I. 서 론
II. 흡음 석고보드 천장재
III. 흡음률 실험
3.1 방법
3.2 결과 및 토의
IV. 바닥충격음 실험
4.1 실험방법
4.2 바닥충격음 측정 결과
V. 토 의
5.1 흡음 석고보드 천장에 의한 바닥충격음 저감
5.2 바닥충격음 저감 원인: 천장 상부 공기층과 수음실 음장의 제어
5.3 바닥충격음 저감을 위한 흡음형 천장구조의 흡음성능 평가
VI. 결 론
I. 서 론
국내의 보편적인 주거형태인 공동주택의 소음을 저감하기 위한 차음기술은 지속적으로 제안되어 왔으나 건물의 노후화 및 차음 기술의 한계로 인해 층간소음에 대한 민원은 여전히 제기되고 있는 상황이다. 이러한 층간소음 중 가장 문제시 되고 있는 바닥충격음은 구조, 재료, 천장 등 여러 가지 요소에 의해 영향을 받게 된다. 바닥충격음의 영향요소 중 천장의 경우 스프링클러와 같은 소방시설과 배선, 냉방기의 설치로 대부분의 공동주택에서 설치되어 있는데, 일반적으로 천장설치에 따라 저주파 대역에서 중량충격음이 증폭하는 것으로 조사되었다.[1-4] 바닥충격음 크기에 영향을 주는 천장의 구성요소로는 달대와 표면재의 면밀도, 천장내부의 구성요소(흡음재)가 있으며, 천장재의 의한 수음실의 음장변화 또한 바닥충격음과 관련이 있다. 슬래브의 진동이 천장구조로 전달되지 않는 무달대 천장 구조 실험의 경우, 100 Hz 이상에서 바닥충격음 차단효과가 있었지만 100 Hz 미만에서는 차단효과가 발생되지 않았다.[3] 표면재의 면밀도에 관한 연구로 천장에 석고보드 증가(2겹)하였을때 중량충격음의 개선이 미비 하였고,[1] 공기층 증가 시 증폭 주파수가 125 Hz에서 63 Hz로 이동 하였다.[2] 또한 천장의 공기층 제어를 위해 흡음재를 천장에 설치하였을 경우 일반 천장 대비 중량충격음 저감에 효과가 있었으며,[1,4-6] 타공형 천장부재[4] 및 공명기형 흡음재[7]의 중량충격음 차단성능 조사 연구가 진행되었다. 일반 천장 대비 단일평가지수 기준 2 dB ~ 4 dB 저감 효과가 나타났으나, 맨슬래브 대비 63 Hz 대역에서 증폭되는 결과가 나타났다. 또한 수음실의 잔향시간에 변화에 따른 중량 충격음에 관한 연구[9]는 있었지만 천장 조건에 따른 수음실의 음장 변화로 인한 바닥충격음 효과에 관한 연구는 없는 상황이다.
기존 연구에서 천장과 슬래브 사이 공기층의 제어를 위해 글라스울 등 흡음재를 사용하였으나,[1,4,5,6] 이는 시공이 불편한 단점을 가지고 있다. 이에 대한 대안으로 본 연구에서는 천장재 자체가 흡음성능을 갖고 시공성이 우수한 흡음 석고보드 천장재를 제안하고자 한다.
따라서 본 연구에서는 천장 공기층 제어의 일환으로 흡음 석고보드 천장재 설치에 의한 바닥충격음 저감 효과를 잔향실에서의 흡음률 측정과 바닥충격음 성능평가 시험동에서의 바닥충격음 성능평가 통해 조사하였다.
