I. 서 론
II. 연구 방법
2.1 연구대상
2.2 연구도구
2.3 연구절차
2.4 자료분석
III. 연구 방법
3.1 청각장애아동의 정답률
3.2 청각장애아동의 오류 분석
IV. 논의 및 결론
I. 서 론
인간의 성도를 통해서 산출된 의미 있는 말소리를 포괄적으로 인식하고 이해하는 과정으로 끊임없이 변하고 연속적인 음향 신호를 범주적이고 불연속적인 언어 표상에 대응시키는 과정을 말지각이라고 한다.[1] 말지각 과정은 청자의 귀에 음향학적인 신호가 입력되는 말초 청각신경계로부터 중추청각신경계에 이르는 청각적인 요소 외에도 언어 및 인지적인 요소들이 역동적으로 관여한다. 이 때문에 말을 지각한다는 것은 일차적으로 말소리를 청각적으로 처리하고 언어적인 지식과 체계 속에서 선택적 주의집중, 작업기억능력 등 인지적인 능력을 이용하여 그 의미를 정확하게 이해해야 하는 작업이다.[2,3] 따라서 말지각이란 단순히 소리의 존재를 지각하는 능력이 아니라, 말을 청취한 청자가 어음의 강도, 고저, 시간 등의 기본적 속성을 지각하고 음색, 엑센트, 억양 등의 정보를 통합하여 말이 가진 언어적 정보 단위를 분해하여 해독하고 판단을 행하는 것이라고 정의할 수 있다.
이렇듯 복잡하고 고도의 인지과정을 수반하는 말지각능력은 인간의 언어능력이나 듣기능력에서 뿐만 아니라, 아동의 구어 발달에 있어 더 중요한 변수로 작용하며,[4] 언어, 인지능력 및 말능력 발달의 선행 조건으로도 중요한 의미를 가진다고 볼 수 있다.[5]
말지각능력은 크게 분절적 지각과 초분절적 지각 영역으로 구분할 수 있다. 분절적 지각은 단어와 문장을 쉽게 이해할 수 있도록 언어학적 의미를 갖는 음성 신호의 개별 음소인 자음과 모음에 대한 청자의 인코딩을 의미한다. 분절적 지각요소 중 음소는 말지각 과정에서 의미를 구분할 수 있는 최소 단위로 음소의 지각은 전체 의사소통의 이해와 유지에 영향을 미칠 수 있다. 그러므로 특정 음소의 오류에 대한 분석을 바탕으로 조음위치나 조음방법 등 개인별 오류의 패턴을 분석하고 이를 재활 과정에 적용할 수 있다면, 말지각능력을 개선할 수 있다는 장점이 있다.[6]
초분절적 지각은 화자의 정체성, 나이, 방언 및 감정 등과 같은 특정 속성을 쉽게 식별할 수 있도록 음성 신호의 억양, 강세 및 리듬에 대한 청자의 인코딩을 의미한다.[7] 한국어의 경우 비분절 요소인 운소에 따라 의미가 구분될 뿐만 아니라 음절수에 따라 발음의 소요시간이 비례하는 음절박자 언어이므로 말 산출 및 지각은 말소리의 분절적 요소뿐만 아니라 초분절적 요소들에 의해서도 영향을 받는다.[8]
발달과정에 있는 청각장애아동은 청력손실 정도에 상관없이 말지각능력에 부정적인 영향을 받을 수 있고, 그 결과 언어능력과 의사소통능력 및 학습능력의 저하뿐 아니라 사회적·감정적인 장애를 유발할 수 있다.[9] 청각장애아동의 말지각 특성을 살펴보면, 말소리의 고저, 억양, 길이 등을 나타내는 초분절적인 요소보다는 자음이나 모음과 같은 분절적인 요소에 더 어려움을 나타낸다.[10] 또한 소음상황에서 정상청력 아동보다 화자의 말을 이해하기가 더 어려우며, 청력손실의 정도가 심할수록 소음상황에서 의사소통하는데 더 많은 어려움을 겪는 것으로 나타났다.[11]
특히 청각장애아동의 말지각능력은 청력상태, 생활연령, 청각보조기기 시기와 지속적인 사용여부, 인지, 언어 능력 등 다양한 요인의 영향을 받기 때문에 청각장애아동의 교육 및 재활을 위해서는 아동의 말지각능력에 대한 발달정도와 그 특성을 정확하게 파악하는 것이 선행되어야 하고, 이를 기초로 아동의 능력과 수준에 적합한 청능 및 언어재활이 계획되어야 한다.[12,13] 물론 일반적으로 청력의 정도를 수치화해서 나타낸 순음청력검사의 청력도가 청각장애아동의 청력손실의 정도 및 다양한 정보를 간편하게 제공해 준다는 장점이 있지만, 각 개인의 일상생활 속에서의 언어 의사소통 상황과 수행력 수준에 대해서는 구체적인 정보를 제공해주지 못한다는 한계를 가지고 있기 때문에 말지각 검사에 대한 의의를 살펴볼 수 있다.
