I. 서 론
수중으로 침투하는 표적을 탐지하기 위한 수단으로 소나 시스템이 이용되고 있다. 그중에서 다수 빔(multi-beam) 수동 소나는 다수 방위의 빔을 동시에 연산한 뒤 각 빔의 광대역 에너지 및 주파수 분석을 통하여 표적의 방위를 탐지한다. 특히 잠수함과 같은 저소음 표적은 광대역 에너지 탐지 확률이 낮기 때문에 주파수 분석을 통하여 토널 형태의 기계 소음을 주로 탐지한다.
운용자가 빔 별 주파수 분석을 통해 소음과 토널을 직접 식별하는 작업은 많은 시간이 소요되어 실시간 운용성을 저해시킨다. 이를 해결하기 위한 자동 토널 탐지 기법들이 있으나, 다수 표적으로 인한 간섭 소음이 존재 하는 실 해양 환경에서 탐지 성능이 낮아 여전히 운용자의 토널 식별 작업이 필요하다.
대표적인 탐지 기법으로 Neyman-Pearson 탐지기와 CFAR(Constant False Alarm Rate)탐지기가 있다. Neyman-Pearson 탐지기는 신호 및 소음의 확률 밀도 함수가 알려진 경우 이를 이용하여 오탐지 확률을 일정한 수준으로 유지하는 고정 탐지 문턱값을 산출하고, 이를 입력 신호와 비교하여 탐지 여부를 결정한다.[1] 하지만 수신 신호의 확률 밀도 함수는 알 수 없을 뿐만 아니라, 강우, 바람 등 자연 환경적 변화 및 주변 선박의 간섭신호 등으로 소음의 정상성이 유지되지 않기 때문에 오탐지 확률도 일정한 수준으로 유지 되지 않는다.
소음의 정상성이 유지되지 않고 통계적 분포를 알 수 없는 경우 소음 전력을 국부적으로 추정하고 탐지 문턱값을 가변적으로 산출하는 CFAR 탐지기가 유용하다.[2] 소음의 특성이 균질(homogeneous)인 경우 CA(Cell-Averaging)-CFAR가 최적의 성능을 내지만[3] 다수 표적 및 비균일 클러터(nonuniform clutter)환경에서 급격한 성능의 저하가 있다.[4] 이러한 환경에서 OS(Ordered-Statistic)-CFAR가 CA-CFAR에 비해 상대적으로 성능의 감쇠가 적다.[4] 하지만 토널의 신호대잡음비가 일정한 경우에도 주변 간섭 신호에 의해 탐지 여부가 변동되어 운용자의 최종 탐지 판단이 어렵다.
본 논문에서는 표적이 특정 탐지 빔 공간에 위치하는 동안 신호가 정상성을 유지하는 단기 정상성[5] 개념을 활용한 자동 토널 탐지 기법을 제안 하였으며, 제안 기법의 연산량 감축 기법을 추가 제안하였다. 제안 기법은 신호의 정상성이 유지 되는 시간 동안 단일 빔 신호에서 추정된 문턱값과 입력신호의 기댓값을 비교함으로써 신호에 가변적이면서도 다수 표적에 의한 간섭 소음에 강인한 장점이 있다. 제안 기법의 성능 평가를 위하여 모사 신호 및 실제 해양 신호를 사용하였으며, 실험 결과 제안 기법이 기존 CFAR기법에 비하여 성능이 우수함을 확인하였다.
II. CFAR탐지기
일반적으로 CFAR는 탐지 여부를 판단할 시험셀 (test cell) 주변 신호의 국부적인 소음전력
의 추정을 통하여 탐지 문턱값
를 다음과 같이 산출한다.
(1)
여기서
는 오탐지 확률
을 설정하기 위한 값이며,
는
번째 시험셀의 전력값이다. CA-CFAR의 경우
는
(2)
와 같이 창(window)에 해당하는 신호의 산술 평균으로 추정하고, OS-CFAR의 경우
는
(3)
와 같이 창에 해당하는 신호를 순서대로 배열한 후 m번째 값으로 추정한다. 여기서 N은 창의 크기이며, L은 시험셀과 창 사이의 이격(gap)셀의 개수이다.
Fig. 1은 수동소나에 적용한 CFAR탐지기의 구조이다. 입력 신호는 주파수 빈 별 빔 전력으로 다음과 같다.