II. 흡음 석고보드 천장재
공동주택에서 일반적으로 천장 마감재로 사용하고 있는 석고보드의 흡음률은 NRC (Noise Reduction Coefficients) 기준으로 0.06에 해당되어 흡음률이 낮은 재료이다. 한편, 흡음 석고보드 천장재는 흡음형 재질로 되어있어 일반석고 보드 대비 높은 흡음력을 가지고 있다. Fig. 1과 같은 흡음 석고보드 천장재(두께: 15 mm, 면밀도: 약 10 kg/m2)는 크기는 600 mm2 × 600 mm2로 구성된 흡음 석고보드이다. 흡음 석고보드 이중천장재는 판진동과 공명기형 흡음 효과를 유도하기 위해 Fig. 2와 같이 구성하였다. 먼저 기존 연구결과[5]를 바탕으로 직경 50 mm의 구멍이 있는 상판과 하판을 흡음 석고보드로 사용 하였고, 상판과 하판 사이에 글라스울(24 K, 25 mm)을 채워 넣었으며 사이드 부분에 30 mm × 30 mm 각재를 사용하여 고정하여 이중 판구조로 제작하였다.
III. 흡음률 실험
3.1 방법
흡음률 실험은 Fig. 3과 같이 KS F 2805:2014(잔향실법 흡음 성능 측정방법)[9]에 따라 잔향실(용적: 209 m3)에서 실시하였으며, 시험편의 면적은 10.8 m2 (3.0 m2 × 3.6 m2)이었다. 총 6개의 마이크로폰을 사용하였으며, 마이크로폰 간 1.5 m 간격을 두었고 음원으로부터 2 m, 잔향실 시험편의 표면과 1 m 떨어진 위치에 설치하였다. 음원의 경우 서로 다른 위치에서 2 개의 무지향 스피커를 사용하여 잔향시간을 측정 하였다.
실험은 Table 1과 같이 4단계의 실험으로 진행되었다. 실험체는 600 mm × 600 mm 흡음천장재를 (5 ea×6 ea) 배열하여 설치하였다. Type A는 일반 석고보드의 흡음률을 측정 하였고, Type B는 흡음 석고보드 단판이며 천장 공기층 내부에 흡음률 측정 결과를 알기위해 배면으로 측정 하였다. Type C는 흡음 석고보드 위 글라스울을 설치하였으며, Type D-1은 Fig. 2과 같이 타공 상판을 이용한 흡음 석고보드 이중판구조로 하였다. Type D-2의 경우 Type D-1를 뒤집은 시료이며, 상판에는 구멍이 없고 하판에 구멍이 있는 구조로 상판의 타공유무에 따른 성능을 비교하고자 하였다. Type E의 경우 바닥충격음 실험 비교를 위한 맨슬래브이기 때문에 흡음률 측정을 하지 않았다.
Table 1. Test specimen of absorbent gypsum board for absorption coefficient measurement.
3.2 결과 및 토의
Fig. 4는 흡음 석고보드 4종류 시료의 흡음률을 나타내고 있다. 흡음률의 주파수 대역은 중량충격음의 평가대상인 50 Hz ~ 630 Hz를 대상으로 하였다. 흡음률 실험결과 Type A(일반석고보드)의 흡음률은 50 Hz ~ 200 Hz 대역에서 0 에 근접하고 200 Hz ~ 630 Hz 대역에서 0에서 0.1까지 증가한다. Type B(흡음 석고보드 단판)의 흡음률은 50 Hz ~ 160 Hz 대역에서 흡음률이 0에 근접하다가 200 Hz ~ 630 Hz대역에서 흡음률이 0.1에서 0.5까지 증가하는 특성을 보였다. 흡음 석고보드 단판을 사용하였음에도 불구하고 일반 석고보드(NRC 0.05)에 비해 높은 흡음률을 나타냈는데 이는 흡음석고보드의 재료가 흡음형 구조로 구성되어 있기 때문으로 판단된다. 추가적인 실험 결과 정면과 배면의 흡음률의 차이는 크지 않은 것으로 나타났다. Type C(흡음 석고보드+글라스울)는 50 Hz ~ 63 Hz까지 흡음률이 0에 가깝다가 80 Hz ~ 630 Hz대역에서는 0.1에서 1까지 흡음률이 증가하는 특성을 보였다. 이러한 결과는 흡음 석고보드와 글라스울은 같은 흡음형 구조의 흡음재이기 때문에 두 시료가 같은 거동을 보이고 시료의 전체 두께 또한 증가했기 때문으로 판단된다. Type D-1(흡음 석고보드 이중천장재)의 경우 Type C(흡음 석고보드+글라스울)와 비교하였을 때 흡음률이 63 Hz ~ 250 Hz 대역에서 약 0.1 ~ 0.4 정도 높았지만 315 Hz ~ 630 Hz 대역에서는 낮은 흡음률을 나타냈다. 이는 일반 석고보드와 면밀도가 유사한 흡음석고보드를 각재로 고정하였는데 이에 따른 판진동의 효과로 인해 63 Hz ~ 250 Hz대역에서 흡음률이 증가 했고, 표면이 노출된 흡음석고보드의 영향으로 315 Hz 이상의 주파주 대역에서 판진동의 특성을 보이지 않고 흡음률이 증가한 것으로 판단된다. Type D-2(흡음 석고보드 이중천장재, 상판 타공 없음)는 타공을 하였음에도 불구하고 Type D-1(흡음 석고보드 이중천장재)과 흡음률 차이가 크지 않았다. 이는 흡음 석고보드 판이 기존 타공 석고보드 판과 달리 흡음형 구조로된 재료이기 때문에 타공 유무에 따른 흡음특성을 보이지 않는 것으로 판단된다.
