기반 적응빔형성기법(Sub-array Steered Minimum Variance, SSMV)의 구현이 가능하다. 다만 이 경우에도 부 배열을 구성하는 센서의 수를 낮은 상관관계 확보가 가능한 수준 이상으로 설계하여야 한다.
III. 삼중 선 배열의 상관관계 분석
삼중 선 배열 수신 신호의 상관관계 분석을 위해 수심 1300~1500 m의 동해 해역에서 배열을 예인하며 데이터를 획득하였으며(Fig. 5), 당시 예인속도에 따른 배열의 심도는 Table 1과 같다.
|
Fig. 5. Experimental data acquisition (East Sea). |
|
Fig. 6. Sensor data monitoring during the sea trial. |
Fig. 6은 데이터 획득 중 삼중 센서의 정상동작에 대한 모니터링 결과와 시간에 따른 스펙트럼의 변화를 관측한 것으로, 일부 예인 함정의 토널은 관측되나 주변 해역에 타 함정 등의 간섭신호원은 없으므로, 삼중 선 배열의 잡음 상관관계를 분석하기에 적합한 것으로 판단된다. 세 축의 스펙트로그램과 평균 스펙트럼은 Fig. 7과 같이 유사한 특성을 보인다. x축은 설계주파수로 규준화된 주파수, y축은 시간(상단)/준위(하단)이다.
3.1 삼중 센서의 세 청음기간 상관관계 분석
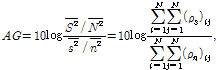
세 청음기에 대한 잡음 상관관계 분석을 위해 , 세 청음기 A, B, C간의 상관관계를 A/B, B/C, C/A 조합으로 구성하여 분석하였다. 분석 방법으로는 Eq.(10)과 같이 MSC(Magnitude Square Coherence)를 적용하였으며, B/C와 C/A에 대한 수식은 동일하므로 생략하였다.
. (10)
분석 결과 청음기 A/B, B/C, C/A간의 상관관계를 Fig. 8에 나타내었다. 상단 그림에서 x축은 주파수, y축은 센서채널번호이며, 전 채널에서 유사한 상관관계를 확인할 수 있다. 하단에서는 평균 상관관계를 나타내었으며, 주파수 증가에 따라 감소하는 패턴을 보인다.
설계 주파수의 0.2~1.2배의 관심주파수 전 대역에서 0.8 이상의 높은 상관관계를 보이는데, 이는 세 청음기간 간격이 설계주파수가 갖는 파장(λ)의 약 1/8로 매우 작은 점에서 기인한다.
3.2 삼중 센서의 인접 센서와의 상관관계
인접 센서와의 상관관계를 확인하기 위해 삼중 선 배열의 중심 센서(Ch 48)를 기준으로 좌우 센서들과의 상관관계를 분석하여 Fig. 9에 나타내었다.
|
Fig. 8. Correlations between hydrophones A-B, B-C and C-A. |
|
Fig. 9. Correlation among the adjacent sensors A, B and C. |
Fig. 9의 상단에서는 세 축 A-B-C에서 중심센서 48번 채널과 선형으로 나열된 다른 채널간의 상관관계를 0 (blue) ~ 1 (red)의 값으로 나타낸 것으로, x축은 주파수, y축은 센서 채널번호(1~96)를 의미하며 센서간 간격은 17~80번 채널은 설계주파수의 1/2 λ, 그 외 1~16, 81~96 채널은 λ이다. 주파수 및 센서 간격이 증가함에 따라 상관관계는 급격히 낮아짐을 확인할 수 있다. 하단 그림은 중심 센서와 인접한 세 센서, 채널 49, 50, 51과의 상관관계를 추출하여 나타낸 것으로 간격 1/2 λ로 인접한 49번 센서와의 상관관계는 설계주파수의 0.5배 이하 대역에서 0.9 ~ 0.4의 값을, 0.5 ~ 1.0배 대역에서는 0.4이하로 주파수 증가에 따라 급격히 감소한다. 간격 λ로 두 번째 인접한 50번 센서, 간격 3/2 λ로 세 번째 인접한 51번 센서 등 거리가 증가함에 따라 상관관계 Corr48-50, Corr48-51 또한 급격히 낮아짐을 볼 수 있다.