말지각 검사는 자극대상(아동, 성인), 자극단위(환경음, 음소, 단어, 문장), 자극수준(탐지, 변별, 확인, 이해), 반응양식(폐쇄형, 제한형, 개방형, 척도 등), 반응종류(가리키기, 말하기, 쓰기 등) 등의 다양한 요소에 따라 구성할 수 있다. 앞에서 언급한 바와 같이 청각장애아동의 경우 일반적으로 고주파수의 청력손실로 인해 비교적 고주파수에 분포하고 있는 파찰음이나 마찰음과 같은 자음 지각에 어려움을 많이 느끼고 있기 때문에 음소 중심의 말지각 검사 결과가 전체 말지각의 기초가 될 수 있으며,[14] 특히 자음지각에 대한 평가의 중요성이 크다고 할 수 있다.[14,15,16] 또한 음소 중심의 말지각 검사는 음소 및 음절 단위에서 모음과 자음의 인지능력을 평가하는 것으로 대상자의 언어능력의 영향을 받지 않고 말지각을 평가할 수 있는 장점이 있다.
음소 말지각 검사에서는 무·유의미의 단음절 단어를 사용해서 음소 지각능력을 평가하는데, 일반적으로 무의미 단음절단어보다는 일상생활에서 사용하는 의사소통을 대표하는 유의미 단음절 단어를 많이 사용한다. 반응양식으로는 어휘의 맥락적 이해와 단어의 유사성을 최소화하기 위하여 보기가 있는 조건인 폐쇄형으로 검사를 진행하는 것이 유리하다.[17]
외국의 경우 영어권에서 단음절 단어를 통한 자음지각 능력을 평가할 수 있는 표준화된 도구가 개발되어 널리 사용되고 있는데, Modified Rhyme Test(MRT)와 California Consonant Test(CCT) 검사가 대표적이다.[18] 이 두 검사 모두 유의미 단음절 단어를 보기가 제시되는 폐쇄형 상황에서 검사를 실시하여 단어 내 자음의 위치에 따른 특정 음소의 지각 능력을 확인할 수 있다.