IV. 바닥충격음 실험
4.1 실험방법
바닥충격음 측정은 바닥충격음 실험동에서 측정 하였으며 해당 실험실은 면적 4.5 m2 × 5.1 m2과 층고 2.5 m의 내력벽 구조(RC구조, 마감없음)이며 슬래브 두께 는 180 mm이었다. 실험 대상은 Table 1와 같이 일반천장(석고보드 12.5 mm, 면밀도 7 kg/m2 ~ 9 kg/m2), 흡음석고보드, 흡음석고보드+글라스울, 흡음 석고보드천장재, 맨슬래브(천장 무, 완충재 없는 비바닥 마감)의 5가지 조건에서 중량충격음을 측정하였다. 천장 밑면과 바닥슬래브 사이의 거리를 120 mm가 되도록 통일하였다. 흡음 석고보드 천장재는 T바 시스템을 사용하여 Figs. 5와 6과 같이 시료를 T바에 올려놓는 방식으로 시공이 비교적 간편한 방식이다. 일반천장의 경우 흡음 석고보드 천장과의 비교를 위해 T바 시스템에 일반 석고보드를 고정하는 방법을 사용하였다. 바닥충격음 차단성능 실험은 KS F 2810-210]에 따라 충격원은 표준 중량 충격원 특성 1을 갖는 뱅머신과 충격원 특성2를 갖는 고무공을 사용하였고 측정점은 중앙점을 포함하여 가진점과 수음점 모두 5지점으로 하였다.
4.2 바닥충격음 측정 결과
4.2.1 바닥충격음 레벨
Fig. 7의 (A)는 뱅머신을 충격원으로 사용한 바닥충격음 측정결과를 1/1 옥타브 밴드 중심주파수에 따른 충격음 레벨(Li,Fmax)과 단일 수치 평가량(Li,Fmax,Aw)으로 나타낸 그래프이다. Type A(일반 석고보드)의 경우 63 Hz ~ 500 Hz 전 주파수 대역에서 48 dB ~ 74 dB의 레벨을 보였고 단일 수치 평가량은 51 dB인 것으로 나타났다. Type B(흡음석고보드 단판)의 경우 전 대역에서 43 dB ~ 74 dB로 나타났고, 단일 수치 평가량은 50 dB로 Type A(일반석고보드) 대비 1 dB가 저감된 것으로 나타났다. Type C(흡음 석고보드+글라스울)의 경우 전 대역의 음압레벨이 44 dB ~ 73 dB인 것으로 나타났고, 단일 수치 평가량은 48 dB로 Type A(일반석고보드) 대비 3 dB가 저감된 것으로 나타났다. Type D-1(흡음 석고보드 이중천장재)의 경우, 전 대역에서 43 dB ~ 73 dB로 나타났고 단일 수치 평가량은 48 dB로 Type C(흡음 석고보드+글라스울)와 동일한 레벨을 나타내어 Type A(일반석고보드) 대비 3 dB가 저감된 것으로 나타났다. Type E는 맨슬래브의 결과를 나타내며, 전 대역에서 50 dB ~ 72 dB의 음압레벨을 나타냈고 단일수치 평가량은 52 dB로 측정 대상 중 가장 높은 값을 나타냈다.