(4)
여기서
은 빔 단위로 소음규준화[1]된 빔 신호이며, 신호의 정상성이 유지되는 동안 T개의 빔 출력이 존재한다.
탐지 여부를 판단할 k번째 빔 신호
는 CFAR탐지기의 시험 셀
가 되고, 이때 탐지 문턱값
는 Eq. (1)을 통하여 구할 수 있다. 탐지 여부를 결정하기 위하여 다음과 같이 시험 셀
의 값이 탐지 문턱값
보다 크면 신호가 존재한다고 가정하고,
보다 작으면 소음만 존재한다고 가정한다.
(5)
최종적으로 신호의 정상성이 유지되는 동안 신호 가정 확률
과 판단 문턱값
를 비교하여 탐지 여부
를 다음과 같이 결정한다.
(6)
III. 제안기법
수동 소나의 탐지 빔 공간을 지나가는 선박에 의한 소음은 빔 신호의 비정상성을 야기하기 때문에 기댓값 등의 통계적 특성을 사용하기 어렵다. 하지만 선박이 탐지 빔 공간에 위치하는 동안 빔 신호는 단기적으로 정상성을 유지한다고 가정할 수 있으며, 이 시간을 단기 정상성 지속시간(short term stationary duration)이라고 한다.[5] 단기 정상성 지속시간 동안 소음원을 표적 신호와 환경 소음으로 분류하면, 신호와 소음 사이에 상관관계가 없고 시간에 따라 변화하지 않으므로

(7)
과 같이 신호와 소음을 각각의 개별적 확률 밀도 함수의 합으로 나타낼 수 있으며, 이는 Fig. 2와 같은 확률 밀도 함수로 표현할 수 있다.
Fig. 2에서
은 소음만 존재하는 경우의 빔 신호의 평균값이고,
는 신호와 소음이 동시에 존재할 경우 빔 신호의 평균값이다. 단기 정상성 지속시간 동안 빔 신호의 기댓값을 통하여
과
의 추정이 가능하므로 적절한 문턱값이 산출된다면 효과적으로 신호와 소음 식별이 가능하다. 정상성을 가정한 기댓값의 비교 효과는 Fig. 2과 같이 신호 및 소음의 판단을 용이하게 함으로써 신호대잡음비가 낮은 토널 탐지에 효과적이다.
본 논문에서는 이러한 원리를 기반으로 수동 소나에서 빔 신호의 기댓값으로
과
을 추정하고, 그 값을 문턱치와 비교하는 EPC-NE(Expectation Power Comparison-Noise versus Envelop)기법을 제안하였다. 또한 EPC-NE연산량 감축을 위하여 EPCNS(Ex-pectation Power Comparison-Noise versus Standard devia-tion)기법 및 EPONM(Evaluating Probability Over Noise Mean)기법을 추가 제안하였다.
3.1 EPC-NE
EPC-NE기법은 소음 규준화된 빔 신호의 주파수 스펙트럼에서 포락선을 검출하여 예상 토널 성분을 추출하고 예상 토널 성분의 RMS(Root-Mean-Square)값을 문턱값으로 사용하는 방법이다. EPC-NE 기법은 CFAR와 달리 단일 빔 신호를 기반으로 소음을 추정하여 문턱치를 산출하므로 주변 소음의 간섭에 강인한 장점이 있다.
Fig. 3는 EPC-NE의 구조이다. 입력신호는 정상성이 유지되는 동안 출력되는 T개의 소음 규준화된 빔 전력으로 다음과 같다.
(8)
입력된 각 빔 신호를 힐버트 변환하여 포락선 신호를검출하고, 검출된 포락선 신호의 RMS계산을 통하여 T개의 문턱값
에 대한 기댓값 E[
]를 구할 수 있다. E[
]는 입력 신호의 각 주파수별 기댓값
와 비교하여 다음과 같이 최종 탐지 여부를 판단한다.

(9)
3.2 EPC-NS
EPC-NE기법은 문턱치 산출을 위하여 O(N logN)복잡도를 가지는 힐버트 변환[6]을 빔 개수만큼 수행해야 한다. EPC-NS기법은 EPC-NE기법의 연산량 감축을 위하여 소음 규준화된 빔 신호가 정규분포를 따른다고 가정하고 문턱치를 빔 신호의 표준편차로 대체한 기법이다.