국내에 개발된 음소 말지각 검사에는 말지각 발달 단계의 위계에 따른 전체적인 평가를 제시한 검사도구의 하위검사로 구성되어 있거나, 말소리를 듣고 이해하는 능력을 평가할 수 있는 단음절 말지각 검사 목록을 음소 말지각 검사로 사용하기도 한다. 그 종류에는 특수교육원 말지각발달검사(Korean National Institute for Special Education-Developmental Assessment of Speech Perception, KNISE-DASP)[19]의 하위검사인 자모음검사, Evaluation of Auditory Response to Speech (EARS)[20]의 한국어 버전인 아동용 청능 선별검사(Evaluation of auditory response to speech Korean version, EARS-K)[21]의 음소확인 검사가 있으며, 그 외에 한국표준 학령기용 및 학령전기용 단음절어표[Korean Standard Monosyllabic Word List for School aged Children (KS-MWL-S) and Preschoolers(KS-MWL-P)][22] 검사가 대표적이다. 그리고 비교적 최근에는 음소 지각능력을 세분화한 연구들도 진행되고 있는데, 위치별 특정 자음에 대한 지각능력을 평가할 수 있는 성인용 한국어자음지각검사(Korean Consonant Perception Test, KCPT)[23]와 학령기 아동용 음소지각검사(Phoneme Perception Test for School-Aged Children, 이하 PPT-S)가 있다.[24]
PPT-S는 학령기 아동의 음소지각 중 자음능력을 평가하기 위하여 개발되었다. 특히 이 검사는 결과타당도와 내용타당도의 검증 과정을 거쳤으며, 학령기 아동에게 적합한 단어의 친숙도, 회화체 내의 출현 음소 빈도수, 음소적 균형 및 초성과 종성에 나타나는 다양한 음소적 요소를 반영한 유의미 단음절 형태로 선천성 청각장애아동에서 주로 나타나는 고주파수성 청력손실로 인한 자음지각의 어려움을 평가하는데 유용한 정보를 제공해 줄 수 있다.
이에 본 연구에서는 PPT-S를 활용하여 청각장애아동 중 구어를 주로 사용하고 청각보조장치인 보청기 사용 혹은 인공와우 이식 아동을 대상으로 자음지각능력과 오류 특성을 살펴보고자 한다. 또한 PPT-S 결과와 KNISE-DASP의 하위검사인 단음절 단어인지검사와 상관성을 분석하여 청각장애아동에 대한 검사목록의 적합성을 확인하고, PPT-S의 표준화를 위한 기초자료로 사용하고자 한다.
II. 연구 방법
2.1 연구대상
현재 통합교육을 받고 있고 보청기나 인공와우를 착용하고 있는 학령기 아동 13명을 대상으로 PPT-S를 이용하여 검사를 진행하였으며, 검사 도중 집중력이 저하되어 검사 진행이 어려웠던 3명을 제외하고 10명(남아: 6명, 여아: 4명, 나이: 11 ± 3.97세)을 대상으로 연구결과를 도출하였다(IRB #: SH-IRB 2019- 26). 검사에 참여한 아동은 양이 보청기 착용 3명, 양이 인공와우 착용 7명 이었다. 부모 보고에 의하면, 대상자들은 평균 1세 무렵부터 보청기 혹은 인공와우를 통한 소리 듣기를 하고 있었고, 현재까지 꾸준한 언어재활을 받고 있으며, 보청기의 피팅이나 인공와우의 맵핑 수준은 음장검사 결과 상 전주파수에서 30 dB HL 정도에 이르는 양호한 상태였다.
2.2 연구도구
PPT-S는 최소대립쌍의 목표어와 보기어로 구성된 폐쇄형 검사로 동일한 목표어로 조음방법과 조음위치의 유사성을 반영한 보기어의 배치를 달리하여 쉬운형과 어려운형으로 구성되어 있다. 목표어와 보기어는 모두 유의미 단음절로 3지선다형의 자음+모음+자음 혹은 자음+모음의 단음절로 구성된 초성검사목록 50문항, 자음+모음+자음으로 구성된 종성검사목록 25문항이다.
