I. 서 론
미세 천공판(Micro-Perforated Plate, MPP)은 통상 구멍의 직경이 1 mm 이하인 미세한 구멍이 다수 뚫린 판을 말하는데 음파가 좁은 구멍을 통해 이동하면서 공기의 점탄성으로 인한 저항으로 음향파워가 손실되어 흡음효과가 발생한다.[1] MPP의 흡음 특성을 결정하는 가장 중요한 요소인 임피던스에 대해 Maa[2,3]가 간편한 식을 제안한 이후로 MPP의 흡음특성을 연구하는 많은 연구가 발표되었다. Maa[2,3]는 판의 진동은 고려하지 않았는데 MPP의 두께가 얇으면 판의 진동이 흡음에 영향을 준다. Lee와 Lee[4], Lee et al.[5]는 직육면체 박스 표면에 설치된 탄성 MPP의 흡음을 다루었는데 박스내의 음장을 모드로 전개하여 판의 진동과 음장의 연성을 고려한 흡음율을 구하였다. Bravo et al.[6]은 탄성 MPP와 박판이 중간에 공기층을 두고 배치된 판넬의 흡음과 차음을 해석하였다. Bravo et al.[7,8]은 원통형 단일 MPP[7] 및 다중 MPP[8]에서 탄성 효과를 고려한 흡음을 연구하였는데 References [6] ~ [8]은 판의 방사(radiation)에 의한 영향은 무시하였다. Kim et al.[1]은 탄성의 영향을 고려하여 직사각형 단면에 대해 단일 및 이중 MPP의 흡음을 예측하는 식을 제한하였는데 이들의 모델은 구멍이 있거나 없는 탄성 MPP 및 강체 MPP를 다룰수 있다.
MPP의 흡음율은 임피던스 튜브를 이용하여 측정하는데 많은 경우 이미 상용으로 나와있는 원통형 임피던스 튜브를 이용한다. Toyoda et al.[9] 은 원형 단면 MPP에 대해 Helmholz 공진과 판넬 진동의 영향을 다루었다.
본 논문은 직사각형 단면을 다룬 Reference [1]의 방법을 원형 단면에 대해 적용한 것으로 원형 단면을 다룬 기존 결과[7,9]와의 가장 큰 차이는 판의 방사효과도 포함한 엄밀해를 제안 하였으며 탄성의 효과와 기존 강체 MPP의 임피던스와의 관계가 명확하도록 흡음율 예측식을 제시하였다는 점에 있다. 본 해석결과를 유한요소법을 사용한 수치해석결과와 비교하여 정확성을 검증하였다.
II. 원통형 임피던스 튜브 내 미세천공 탄성판의 흡음해석
Fig. 1과 같이 튜브 중간에 고정된 단일 판에 음파가 입사하는 경우를 고려한다. 판과 오른 쪽 블록 사이의 간격은 q이며 튜브는 반경이 a인 원통으로 r은 반경방향, θ는 원주방향, z는 길이방향 좌표이다.
왼쪽에서 평면파 Aei (ωt - kz)가 입사할 때 임피던스 튜브 내부에 발생하는 압력은 튜브가 강체라고 하면 표면 r = a에서는 속도가 0이 되어야 한다. 판과 블록 사이의 캐비티에 발생하는 압력 pm은 원통형 좌표계의 파동방정식의 해를 구하면 되며 다음과 같이 주어진다.[10]
(1)
여기서 ω, k는 각속도, 파수(wavenumber), brs, crs는 미지수 계수이며 Jl은 Bessel 함수를 나타낸다. kz는 다음 관계식을 만족한다.
(2)
변수
는 r = a에서
, 또는
를 만족하는 값이며 l = 0와 l = 1에 대해 처음 3개의 근[11]을 Table 1에 나타냈다.
Eq. (1)에서 급수의 한계 값 Nr과 Ns는 Eq. (2)의 kz가 허수가 되지 않는 범위로 정해진다.
평판의 왼쪽에서는 반사파가 다음과 같이 주어진다.
(3)
미세 천공판의 평균속도를
, 판의 속도를 vp, 구멍 안에서의 평균 공기속도를 vf라고 하면 다음 관계가 성립한다.[12]
(4)
여기서 σ는 천공율(perforation ratio)로 구멍의 직경을 ϕ, 구멍 중심 간의 거리를 L이라고 하면 σ=πϕ2 / 4L2로 정의된다.
판의 진동과 임피던스와의 관계는 다음과 같이 주어진다.[12]
(5)
여기서 구멍의 임피던스 Z0 = Zresist + Zreact는 판의 평균 임피던스를 Z라고 하면 Z0 = Zσ로 주어진다. 구멍의 직경이 매우 작은 경우 임피던스 Z0는 다음과 같이 주어진다.[2,3]
(6)
여기서
Eq. (6)에서 h는 판의 두께, ρ는 공기의 밀도, η0는 공기의 점도(viscosity)로
로 주어진다. 위의 식에서 주의해야 할 점은 시간에 대한 항을 eiωt로 가정하면 Z0의 허수부분은 +i가 되며 e-iωt로 가정하면 Z0의 허수부분은 -i가 되어야 한다.
Eqs. (4)와 (5)로부터 다음 관계가 성립한다.
(7)
여기서 
경계조건은 판의 평균 속도를 이용하여 다음과 같이 주어진다.
(8)
(9)
Eqs. (1), (3), (8), (9)로부터 미지수 사이에 다음과 같은 관계가 주어진다.