연산량 감축 기법의 제안을 위하여 표적 신호는 분산
을 가지며, 환경 소음은 분산
를 가지는 정규분포라고 가정한다. 단기 정상성 지속시간 동안 표적의 협대역 토널 성분만을 신호로 가정하면 다음과 같이 표현할 수 있다.
(10)
(11)
이때 신호의 분산은 소음에 비해 상대적으로 매우 작으므로 다음과 같이 근사할 수 있다.
(12)
(13)
따라서 빔 신호의 표준편차를 소음의 표준 편차로 가정할 수 있으며, 소음의 표준편차보다 큰 값을 토널 신호로 판단한다. 이는 Fig. 3에서 ‘Hilbert Transform’ 및 ‘Tonal RMS’를 통하여 산출한 문턱값
를 빔 신호
의 표준편차로 대체하는 것과 같다.
3.3 EPONM
EPONM기법은 T개 빔 신호의 각 주파수 성분이 빔 신호의 평균값을 초과할 확률을 이용하여 탐지여부를 결정하는 기법으로 EPC-NS기법보다 연산량이 작다.
먼저 Eq. (8)과 같은 빔 신호
가 입력될 때 문턱치
를
의 평균값으로 산출한다. T개의 입력동안
가
를 초과한 확률
를 산출하여 특정 확률
보다 큰 경우 신호가 탐지 되었다고 판단한다. EPONM기법은 EPC-NS기법보다 연산량이 작고 구현이 간단하지만 적절한 확률
를 설정해야하는 단점이 있다.
IV. 실험 및 고찰
각 기법의 성능 평가를 위해 단일 표적 및 다수 표적이 존재하는 선배열 센서 신호를 모사하였다. 먼저 단일 표적 모사 신호를 이용하여 각 탐지기의 신호대잡음비에 따른 성능 및 주파수 대역에 따른 성능 두 가지를 분석하였다. 다음으로 Fig. 4와 같이 단일 표적 주변에 간섭 신호가 발생하도록 좌우에 인접한 표적을 추가하여 다수 표적을 모사하고, 단일 표적 모사 시나리오와 동일하게 신호대잡음비를 증가시켜 간섭신호가 존재하는 경우 단일 표적 시험 대비 탐지 성능의 변화를 분석하였다. 단일 표적 모사 신호의 경우 표적은 배열의 원거리장 거리 R, 방위 90°에 위치하였으며, 다수 표적의 경우 동일한 거리 R, 방위 70°, 80°, 90°, 100°, 110°에 위치하였다. 모든 표적은 50 Hz, 150 Hz, 300 Hz, 600 Hz의 주파수를 가지며 전 주파수가 0 dB, -5 dB, -10 dB, -15 dB의 신호대잡음비를 갖는 경우에 대하여 실험을 수행 하였다. 마지막으로 다수 표적이 존재하는 실제 해양 신호를 이용하여 탐지기의 성능을 평가하였다. 각 센서 신호는 CBF(Conventional Beam Former)[1]를 이용한 빔형성 후 빔 단위로 주파수 분석 및 TPSW(Two Pass Split Window)[1]를 이용한 소음 규준화를 수행하여 탐지기의 입력신호로 인가하였다. CFAR
는 80 %, EPONM의
는 90 %, T = 10이며 성능 지표는 다음과 같이 일반적인 탐지확률 및 오탐지 확률을 사용하였다.[1]
(14)
본 논문에서는 탐지 확률 및 오탐지 확률 두 가지 변인에 의한 효과를 하나의 지표로 나타내고자 다음과 같은 식별 지표를 추가로 고안하였다.
(15)
여기서
은 신호일 때 신호라고 판단한 횟수이며,
은 소음일 때 신호라고 판단한 횟수,
는 시나리오 내 최대 신호 개수이다.
Figs. 5와 6은 각각 단일 표적 및 다수 표적 모사 신호의 신호대잡음비에 따른 탐지 확률 및 오탐지 확률, 식별 지표의 주파수별 평균치이다. Fig. 5에서 단일 표적의 실험 결과를 보면 모든 신호대잡음비에서 EPC-NE, EPC-NS, EPONM, OS-CFAR, CA-CFAR 순서로 높은 식별 지표를 보이면서 신호대잡음비가 낮은 경우에도 제안기법의 성능이 우수함을 알 수 있다. Fig. 6에서 인접 표적에 의한 간섭 신호가 존재하는 경우 성능의 변화를 살펴보면 제안 기법의 탐지 성능은 변화가 거의 없지만 CFAR계열의 탐지기 성능은 크게 감소하는 것을 알 수 있다.