PPT-S의 개발 과정은 총 3단계로 이루어져 1단계에서 목표어는 한국어의 조합 가능한 유의미 단음절 827개 중 우리나라 회화체의 음소빈도와 학령기 아동의 일상생활 말소리에 대한 음소출현빈도를 분석하고 이와 유사한 음소적 균형과 분포를 고려하여 선정하였다. 보기어는 목표어와 최소대립쌍으로 친숙도, 조음방법 및 위치를 달리하여 3개씩 제작한 후 난이도의 수준에 따라 쉬운형과 어려운형으로 각각 구성하여 4지선다형의 폐쇄형 초성검사문항 127개와 종성검사문항 94개를 제작하였다.[5,25] 2단계에서는 1단계에서 선정된 검사목록을 정상청력의 성인 및 초등학생을 대상으로 시행한 검사의 정답률 및 오류패턴을 분석한 결과로 관련 분야 전문가들의 내용타당도를 검증을 거쳐 초성검사문항 65개와 종성검사문항 48개로 1차 수정하였다. 마지막 3단계에서 최종적으로 1차 수정목록을 정상청력의 초등학생을 대상으로 시행한 결과타당도와 전문가 집단에 의한 내용타당도 검증단계를 거쳐 최종 50개의 초성검사문항과 25개의 종성검사문항을 쉬운형과 어려운형 2개씩 총 4개의 3지선다형 검사목록으로 개발하였다(Table 1).[24]
Table 1.
Examples of PPT-S lists.
국립특수교육원에서 개발한 KNISE-DASP는 만 3세부터 12세까지 아동에게 적용 가능한 도구로 말지각 발달 단계의 위계에 따라 개발되었으며, 청각장애아동들의 말지각 수준을 파악해서 청능훈련 계획이나 진전평가 및 교육계획을 구성할 때 적용할 수 있는 종합적인 도구이다.[19] 그 중 단어인지검사는 보기가 있는 폐쇄형 상황에서의 단음절 혹은 이음절 단어인지능력을 측정하기 위한 것으로 12개 검사 단어를 포함하는 두 개 목록으로 구성되어 있다.
2.3 연구절차
모든 검사는 배경소음 45 dBA 이하의 조용한 방에서 실시하였고, 청각 단서만 제시되는 조건에서 아동의 쾌적수준 즉, 편안하게 잘 들을 수 있는 보통 크기의 말소리 강도로 아동의 정면 1 m 앞에서 검사를 진행하였다.
PPT-S 검사의 경우 단음절 자극음은 남·여 화자를 통해 육성으로 목표어를 1회씩 불러주고 제시된 검사 문항에 정답을 체크하도록 하였으며, 목표어에 대한 학습효과를 줄이기 위하여 검사목록의 제시 순서는 무작위로 하였다. KNISE-DASP의 하위검사인 단음절 단어인지검사 검사는 12개 단어의 그림을 한 그림판으로 제시하여 검사를 실시하였다. 검사에 소요된 전체 시간은 쉬는 시간을 포함하여 약 40 min이었다.
2.4 자료분석
청각장애아동의 음소지각능력을 알아보기 위하여 검사 목록의 정답률(%)과 오답률(%)을 분석하였다. 정답률의 경우 PPT-S의 초성검사목록은 정답의 수를 전체 개수인 50으로 나눈 후 100을 곱한 백분율(%)로, 종성검사목록은 정답의 수를 전체 개수인 25로 나눈 후 100을 곱한 백분율로 구하였다. 오답률은 목표어 중 오답을 보인 음소의 수를 목록 내 해당 음소의 전체 출현수로 나누고 100을 곱한 백분율로 구하였다. 단어인지검사 단음절 검사도 정답의 수를 전체 개수인 12로 나눈 후 100을 곱한 백분율로 구하였다. 그리고 초성검사목록과 종성검사목록의 정답률과 오답률을 비교·분석하였다.
검사문항의 종류(초성 vs 종성), 검사문항의 난이도(쉬운형 vs 어려운 형) 및 화자(남성 vs 여성)에 따른 정답률의 차이를 독립표본 t 검정을 통하여 유의수준 0.05 미만에서 비교·분석하였다. 그 외 PPT-S와 단어인지검사 단음절 검사의 정답률을 피어슨상관분석을 통하여 두 검사 간의 상관성을 유의수준 0.01 미만에서 살펴보고자 하였으며, 자료 분석을 위하여 사용한 소프트웨어는 SPSS version 20.0(IBM Corp., Armonk, NY, USA)이다.
