I. 서 론
제주도 주변 해역은 한국남해와 황해 그리고 동중국해와 접하고 있으며 대마난류, 조석, 저염분수 유입 등에 의한 복잡한 해수 유동이 존재하는 해역이다. 이 중 조석은 제주해역을 포함한 남해의 해수 유동을 일으키는 가장 큰 기작 중의 하나이다.[1-3] 제주도의 북쪽에는 북에서 동으로 이어지는 수심 100 m 이상의 넓은 골이 형성되어 있는데, 조석파는 이 골을 남동에서 북서 방향으로 진행한다. 일반적으로 조석의 크기는 제주 북부보다 남부에서 다소 크게 나타나는데, 특히 서귀포에서 최대 조차를 나타낸다.[4]
한편, 해수의 수온변화는 태양의 일사량 변화 이외에도 조석에 의한 수층의 수직운동으로 인해 발생하는데, 제주 남부해역에 위치한 이어도에서는 조석에 의한 수온의 일변화가 수온약층이 발달하는 10 ~ 20 m 사이에서 크게 나타나며, 5월 이후부터 증가하여 여름철에 가장 큰 변화폭을 나타난다.[5] 수온의 변화는 음파전달에 직접적으로 영향을 미치므로, 제주 남부해역에서 조석에 의한 해수 유동이 음향특성의 변화에 어느 정도 영향을 줄 것으로 예상할 수 있다.
제주 남부해역에서 특정 수중소음의 시간적 변화에 대한 연구가 수행된 바 있으나[6] 현재까지 조석에 의한 음향특성 변화에 대해서 연구되어진 바는 없다. 그러나 제주 남부 해역에서 해수 유동의 시간적 변화가 조석에 의해 지배적인 영향을 받는다고 할 때, 음향특성의 시변동성에 대한 연구는 그 필요성이 크다고 볼 수 있다. 따라서 본 논문은 여름철 제주 남부해역에서 조석에 의한 음향특성의 시간적 변화를 실측 환경자료와 음파전달 모의실험을 통해 분석해 본다.
일반적으로 조석과 음향특성변화의 관계에 대한 연구는 특정 해역의 음향환경 연구 또는 내부파에 대한 연구의 일환으로 수행되어져 오고 있는 추세이다.[7-12] 본 논문은 이전 연구들의 연구방법들을 참고하여 제주 남부해역에서 조석에 의한 수온 변화 와 이로 인한 음파 전달손실의 시간변화를 분석하였다. 이를 위해 전달손실 변화의 거리 별, 수심 별, 음원의 주파수 별 주기 및 변화량 그리고 전달손실 변화에 의한 탐지거리 변화를 분석하였다.
II. 연구방법
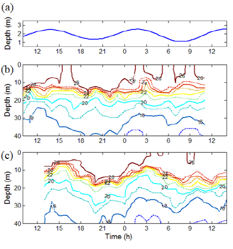
제주 남부 해역 음향 특성의 시간변화를 관찰하기 위해 서귀포 인근 해역의 두 정점을 선정하여 수온과 염분을 측정하였다(Fig. 1). 편의상 두 정점을 A1, A2라 할 때 A1과 A2의 위-경도는각각 32.20° N / 126.50° E, 32.21° N / 126.54° E 이다. CTD(Conductivity- Temperature-Depth profiler)를이용하여 2009년 7월 27일과 28일, 이틀에 걸쳐 25시간 동안 1시간 간격으로 수온과 염분을 측정하였다. A1 정점에서는 한국 표준시간(Korea Standard Time, KST)으로 7월 27일 오전 10시부터 28일 오전 11시 까지, A2 정점에서는 7월 27일 오후 1시부터 28일 오후 3시까지 각각 측정되었다.
Fig. 2는 측정 시간 동안 해수면 변동과 수심 40 m 이내의 등수온선 변화를 나타낸 그림이다. 해수면 변동은 서귀포 항 내의 조위관측소 기준으로 예측된 값으로 국립해양조사원에서 제공하고 제주특별자치도 해양수산연구원 해양수산자원연구과에서 관리하는 서귀포지역 조석예보표를 참고하였으며[13] 등수온선 변화는 CTD를 이용해 측정된 자료이다.