Figs. 7과 8은 신호대잡음비가 -10 dB인 경우 단일 표적 및 다수 표적 모사 신호의 주파수에 따른 실험 결과이다. Fig. 7에서 단일 표적의 실험 결과를 보면 제안기법 계열이 주파수가 높을수록 식별 지표가 감소함을 확인 할 수 있다. 이는 높은 주파수가 높은 변화율을 가지고 있어 오탐지 확률이 상승하기 때문으로 분석된다. 그럼에도 불구하고 모든 주파수 대역에서 EPC-NE, EPC-NS가 CFAR계열 탐지기 보다 높은 탐지 성능을 보였고, EPONM와 OS-CFAR는 유사한 성능을 보였다. Fig. 8에서 인접 표적에 의한 간섭 신호가 존재하는 경우의 성능 변화를 보면 신호대잡음비 시험과 마찬가지로 CFAR계열 탐지기의 성능이 감소함을 알 수 있다.
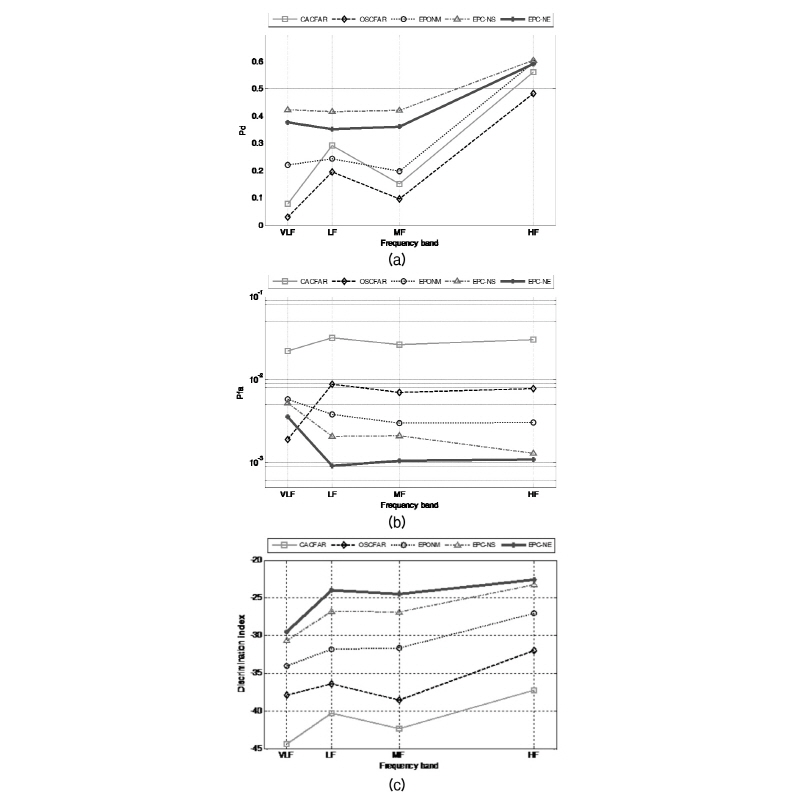
Figs. 9와 10에 실제 해양 신호를 이용한 실험 결과를 나타내었다. 실제 해양 신호를 이용한 탐지 결과에서도 EPC-NE, EPC-NS, EPONM, OS-CFAR, CA-CFAR순서대로 높은 성능을 보였다. 모사신호 시험과 다르게 HF대역 신호의 성능이 낮은 주파수 대역 성능 보다 높음을 볼 수 있는데, 이는 실제 HF대역에 존재하는 토널 신호의 수가 적고 신호대잡음비는 높기 때문이다.
Fig. 11는 Intel i5-2300 CPU에서 145프레임에 대한 각기법의 연산 소요시간이다. 가장 높은 성능을 보이는 EPC-NE기법은 OS-CFAR기법과 연산 시간이 유사하다. 특히 EPC-NS기법의 경우 EPC-NE에 비해 성능 감쇠는 적지만 연산량은 약 2배 가량 감소함을 알 수 있다.