III. 연구 방법
3.1 청각장애아동의 정답률
PPT-S의 초성검사목록 50개, 종성검사목록 25개로 검사를 진행하였으며, 그 결과는 다음과 같다(Table 2). 초성검사목록의 쉬운형과 어려운형에 대한 평균 정답률은 각각 95.80 % ± 3.58 %와 89.20 % ± 9.25 %인 반면에 종성검사목록의 쉬운형과 어려운형의 평균 정답률은 각각 91.20 % ± 11.90 %와 80.80 % ± 17.97 %로 나타나 초성검사목록의 정답률에 비해 종성검사목록의 정답률이, 쉬운형의 정답률에 비해 어려운형의 정답률이 더 낮았다. 검사목록의 종류(초성 vs 종성)에 따른 정답률의 차이를 비교한 결과, 쉬운형(t = 1.17, p = 0.27)과 어려운형(t = 1.31, p = 0.21) 모두 유의미한 차이가 없었다. 검사 문항의 난이도(쉬운형 vs 어려운 형)에 따른 정답률의 차이를 비교한 결과, 초성검사목록(t = 2.10, p = 0.06)과 종성검사목록(t = 1.53, p = 0.14) 역시 없었다. 화자의 성별(남성 vs 여성)에 따른 차이를 비교한 결과(Table 3), 모든 조건에서 여성화자 보다 남성화자가 자극음을 제시했을 때 정답률이 모두 높게 나타났지만, 통계적으로 유의한 차이는 없었다.
Table 2.
Correct response rate (%) for the initial and final consonant tests of the PPT-S.
| Item | Mean ± SD | Min. | Max. | |
| Initial consonant test | Easy | 95.80 ± 3.58 | 90 | 100 |
| Hard | 89.20 ± 9.25 | 72 | 100 | |
| Final consonant test | Easy | 91.20 ± 11.9 | 64 | 100 |
| Hard | 80.80 ± 17.97 | 36 | 96 |
Table 3.
Comparison of correct response rate (%) for the initial and final consonant tests according to the speaker.
PPT-S와 KNISE-DASP의 단음절 단어인지검사의 상관관계를 분석한 결과, PPT-S의 종성검사목록의 쉬운형 및 어려운형과 KNISE-DASP의 단음절 단어인지검사의 상관계수가 각각 .79와 .81로 나타나 유의미한 상관관계를 나타내었다(p < 0.01)(Table 4).
Table 4.
Correlation analysis of PPT-S and the monosyllabic word test of KNISE-DASP.
| Monosyllabic Word | Initial item | Final item | ||||
| Easy | Hard | Easy | Hard | |||
| Monosyllabic Word | 1 | .58 | .34 | .79** | .81** | |
| Initial item | Easy | - | 1 | .79** | .83** | .53 |
| Hard | - | - | 1 | .66** | .48 | |
| Final item | Easy | - | - | - | 1 | .81** |
