I. 서 론
연속 송수신 소나는 긴 펄스 또는 펄스 시퀀스를 연속으로 송신하고, 수신된 신호를 짧은 시간 간격으로 처리하기 때문에 기존의 펄스 능동 소나에 비해 표적 탐지 주기가 짧아 표적을 발견하고 추적하는 데 유리한 기술이다.[1,2] 연속 송수신 소나는 정합처리를 하는 시간 길이보다 더 길게 펄스를 송신하기 때문에 시간 영역에서 인접한 송수신 신호 간의 간섭을 줄이는 것이 필수적이다. 이러한 간섭을 피하기 위해 주파수 도약 방식을 적용하는 연속 송수신 소나 시스템이 제안되었다.[3] 제안된 방법은 주파수 대역을 분할하여 인접 신호들이 서로 다른 대역을 사용하도록 함으로서 간섭을 피하는 방식이다. 이 방식은 분할된 대역의 수에 반비례하여 표적 탐지 주기를 줄일 수 있는 장점이 있지만 대역폭이 줄어드는 만큼 거리 분해능이 커지고 시간-주파수 곱이 줄어드는 단점이 있다. 이러한 단점을 극복하기 위해 펄스간 직교성을 유지하는 Generalized Sinusoidal Frequency Modulation(GSFM) 펄스를 이용한 연속 송수신 소나 기법이 제안되었다.[4] 제안된 방법은 가용 주파수 대역을 모두 사용하면서 GSFM 펄스를 연속으로 송수신하기 때문에 높은 거리-도플러 해상도를 얻는 동시에 시간-주파수 곱의 감소가 없다는 장점이 있다.[5] 그리고 Hague와 Buck[5]은 가속도를 갖는 표적에 대해 GSFM 펄스의 신호처리 길이를 단일 부펄스 길이보다는 길고, 펄스 시퀀스의 총 길이보다는 짧게 설정함으로서 안정적인 탐지 성능을 얻을 수 있음을 보여주었다. 그러나 표적의 가속도에 따라 신호처리 길이를 설정하는 방법에 대해 객관적인 지표나 정량적인 기준은 제시되지 않았다.
본 연구에서는 표적의 가속도에 따라 얻어지는 상관도를 기준으로 신호처리 길이를 설정하는 방법을 제안한다. 제안된 방법은 가속도를 갖는 표적으로부터의 반향음과 정합필터 뱅크에 포함된 레플리카의 상관도를 산출하고, 높은 상관도를 유지할 수 있는 길이로 정합처리 할 경우 안정적인 탐지 성능을 얻을 수 있음을 보인다.
본 논문의 구성은 다음과 같다. 서론에 이어 II장에서 Reference [5]에 기술된 기존의 GSFM 시퀀스 전송방법에 대해 설명한다. 그리고 III장에서 제안된 신호처리 길이 설정 방법에 대해 기술하고, IV장에서 결론을 맺는다.
II. 기존의 GSFM 시퀀스 전송 방법
2.1 GSFM 펄스 시퀀스
FM 파형의 하나인 GSFM 펄스는 기저대역에서 다음과 같이 시간에 대한 함수로 표현할 수 있다.
여기서 는 펄스의 길이이고, 는 위상 변조 함수이며 다음 수식으로 표현된다.[5]
여기서 는 변조 인덱스이고 는 대역폭이다. 는 주파수 변조 계수로 펄스의 순시 주파수의 반복 주기를 결정하고, 는 순시 주파수의 형태를 결정하는 파라미터로 1 이상의 값을 가지며 1일 때 위상 변조 함수가 시간-주파수 영역에서 대칭이 되게 하고 값이 클수록 비대칭이 되게 한다.