3.3 시변 특성 변화 분석
동일 센서에서의 시간 변화에 따른 자기 상관관계 분석을 통해 잡음의 시변 특성을 분석하여 Fig. 10에 나타내었다. 좌측 그림에서 x축은 주파수, y축은 자기 상관관계에서의 시간차이를 의미하며, 가운데 그림은 시간축에서 확대한 그림, 우측그림은 세 시간차 15, 30, 45 ms의 결과를 표본으로 추출하여 나타낸 것으로 시간 경과에 따라 각각 0.85, 0.5, 0.3으로 급격히 상관관계가 감소하였으며, 0.4 이상의 유의미한 상관관계는 30 ms 정도로 관측되었다. 상관관계가 유지되는 시간이 매우 짧으므로 그 시간차 이상의 데이터를 이용하여 적응빔형성, 광대역/협대역 탐지, 능동표적탐지 등의 신호처리를 수행하면 될 것으로 보인다.
3.4 예인 속도에 따른 상관관계 변화
예인속도에 따른 삼중 선 배열간 상관관계 변화를 분석하기에 앞서 6 kts /12 kts /16 kts 등 속도에 따른 스펙트럼의 변화를 확인하였으며, 그 결과 Fig. 11과 같이 함정의 배열 예인속도 증가에 따라 설계주파수의 0.2배 이하의 저주파 영역에서 센서에 유입되는 소음이 증가함을 확인할 수 있었다.
Fig. 12에선 세 청음기중에서 A축과 B축 센서간의 상관관계를 분석하였다. 좌측으로부터 각각 6 kts, 12 kts, 16 kts에서의 A-B축간 상관관계로 0.5~1의 범위로 나타내었다. 함속이 12 kts로 증가됨에 따라 저주파 대역에서의 상관관계가, 16 kts에서는 전 대역에서의 상관관계가 낮아짐을 확인할 수 있으며, 그 결과 잡음 상관관계에 가려져 있던, 설계주파수의 0.2, 0.3배 등의 주파수에서 삼중선배열을 예인하는 시험선에서 발생한 높은 상관관계를 갖는 방향성 소음을 확인할 수 있었다
선배열의 인접 센서간 상관관계(Corr48-50, Corr48-51) 또한 Fig. 13과 같이 12 kts 이상에서는 저주파 대역에서의 상관관계가, 16 kts에서는 전 대역에서의 상관관계가 낮아짐을 확인할 수 있으며, 여기서도 시험선에서 발생한 높은 상관관계를 갖는 방향성 소음을 확인할 수 있다. 다만 예인속도에 따른 잡음의 시변특성은 Fig. 14와 같이 유사하게 나타나 함속과의 관계가 낮게 나타난다.
IV. 결 론
삼중 선 배열에서의 잡음 상관관계로 인한 배열 이득 감소에 대한 분석을 수행하기에 앞서, 해상실험을 수행하여 획득한 실 데이터를 분석하여 삼중 선 배열의 각 센서간 잡음 상관관계를 우선 확인하였다.
삼중 센서를 구성하는 세 청음기는 간격이 매우 좁아 높은 잡음 상관관계를 가지며, 선형으로 나열된 삼중 센서는 거리 증가에 따라 잡음 상관관계가 급격히 낮아짐을 확인할 수 있었으며, 이 정보를 활용하여 삼중센서에서의 최적빔형성 기법과 선배열의 최적빔형성 기법에 대한 연구에 적용할 계획이다. 또한 배열을 예인함에 따라 자기 잡음 상관관계가 유지되는 시간이 매우 짧음을 확인하였으며, 이를 적응빔형성 데이터 분석 구간, 광대역/협대역 탐지 변수 최적화 등의 신호처리 설계에 활용할 수 있을 것으로 기대된다. 또한 예인 속도가 증가함에 따라 센서간 잡음 상관관계가 급격히 감소함을 확인할 수 있었으며, 저속 예인에서 잡음 상관관계가 가장 높으므로, 이를 최악조건으로 설정하여 변수 최적화를 수행하면 될 것이다.
향후 이 분석 결과를 활용하여, 한국 해역의 잡음환경에서의 삼중선배열의 잡음 상관관계 분석을 통해 실질적인 배열 이득의 감소분을 정량적으로 분석하여, 그 결과를 향후 설계할 배열의 규모, 빔형성/신호처리 기법의 최적 파라미터 산출을 위한 사전 정보로 활용할 예정이다.

