| Hard | - | - | - | - | 1 | |
3.2 청각장애아동의 오류 분석
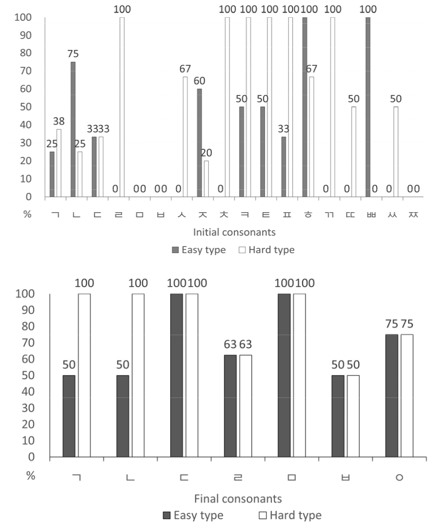
초성검사목록 쉬운형의 평균 오답률은 29.26 % ± 35.70 %, 어려운형의 평균 오답률은 52.73 % ± 40.13 %, 종성검사목록 쉬운형의 평균 오답률은 69.64 % ± 22.66 %, 어려운형의 평균 오답률은 83.93 % ± 21.30 %이었다. 초성검사목록의 쉬운형 중 목표어의 오류를 가장 많이 보인 자음은 ‘ㅎ’과 ‘ㅃ’으로 100 %의 오답률을 보였다. ‘ㄴ’의 오답률이 75 %, ‘ㅈ’의 오답률이 60 %, ‘ㅋ’과 ‘ㅌ’이 각각 50 %의 오답률로 나타났다. ‘ㄷ’과 ‘ㅍ’이 33 %였고, 나머지 자음은 오답률 0 %로 100 % 정답을 보였다. 초성검사목록의 어려운형 중 목표어의 오류를 가장 많이 보인 자음은 ‘ㅊ, ㅋ, ㅌ, ㅍ, ㄲ’으로 오답률이 100 % 이었고, ‘ㅅ, ㅎ’은 67 %의 오답률을 보였다. 다음으로 ‘ㄸ’과 ‘ㅆ’이 50 %, ‘ㄱ’이 38 %, ‘ㄷ’이 33 %, ‘ㄴ’이 25 %, ‘ㅈ’이 20 %, 나머지 자음은 0 % 오답률인 100 % 정답을 보였다(Fig. 1).
종성검사목록의 쉬운형은 모든 종성에서 정답률 100 %가 없었고, 목표어 자음 중 가장 많은 오류를 보인 자음은 ‘ㄷ’과 ‘ㅁ’으로 오답률 100 % 이었고, ‘ㅇ’은 75 %, ‘ㄹ’이 63 %, ‘ㄱ, ㄴ, ㅂ’은 50 % 오답률 이었다. 종성검사목록 어려운형 역시 정답률 100 %는 없었다. 목표 자음 중 가장 많은 오류를 보인 자음은 ‘ㄱ, ㄴ, ㄷ, ㅁ’은 모두 100 % 오답률, ‘ㅇ’은 75 % 오답률, ‘ㄹ’은 63 %, ‘ㅂ’은 50 % 오답률 이었다(Fig. 1).
IV. 논의 및 결론
최근 영유아 난청의 조기 발견과 조기 중재, 그리고 보청기나 인공와우와 같은 청각보조장치의 기술적 발전으로 청각장애아동의 정상적인 말·언어 습득 가능성이 더욱 증대되어 청능재활의 중요성과 요구가 높아지고 있다. 학령기 난청 아동의 효과적인 구어 의사소통을 위해서는 말지각 단계별로 말소리의 단위(음소, 단어, 구, 문장 등)에 따라 평가를 하는 것이 중요하다. 특히 자음과 모음으로 구성된 음소중심의 말지각 검사는 향후 청능재활에 있어서 분석적 접근법의 효과를 증대시키는데 중요한 기초자료를 제공해 줄 수 있다는 점에서 의의가 있다. 하지만 현재 임상에서 개발되어 있는 대부분의 단음절 단어 평가 목록은 음소 수준의 평가 보다는 단어 수준의 평가로 단어인지능력을 측정하기 위한 도구로 사용할 수 있어 음소 수준을 평가하기에는 한계점이 있다.[25] 이러한 필요에 따라 개발된 검사가 PPT-S로 학령기 정상청력아동을 대상으로 자음지각 특성 및 오류 경향을 분석하여 결과타당도를 검증하였고, 전문가 집단의 내용타당도도 확인한 바 있다.[24]
이에 본 연구에서는 보청기나 인공와우를 착용한 청각장애아동을 대상으로 PPT-S를 시행하여 자음지각능력과 오류를 분석하여 검사목록의 적합성을 확인해봄으로써 향후 PPT-S의 표준화의 기초자료를 제공하고자 하였으며, 그 결과는 다음과 같다.