이러한 GSFM 펄스는 와 에 따라 특정 파형을 갖게 되며 시간-주파수 영역에서의 비대칭적인 특성으로 인해 압정 형태의 모호성 함수를 얻을 수 있다. 그리고 하나의 와 를 이용해서 서로 직교에 가까운 6개의 펄스를 만들 수 있는데 이는 시간과 주파수를 조정하여 얻어질 수 있다.[5]Fig. 1은 가 10, 가 2일 때 반송파 주파수 3 kHz, 대역폭 1 kHz, 펄스 길이 1초를 갖는 6개의 GSFM 펄스의 스펙트로그램을 나타낸 것이다. Fig. 1(a) 는 Eq. (2)를 위상 변조 함수로 갖는 기본 펄스이며 이를 시간 반전하여 얻은 펄스의 스펙트로그램이 Fig. 1(b)이다. Fig. 1(c)와 1(d)는 각각 기본 펄스를 주파수만 반전한 펄스와 시간과 주파수를 반전한 펄스의 스펙트로그램이며 Fig. 1(e)는 Eq. (1)에서 시간을 로 조정한 것이고, Fig. 1(f)는 Fig. 1(e)의 펄스를 주파수 반전한 것이다. 이와 같이 동일한 와 를 이용하여 6개의 부펄스로 이루어진 펄스 시퀀스를 만들 수 있으며 파라미터를 조정하여 추가적인 펄스 시퀀스를 생성하는 것이 가능하다. 개의 부펄스로 이루어진 GSFM 펄스 시퀀스는 다음과 같은 수식으로 표현할 수 있다.
여기서 는 부펄스 간 송신시간 간격을 의미하며 연속으로 송신할 경우 부펄스 길이 와 같은 값을 갖는다. 은 통과대역에서의 번째 부펄스이며 다음과 같이 표현할 수 있다.
여기서 는 사각함수이고, 는 번째 기저대역 부펄스이며 는 반송파 주파수다.
2.2 펄스 처리 간격에 따른 정합처리 결과
능동 소나에서 수신신호는 복조 과정을 거친 후 필터 뱅크의 레플리카들과 정합처리가 된다. Fig. 2는 능동 소나에서 수신 신호를 처리하는 과정을 나타낸 블록도이다. 수신된 신호는 먼저 믹서에서 반송파 주파수를 갖는 정현파에 곱해지고, 저역통과 필터를 거쳐 기저대역 신호로 얻어진다. 얻어진 신호는 다운샘플링 된 후 레플리카들과 정합처리 되어 출력되는데 이 출력으로부터 유효한 측정치를 추출하고 표적의 거리와 속도를 산출하게 된다. 연속 송수신 소나는 정합처리 과정에서 레플리카의 길이를 선택함으로서 정합필터의 출력을 조정할 수 있는데 이 길이는 Coherent Processing Interval(CPI)로 알려져 있다. CPI는 길수록 큰 시간-주파수 곱을 얻기 때문에 정합필터의 입력 신호대잡음비 Signal to Noise Ratio(SNR) 대비 출력 신호대잡음비의 비를 증가시켜 탐지 확률을 높일 수 있다. 그러나 레플리카들은 일반적으로 속도의 함수로서 만들어지기 때문에 가속도를 갖는 표적으로부터 반향되어 수신된 신호는 레플리카들과 부정합이 발생하며 CPI가 길수록 부정합이 증가하게 된다. 이론적으로는 레플리카를 속도와 가속도의 함수로 만들 수 있으나 연산량이 크게 증가하기 때문에 구현이 어렵다. 특히 GSFM 펄스의 정합필터 출력은 시간-도플러 영역에서 나타나는 주엽의 너비가 좁기 때문에 속도의 함수로서만 레플리카들을 구성하더라도 속도의 분해능을 조밀하게 해야하므로 많은 연산량을 필요로 한다.[6]