Fig. 7(B)는 고무공을 충격원으로 사용하였을 때의 측정결과를 보여주고 있다. 우선, 뱅머신 충격음과 달리 모든 시료 및 맨슬래브에서 125 Hz 대역의 음압레벨이 높은 것으로 나타났다. Type A(일반석고보드)의 경우 63 Hz ~ 500 Hz 전체 주파수대역에서 51 dB ~ 67 dB이고 단일수치평가량은 53 dB인 것으로 나타났다. Type B(흡음석고보드 단판)의 경우 는 전 대역에서의 음압레벨은 47 dB ~ 68 dB이고 단일 수치 평가량은 52 dB으로 Type A(일반석고보드)에 비해 1 dB 저감되었다. Type C(흡음 석고보드+글라스울)는 전 대역 47 dB ~ 66 dB의 음압레벨분포를 나타냈고 단일 수치 평가량이 49 dB로 Type A(일반석고보드) 에 대비 4 dB 저감되었다. Type D-1(흡음 석고보드 이중천장재)는 전 대역에서 47 dB ~ 68 dB의 음압레벨을 보였고 단일 수치 평가량이 50 dB로 Type A(일반석고보드)에 대비 3 dB 저감 되었으나 Type C(흡음 석고보드+글라스울)에 비해 1 dB 증가하였다. Type E(맨슬래브) 는 125 Hz 대역에서 가장 높은 음압레벨을 보였고, 천장 시료 대비 63 Hz 대역은 낮은 음압레벨을, 250 Hz ~ 500 Hz 대역에서는 높은 음압레벨을 나타냈으며, 단일 수치 평가량은 56 dB로 측정 대상 중 가장 높은 값을 나타냈다.
4.2.2 맨슬래브 대비 저감량
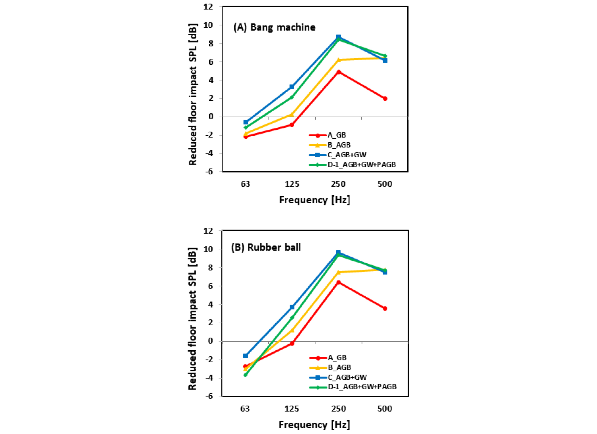
Fig. 8(a)는 뱅머신을 충격원으로 사용하였을 때 Type E(맨슬래브) 대비 저감랑을 나타낸 그래프이다. 우선, 모든 시료 공통적으로 63 Hz 대역에서 충격음이 증폭했다는 점을 볼 수 있으며, 그 증폭의 양은 시료에 따라 차이가 있는 것으로 나타났다. 또한 모든 시료의 경우 250 Hz ~ 500 Hz 대역에서 충격음이 저감되고 대부분 250 Hz 대역에서 저감량이 제일 큰 것으로 나타났다. 측정 시료별로 살려보면, 우선 Type A(일반 석고보드)의 경우 125 Hz 대역에서도 증폭현상이 발생하였으며 250 Hz ~ 500 Hz 대역에서 2 dB ~ 5 dB 저감되는 것으로 나타났다. Type B(흡음 석고보드 단판)의 경우는 125 Hz 대역에서 거의 저감되지 않았으나 250 Hz ~ 500 Hz 대역에서는 약 6 dB이 저감된 것으로 나타났다. Type C(흡음 석고보드+글라스울)의 경우 125 Hz ~ 500 Hz 대역에서 3 dB ~ 9 dB의 충격음이 저감되어, 측정대상 중 가장 큰 저감량을 보여주었다. Type D-1 (흡음 석고보드 이중천장재)는 125 Hz ~ 500 Hz 대역에서 2 dB ~ 8 dB 저감되었고 250 Hz ~ 500 Hz 대역의 저감량은 Type C (흡음 석고보드+글라스울)와 거의 동일하였다. 흡음 석고보드를 사용한 모든 시료(B, C, D)는 500 Hz에서 6 dB ~ 7 dB로 유사한 저감량을 보였다.