첫째, 청각장애아동을 대상으로 PPT-S 검사의 정답률을 비교한 결과, 검사목록 종류 측면에서 살펴보면 종성검사목록의 정답률이 초성검사목록의 정답률에 비해 더 낮게 나타나 종성검사목록이 초성검사목록 보다 전반적으로 난이도가 높음을 알 수 있었다. 이러한 경향은 정상청력아동을 대상으로 연구한 Shin[24]의 결과와 감각신경성 청각장애인은 초성보다 종성 위치에 있는 자음변별에 어려움을 호소한다고 보고한 Erber[26]과 Ryu et al.[27]의 연구결과와 일치하였는데, 음향학적으로 초성보다는 종성에 오는 자음이 앞서오는 강한 에너지의 중성모음에 차폐되어 지각하는데 근본적인 어려움이 발생한 것으로 보는 견해가 있다.[28] 그러므로 PPT-S가 청각장애아동의 자음 특성을 잘 반영한 검사목록이라고 볼 수 있다.
검사 문항의 난이도 측면에서는 초성검사목록과 종성검사목록 모두 쉬운형에 비해서 어려운형의 정답률이 더 낮게 나타나 초·중성검사목록의 난이도 배치가 적절함을 알 수 있었다. 통계적으로 유의할 만한 수준이 아니었지만, 향후 학령기 아동의 연령별 대상자를 다양하게 하여 PPT-S의 표준화를 위한 기초자료로 사용할 수 있을 것이다.
화자의 성별에 따른 정답률은 모든 조건에서 정상청력아동을 대상으로 한 검사 결과와 마찬가지로 통계적으로 유의한 차이가 나타나지 않았기 때문에 육성으로 진행하는 검사에서 검사자의 성별이 영향을 미치지 않았음을 알 수 있었다. 다만, 남성 화자보다 여성 화자가 자극음을 제시했을 때 정답률이 모두 낮게 나타났는데 이런 결과는 여성의 기본주파수가 남성보다 높은 특성과 고주파수성 난청의 특성을 주로 나타내는 청각장애아동의 상황이 반영된 결과라고 해석할 수 있다. 또한 이번 연구에서는 녹음된 음원으로 검사를 진행하지 않았기 때문에 성별에 의한 차이 외에도 화자의 발음 특성이나 자극 제시 속도 등 개별 화자에 따른 요인들이 작용할 수 있음으로 추후 다양한 화자를 대상으로 한 비교 연구가 필요할 것으로 생각한다.
둘째, PPT-S 검사의 초성검사목록에 비해 종성검사목록에서 오답률이 높았고, 각 목록의 쉬운형에 비해 어려운형의 오답률이 높았다. 청각장애아동의 자음오류를 분석한 결과, 초성검사목록의 쉬운형과 어려운형에서 목표어의 음소 중 오답률이 비교적 높은 음소는 ‘ㅎ, ㅃ, ㅊ, ㄴ, ㅈ, ㅋ, ㅌ, ㅍ, ㄲ, ㅅ’으로 나타나 기식음이 모두 포함되는 경향을 보였다. 또한 오답률이 높은 초성자음을 조음위치에 따라 분류해 보면 연구개음, 성문음, 치조음, 양순음의 비중이 높았다. 이와 관련하여 정상청력의 초등학생들을 대상으로 PPT-S 검사를 실시한 Shin[24]의 연구에서는 연구개음, 양순음, 성문음, 치조음, 경구개음 순으로 오답률이 낮아졌으며, 이는 조음위치에 따른 자음지각 정확도의 순서를 연구한 Lee와 Lee[29]의 결과와 유사하였다. 자음의 조음방법적 측면에서는 청각장애가 있을 경우 마찰음과 파찰음 계열이 듣기 어려운 음소이고 이는 영어권에서도 동일하다고 하였으나, 본 연구 결과에서 자음의 방법 및 위치에 따른 청각장애아동의 특징적인 초성의 음소지각패턴을 찾기는 어려웠는데 연구 대상자의 수가 적고 청각장애아동이 착용하고 있는 청각보조기기 종류가 다른 점이 작용한 것으로 생각해 볼 수 있다.