(10)
(11)
임피던스 튜브에서는 평면파만 고려하는 데 직경이 100 mm 인 원통에서 평면파 조건을 만족하는 주파수 한계는 2π f /c = 1.8412/a에서 2010 Hz로 주어지지만 관심 주파수대역을 상용 임피던스 튜브의 평면파 권고치인 1600 Hz 이하로 한정하면 Eq. (2)에서 l = 0와 s = 1만 허용되고 kz = k가 된다. 이후 해석에서는 변수 중 b01, c01, d01만 고려한다.
판의 진동변위를
라고 하면 판의 속도는
로 주어지고 평판의 변위에 대한 지배방정식은 다음과 같이 된다.
(12)
단,
여기서
는 평판의 탄성계수, Poisson 비, 밀도이며 M은 판의 표면밀도를 나타낸다. Eq. (12)에서 2A는 블록 압력을 나타낸다. 판의 댐핑은 Eq. (12)에서 복소수 탄성계수 E(1+iη)를 사용하여 고려하였는데 손실계수 η는 0.01을 가정하였다.
단순지지 또는 클램프 지지된 원판의 축대칭 진동 모드는 다음과 같다.[13]
(13)
여기서 ϕm (r)은 Bessel function I0와 J0의 조합으로 이루어지는데 r = a에서 경계조건 ϕm = 0을 만족하도록 다음과 같이 주어진다.
(14)
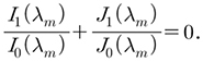
변수 λm은 경계조건에 따라 다음 식을 만족한다.
1) 단순지지:
(15)
2) 클램프지지:
(16)
Eqs. (15)와 (16)을 만족하는 λm을 처음 6개에 대해 Table 2에 나타냈다. 단, Poisson 비 ν는 단순지지의 경우에만 영향을 주고 클램프 지지에는 영향이 없다.
판의 고유진동수는 다음과 같이 주어진다.
(17)
Eq. (12)의 좌변 항은 다음과 같이 고유진동수와 고유모드의 형태로 표현할 수 있다.
(18)
Eq. (18)을 이용하여 Eq. (12)의 양 변에 ϕm΄(r)를 곱하고 단면에 대해 적분한 후 모드의 직교성을 이용하면 다음과 같은 식이 얻어진다.
(19)
여기서
(20)
(21)
Eqs. (20)과 (21)에서 적분 값 Tm과 Γm은 a에 무관하게 주어짐을 알 수 있다. Eqs. (8)과 (9)의 경계조건에 Eqs. (1)과 (3)을 대입하면 다음 식을 얻는다.
(22)
Eq. (22)의 양변을 원판 표면에 대해 적분하고 정리하면 다음과 같이 된다.
(23)
Eqs. (19)와 (22)에서 am을 소거하고 정리하면 다음과 같이 된다.
(24)
단,
(25)
Table 3에
을 수치적분을 수행하여 계산한 결과를 나타냈다.
Eqs. (10), (11)과 (24)에서 d01를 구하면 다음과 같이 주어진다.
(26)
단,
.
반사파는 다음과 같이 주어진다.
(27)
흡음률은 다음과 같이 주어진다.
(28)
Eq. (28)을 정리하면 다음과 같이 등가임피던스를 갖는 단일 표면의 흡음율로 표현할 수 있다.
(29)
여기서
(30)
III. 수치해석 예제
수치해석 예제로 지름 100 mm인 원통형 임피던스 튜브 내에 설치된 MPP를 고려하였는데 시편의 재질은 강판으로 탄성계수, 밀도, Poisson 비는 각각 E=2.1×1011 N/m2, ρp= 7800 kg/m3, ν=0.33이며 댐핑값은 η=0.01이다. 판의 두께 및 구멍의 직경은 각각 h= 0.3 mm, ϕ= 0.2 mm이며 구멍은 격자형태로 뚫려 있으며 캐비티 간격은 50 mm이다. Table 4에는 지름 100 mm, 두께 0.3 mm 강판의 고유진동수를 Eq. (17)을 사용하여 계산한 결과를 클램프지지와 단순지지인 경우에 대해 나타냈다.
Fig. 2에는 클램프지지되고 천공율 σ= 0.79 %인 MPP의 흡음율을 Eq. (28)의 예측과 Comsol[14] 프로그램을 이용한 FEM(Finite Element Method) 해석결과와 비교하였는데 흡음율은 잘 일치함을 알 수 있다. 또한 Fig. 2에서 흡음율은 판의 고유진동수에서 골 또는 피크를 보인다.
Fig. 3에는 천공율 σ= 0.79 %에서 클램프지지, 단순지지 및 강체인 경우에 대해 흡음율 예측결과를 비교하였는데 Table 4의 고유진동수에서 나타나는 골 또는 피크를 제외하고는 탄성의 효과는 나타나지 않고 강체지지와 거의 일치함을 알 수 있다.
Fig. 4에는 클램프지지의 경우 4가지 천공율(σ= 0.0 %, 0.05 %, 0.2 %, 0.79 %)에 대해 흡음율 예측결과를 비교하였는데 천공율이 작으면 탄성의 영향이 크게 나타나나, 0.79 %의 천공율에서는 Fig. 3에서 확인한 것처럼 골과 피크를 제외하고 강체인 경우와 거의 같음을 보여준다. Reference [1]에서는 직사각형 단일 및 이중 MPP의 흡음율에서도 같은 현상이 발생함을 보였다.