Fig. 3은 CPI 길이에 따른 정합 필터 뱅크의 출력을 나타낸 것이다. 펄스 시퀀스는 가 2이고 가 10인 6개의 부펄스와 가 20인 6개의 부펄스를 조합하여 이루어진 12개의 부펄스를 송수신하였으며 반송파 주파수는 3 kHz, 대역폭는 1 kHz, 펄스 길이 1초로 적용되었다. 이 신호 구성은 본 논문의 나머지 부분에서도 사용된다. 2 개의 표적이 존재하는 환경을 모의하였으며 첫 번째 표적은 거리 650 m에서 2 m/s의 속도이고 두 번째 표적은 거리 900 m에서 5 m/s의 속도와 0.01 m/s2의 가속도를 갖는다. 그리고 두 번째 표적의 반향음 세기는 첫 번째 표적보다 3 dB 낮게 설정하였다. 음속은 1500 m/s로 가정하였다. Fig. 3(a)는 12개의 부펄스에 상응하는 레플리카를 이용하여 정합처리한 것으로 첫 번째 표적은 구분이 되지만 두 번째 표적은 식별되지 않는다. 이는 두 번째 표적이 가속도를 갖기 때문에 수신신호와 레플리카의 부정합이 크게 발생하여 나타난 결과이다. Fig. 3(b)는 1 개의 부펄스로 레플리카를 구성하여 얻은 결과이다. 모든 부펄스를 사용했을 때와 비교하기 위해 표적의 이동을 고려하여 12개의 부펄스 중 첫 번째 부펄스를 레플리카로 사용하였다. 첫 번째 표적은 구분이 가능하나 두 번째 표적은 부펄스 간 상호 상관으로 발생하는 부엽들로 인해 구분하기가 어렵다. Fig. 3(c)는 4개의 부펄스에 해당하는 레플리카를 적용하여 얻은 결과이다. 첫 번째 표적은 쉽게 구분이 가능하며 앞의 두 결과와 다르게 두 번째 표적 또한 구분이 용이하다. Fig. 4는 정합필터 출력에서 첨두치를 찾은 후 문턱치를 적용했을 때 유효한 측정치로 검출되는 측정치의 개수를 나타낸 것이다. 첨두치는 ± 5.86 m의 거리와 ± 0.16 m/s의 속도 범위에서 최대 세기를 갖는 값으로 구하였다. CPI가 1초일 때 표적과 무관하나 유효한 것으로 추출된 측정치가 가장 많았으며 CPI가 4초일 때는 문턱치가 증가함에 따라 무관한 측정치가 급격히 감소하여 약 –11 dB의 문턱치에서부터 표적과 연관된 측정치 2 개만 추출되었다. CPI가 12초일 때는 –16 dB 이상의 문턱치에서 표적과 연관된 측정치가 1 개만 추출되었다. 따라서 CPI가 4초일 때 표적과 연관된 측정치는 모두 추출하는 동시에 표적과 무관한 측정치는 상대적으로 줄일 수 있음을 알 수 있다. Fig. 3의 결과는 Reference [5]의 모의실험 환경과 유사하게 구성하여 얻은 유사한 결과이며 적정 길이의 CPI를 적용할 때 부엽의 준위도 적절히 낮추면서 가속도를 갖는 표적도 탐지할 수 있음을 보인다. 그러나 적정한 CPI를 결정하는 객관적인 지표는 제시된 바 없으며 파라미터에 따른 GSFM 펄스 형태와 조합에 따라 적정 CPI는 달라질 수 있다. 또한 탐지하고자 하는 표적의 최대 가속도를 알고 있을 때 그 값에 따라 CPI 길이는 다르게 선택될 수 있다.
III. 제안된 CPI 설정 방법
본 장에서는 사용하려는 GSFM 펄스 시퀀스가 주어질 때 가속도에 따른 상관도를 구하고 상관도에 따라 CPI를 설정하는 방법을 제안한다. 앞 장에서 설명한 바와 같이 가속도를 갖는 표적으로부터의 반향음은 시간에 따라 도플러가 변하기 때문에 CPI를 길게 설정할수록 부정합이 커지게 된다. 이러한 부정합은 수신신호와 레플리카 사이의 상관도 감소로 이어지므로 정량적인 기준으로서 CPI 길이와 가속도에 따른 상관도를 확인할 필요가 있다. 개의 부펄스 길이에 해당하는 펄스 시퀀스가 의 가속도를 갖는 표적으로부터 반향되어 수신되는 신호를 벡터 로 표현할 때 상관도를 구하는 수식은 다음과 같이 쓸 수 있다.