종성검사목록에서는 정답률이 100 %인 아동은 없었고, 종성검사목록 쉬운형의 평균 오답률은 69.64 % ± 22.66 %, 어려운형의 평균 오답률은 83.93 % ± 21.30 %로 각각 초성검사목록의 쉬운형과 어려운형의 평균 오답률에 비해 높았다. 특히 글자와 발음이 다른 종성의 ‘ㄷ’ 음소와 ‘ㅁ’음소는 본 연구 결과 종성검사목록의 쉬운형과 어려운형 모두에서 오답률이 100 %였다. 이는 받침소리와 글자가 다르게 적혀있어 난이도가 높은 단어로 영향을 받았을 것으로 보인다.[24] 이와 같이 청각장애아동이 받침소리와 글자가 다른 목표어 지각이 어려운 이유가 초성 위치에서와는 다른 종성 자음의 발음이나 음운특성[30] 때문인지 혹은 청각장애인이 말소리를 지각할 때 자음만 지각하는 것이 아니라 모음과 결합된 음절을 듣게 되어 모음의 특성에 따라 자음지각에 영향을 받을 수 있기 때문인지[31] 추후 다양한 연구결과를 바탕으로 논의해 볼 문제라고 생각한다. 특히 추후 종성자음에 선행하는 중성모음에 따른 초성·종성지각능력에 대한 연구는 청각장애인의 자음지각 특성을 이해하는데 많은 도움이 될 수 있을 것으로 생각한다.
셋째, PPT-S와 KNISE-DASP의 단음절 단어인지검사의 상관관계를 분석한 결과, PPT-S의 종성검사목록(쉬운형과 어려운형)과 KNISE-DASP의 단음절 단어인지검사의 상관계수가 각각 .79와 .81로 나타나 유의미한 상관관계를 나타내었다. 물론 두 검사의 목적이 다르긴 하지만 유의미 단음절 단어를 사용해서 음소와 단어에 대한 지각을 평가하는 점에서 비교의 의의를 찾을 수 있을 것이다.
이상의 결과를 통해서 청각장애아동의 자음지각능력과 오류 특성을 살펴보았다. 본 연구 결과는 추후 PPT-S의 표준화를 위한 기초자료로 사용하고, 청능재활 전·후의 중재효과를 평가하기 위한 기초자료로 활용함으로써 보청기나 인공와우 조절 및 적합과정에 있어서 유용한 정보를 제공해줄 수 있을 것으로 생각한다. 다만, 본 연구에서는 연구대상인 청각장애아동의 수가 부족하여 이 결과를 일반화하기에는 무리가 있으므로 청력손실의 정도와 유형이 다양한 청각장애아동 집단을 대상으로 한 검사목록의 표준화 과정이 더 필요할 것으로 생각한다. 특히 본 연구에 참여한 대상자들은 양이 인공와우 혹은 보청기를 착용한 상태에서 음장검사 결과 상 청력이 전주파수에서 30 dB HL 이내이고 통합교육을 받는 아동들로 구어로 대화가 가능한 아동들이었다. 추후 각보조기기의 조건을 다양하게 한 청각장애아동의 자음지각능력에 대한 연구가 진행되기를 기대한다. 또한 청력손실의 주파수 특성과 PPT-S의 상관관계 및 검사·재검사 신뢰도 등의 분석을 통해 PPT-S의 유용성과 신뢰도를 더 향상시킬 필요가 있으며, 그 외 녹음된 음원 CD 개발이나 모바일 앱 프로그램 개발로 사용의 간편성을 증대시킬 수 있는 연구도 지속되어야 할 것이다.