Fig. 8(B)는 고무공을 충격원으로 사용 하였을 때 맨슬래브 대비 저감량을 나타낸 그래프이다. 주파수 대역별 맨슬래브 대비 저감량은 뱅머신의 결과와 거의 유사한 것으로 나타났다. 고무공 충격음 또한 모든 시료 공통적으로 63 Hz 대역에서 충격음이 증폭했다는 점을 볼 수 있으며 그 증폭량은 뱅머신의 경우보다 큰 것으로 나타났다. 또한 모든 시료의 경우 250 Hz ~ 500 Hz 대역에서 충격음이 저감되고 대부분 250 Hz 대역의 저감량이 제일 큰 것으로 나타났다. Type A (일반 석고보드)의 경우 125 Hz 대역에서도 미미한 증폭현상이 발생하였으며 250 Hz ~ 500 Hz 대역에서 4 dB ~ 6 dB 저감되는 것으로 나타났다. Type B(흡음석고보드 단판)의 경우는 125 Hz 대역에서 저감량이 1 dB로 미미하였으나 250 Hz ~ 500 Hz 대역에서는 7 dB ~ 8 dB 저감된 것으로 나타났다. Type C(흡음 석고보드+글라스울)의 경우 125 Hz ~ 500 Hz 대역에서 4 dB ~ 10 dB의 충격음이 저감되어, 측정대상 중 가장 큰 저감량을 보여주었다. Type D-1(흡음 석고보드 이중천장재)는 125 Hz ~ 500 Hz 대역에서 3 dB ~ 9 dB 저감 되었고 250 Hz ~ 500 Hz 대역의 저감량은 Type C(흡음 석고보드+글라스울)와 거의 동일하였다. 뱅머신 충격음과 동일하게 흡음 석고보드를 사용한 모든 시료(B, C, D)는 500 Hz에서 7 dB ~ 8 dB로 유사한 저감량을 보였다.
V. 토 의
5.1 흡음 석고보드 천장에 의한 바닥충격음 저감
흡음 석고보드 천장재의 중량충격음의 저감효과를 조사한 결과, 일반 천장 대비 단일수치평가량 기준으로 1 dB ~ 4 dB의 중량충격음 저감효과가 있는 것으로 나타났다. 또한 기본 흡음 석고보드 상부에 글라스울과 추가 흡음석고 보드 설치에 따라 바닥충격음 성능이 개선되었다. 따라서 향후 천장재, 천장 상부 공기층에서의 다양한 흡음재의 구성, 두께 및 배치에 대한 바닥충격음 저감 효과 조사가 필요할 것으로 판단된다. 다만, 바닥충격음 실험결과 기존연구[1-4]와 마찬 가지로 맨슬래브 대비 63 Hz 대역에서의 증폭 현상이 나타났다. 따라서 기존연구에서 활용한 뜬바닥구조와 본 연구의 맨슬래브 조건을 대상으로 천장에 의한 63 Hz 대역에서의 증폭현상에 대한 원인 규명과 이를 제어하기 위한 방법의 추가 연구가 필요할 것으로 판단된다.