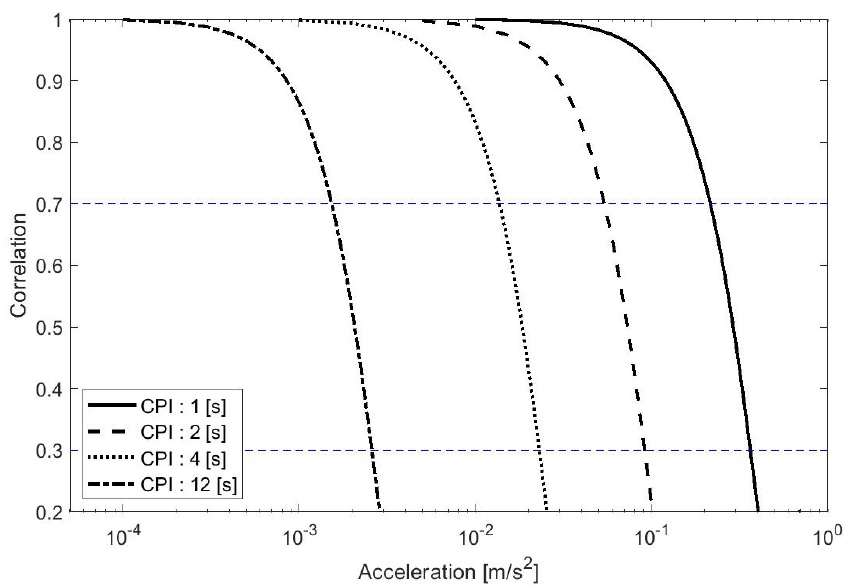
여기서 <, >는 두 벡터의 내적을 의미하고 *는 공액 복소를 나타낸다. Fig. 5는 2.2절에서 사용한 펄스 시퀀스의 가속도에 따른 상관도를 CPI 별로 나타낸 것이다. 가속도가 증가함에 따라 상관도가 감소하는 것을 확인할 수 있으며 CPI가 길수록 가속도에 취약하고 짧을수록 높은 가속도에서도 상관도가 높게 형성된다. CPI가 1 s일 때는 약 0.01 m/s2의 가속도에도 상관도가 유지되나 CPI가 12 s일 때는 약 0.0001 m/s2의 가속도부터 상관도가 감소하는 것을 확인할 수 있다. 상관도 0.3과 0.7을 기준으로 가로로 그은 파선은 상관도 크기를 구분하기 위해 표시해놓은 것이다. 일반적으로 신호처리에서 0.3 이하의 상관도는 낮은 상관성을 갖는 것으로 판단하고, 0.7 이상의 상관도는 상관성이 높다고 판단한다.[7]
이러한 상관도를 근거로 하여 CPI의 길이에 따라 높은 상관도가 유지될 수 있는 가속도를 역으로 산출할 수 있다. 본 논문에서는 높은 상관도를 0.8, 낮은 상관도를 0.2로 설정하여 그에 상응하는 가속도를 산출하였다. Fig. 6은 CPI에 따라 특정 상관도를 가지는 가속도를 나타낸 것이다. CPI가 길수록 상관도를 유지하기 위한 가속도가 작은 것을 확인할 수 있다. 만약 본 논문의 신호 구성을 사용하는 소나 시스템에서 탐지하려는 표적의 최대 가속도가 0.01 m/s2이라면 CPI는 4 s 이하로 적용하는 것이 적절할 것이며 이는 앞서 2.2절에서 보였던 정합필터 출력 결과와 부합하는 결과이다.
상관도를 기준으로 CPI를 적용하는 것이 타당한지 검증하기 위해 0.2와 0.8의 상관도를 갖게 하는 CPI별 가속도를 신호에 적용하고 모호성 함수를 산출하여 부엽 준위를 확인하였다.[8]Fig. 7은 CPI별 평균 부엽 준위와 부엽의 첨두치 준위를 나타낸 것이다. 먼저 평균 부엽 준위(파선)는 상관도가 0.2일 경우 –20 dB ~ –13 dB에 형성되고 상관도가 0.8일 경우 –33 dB ~ –25 dB에 형성된다. 상관도의 차이에 따라 평균 부엽 준위의 차이가 명확하게 발생하는 것을 알 수 있다. 다음으로 부엽의 첨두치 준위를 확인해보자. 부엽의 첨두치는 표적의 측정치로 오검출 될 수도 있고 인접 표적의 측정치를 마스킹 할 수도 있기 때문에 소나 신호처리에서 중요한 인자이다. 상관도가 0.2일 경우(실선 사각 도형) 부엽의 첨두치 준위는 –8 dB ~ 0 dB 정도에 형성되는데 배경 소음을 반영하지 않은 결과이기 때문에 이는 상당히 높은 준위 할 수 있다. 반면에 상관도가 0.8일 경우(실선 원 도형) 부엽의 첨두치 준위는 –12 dB 이하로 유지되는 것을 확인할 수 있다. 따라서 정리하면 CPI를 단일 부펄스 길이로 하거나 전체 부펄스 길이로 하더라도 높은 상관도를 유지할 수 있는 길이로 설정하면 표적 탐지에 적절하다고 할 수 있다.