5.2 바닥충격음 저감 원인: 천장 상부 공기층과 수음실 음장의 제어
본 연구에서 흡음 석고보드의 설치에 따라 바닥충격음 레벨이 저감되었는데, 이는 천장 상부 공기층과 수음실의 음장변화에 기인한 것으로 판단된다. 기존 연구[4]에서는 천장 공기층 내부에 미네랄울 50 mm를 설치하였을 때 일반 천장 대비 중량충격음이 63 Hz ~ 500 Hz 대역에서 1.4 dB ~ 5.4 dB 저감하였다. 또한 목재틀 천장(공기층 40mm)에서 흡음재를 25 mm 와 40 mm로 차이를 두어 비교 한 결과 흡음재 25 mm의 경우 63 Hz ~ 125 Hz대역에서 4.5 dB ~ 6.1 dB 저감하였고, 흡음재 40 mm 사용한 경우 63 Hz ~ 500 Hz 대역에서 0.4 dB ~ 5.9 dB 저감하였다.[5] 따라서 기존 연구결과를 고려하였을 때 본 연구에서의 중량충격음 레벨의 저감은 흡음 석고보드와 글래스울과 같은 흡음재료가 천장 공기층에서 소음을 제어했기 때문으로 판단된다. 다만, 그 흡음재가 천장공기층 내부뿐만 아니라 수음실 음장에도 영향을 미칠 수 있기 때문에 이에 대한 추후 연구가 필요할 것으로 판단된다.
5.3 바닥충격음 저감을 위한 흡음형 천장구조의 흡음성능 평가
본 연구에서 두 재료(Type C & D-1)의 흡음률 실험결과와 바닥충격음 실험결과는 다소 상이한 것으로 나타났다. 흡음 석고보드 Type D-1(흡음 석고보드 이중천장재)의 흡음률은 63 Hz ~ 250 Hz 대역에서 0.1 ~ 0.6으로 Type C(흡음석고보드+글래스울)보다 높았지만 바닥충격음 실험에서는 오히려 Type D-1(흡음 석고보드 이중천장재)의 저감량이 Type C (흡음석고보드+글래스울)보다 작은 것으로 나타났다. 이는 본 연구에서 실시한 흡음형 천장재의 흡음성능 평가의 개선 필요성을 보여주는 것으로 판단된다. 본 연구에서는 흡음형 천장재를 잔향실 바닥에 설치하여 공기층에 대한 영향이 배제된 상황에서 평가가 되었다. 이는 바닥충격음 저감 원인이 천장 상부 공기층에서의 소음 제어에 있다는 전제하에 진행된 것으로, 수음실에서의 음장 제어 효과의 평가에는 어려운 방법이다. 따라서 향후 천장 상부 공기층을 반영한 흡음형 천장구조의 흡음성능 평가가 필요하며, 그 흡음성능과 수음실에서의 바닥충격음 및 잔향시간의 비교를 통해 수음실의 음장 제어 효과를 평가할 수 있을 것으로 판단된다.
VI. 결 론
본 연구에서는 흡음률 실험과 바닥충격음 실험을 통하여 흡음 석고보드 천장재의 중량바닥충격음 저감효과를 조사하였다. 실험결과, 흡음석고보드+글래스울과 흡음석고 보드 이중천장재는 일반석고보드 대비 중량충격음을 단일수치평가량 기준으로 3 dB ~ 4 dB 저감하는 것으로 나타났으며, 흡음 석고보드 단판의 경우도 1 dB의 중량충격음 저감효과가 나타났다. 맨슬래브 대비 중량충격음의 저감은 주로 125 Hz ~ 500 Hz 대역에서 발생하였으며 250 Hz 대역에서 최대의 저감량을 나타냈다. 이러한 결과는 기존 연구와 비교 하였을 때[1,4-6] 천장재와 슬래브 사이의 공기층 제어를 통해 중량바닥충격음을 효과적으로 저감시킬 수 있음을 보여주고 있다. 다만, 맨슬래브 대비 63 Hz 대역에서 일반천장과 동일하게 증폭현상이 발생한 것으로 나타나 향후 이 대역에서의 음의 증폭현상의 원인 규명과 이를 제어하기 위한 추가 연구가 필요하다.
또한 본 연구에서 사용된 시료들의 잔향실에서의 흡음률 실험결과와 바닥충격음 실험결과가 다소 상이하게 나타났는데, 흡음형 천장재의 천장 상부 공기층 및 수음실 음장제어 효과의 평가방법에 대한 연구가 필요 할 것으로 판단된다.