측정된 자료는 다음과 같은 근거로 내부조석의 주기적 변화가 관찰된 것으로 판단된다. (i) 두 정점에서 수온의 변동은 조석에 의한 해수면 변동의 주기와 위상이 거의 일치한다. (ii) 등수온선 변동의 진폭은 해수면 변동에 비해 크며 최대 약 10 m 이상 변화하여 내부조석의 특성을 잘 나타낸다.[14]
수온변화에 의한 음속의 변화를 Fig. 3에 나타내었다. 높은 수온층이 두텁게 형성되는 27일 18시에서 28일 1시, 28일 6시에서 12시 사이에 해수의 상부 층 음속이 증가며 27일 14시에서 17시와 28일 2시에서 5시 사이에는 감소하는 경향을 보이고 있다. A2의 수심 10 m에서는 시간변화에 따른 최대음속과 최저음속이 7.2 m/s의 차이를 나타내었다. 한편, 높은 수온의 해수층이 두터워 질 때 혼합층이 발달되어 흰색 파선으로 표시된 음향층심도(SLD: Sonic Layer Depth) 가 깊어지는 것을 확인할 수 있다.
|
Fig. 3. Temporal variation of sound speed at two sites (a) site A1, (b) site A2. Dash-dot line indicates sonic layer depth (SLD). |
전달손실 변화를 살펴보기위해 측정된 자료를 통해 계산된 음속 수직분포와 문헌자료 등의 해 저지형 및 지음향인자를 이용하여 음파전달 모의실험을 수행하였다.[15,16] 음파전달 모델은 RAM모델을 사용하였다.[17] 수온 측정 시 함께 측정된 A1, A2 두 정점의 평균 수심
는 각각 74.2 m, 88.5 m이며 두 정점사이의 거리는 3.8 km이다. A2에서 A1방향으로 1.7 km 떨어진
까지는 수심 60 m까지 점점 감소하다가 다시 증가한다. 선형 보간법(linear interpolation)을 이용해 세 점을 잇는 해저면을 구성하였으며, 해수면과 해저면 모두 매끄러운 표면을 갖는다고 가정하였다. 해당 정점의 해저성분은 소량자갈함유 니질모래(slightly gravelly muddy sand)이며 조성자료를 기반으로 밀도
는 1800
, 음속
는 1650 m/s, 감쇠계수
는 0.8 dB/
로 가정하였다.[15,16,18] 다른 해저층의 영향은 고려하지 않았으며 마지막 층은 감쇠계수
가 2.0 ~ 10.0 dB/
으로 선형적으로 증가하도록 두어 반무한 공간(half space)을 형성하였다.[17] 수온 수직분포도 해저면의 경우와 같이 보간법을 이용하여 두 정점사이의 연속적인 수온변화를 고려하였다.
|
Fig. 4. Geometry and input parameters for acoustic propagation modeling between two measurement sites |
Kim et al.[19]의 연구 방법을 참고하여 소음원이 표층 부근에 위치하는 두 가지 경우를 고려하였으며 200 Hz 미만의 영역에 해당하는 수중 소음을 모의하기 위해 100 Hz를, 200 Hz 이상의 영역을 위해 1 kHz 를 음원의 중심주파수(
)로 각각 선정 하였다. 또한 1/3 옥타브 밴드 분석을 위해 옥타브 양 단
(
,
) 사이를 선형 균등하게 24개로 주파수로 나누어 모델링을 수행한 후 주파수 및 공간 평균 전달 손실을 계산하였다.[7,9] 주파수에 대해서는 1/3 옥타브 밴드의 양단에 걸친 범위 
를, 공간에 대해서는 거리방향과 수심방향에 대해
,
의 범위를 각각 고려하였다.
음원은 수심 10 m에 있다고 가정하였으며 시간에 따른 수온변화가 뚜렷했던 A2 정점으로부터 A1 정점으로 음파가 전달된다고 가정하였다. 또한 내부조석에 의한 음파전달 변화가 소나 탐지결과에 미치는 영향을 알아보기 위해 탐지성능 60 dB에 대한 탐지거리의 시간변화를 살펴보았다.
III. 결 과
음파전달 모델링을 통해 전달손실의 시간적 변화를 분석한 결과는 다음과 같다. 먼저 음원의 주파수가 각각 100 Hz 일 경우와 1 kHz인 경우에 대한 전달손실 외 2차원 공간적 분포를 각각 Figs. 5와 6에 나타내었다. 음원이 위치한 곳이 A2 정점이며 A1 정점 방향으로의 음파 전달을 나타내고 있다. 1시간 간격으로 모든 수온변화에 대한 전달손실을 계산하였으나 대표적인 경우로 수심 10 m에서 수온이 가장 낮았던 27일 15시 [Fig. 5(a)]와 가장 높았던 27일 21시 [Fig. 5(b)]의 전달손실 결과를 나타내었다.
음원의 주파수가 100 Hz 인 경우(Fig. 5) 전달손실 분포의 전반적인 변화는 크지 않아 눈으로 쉽게 구분하기 어려우나 27일 15시에 음원으로부터 2 km 이상 떨어진 곳에서 나타나던 보강간섭이 6시간 후인 21시에는 다소 약화되는 것을 확인할 수 있다.
Fig. 6 는 음원의 주파수가 1 kHz 인 경우의 전달손실을 나타낸다. Fig. 5와 마찬가지로 Fig. 6(a)는 27일 15시의 결과이며 Fig. 6(b) 는 21시의 결과이다. 이 경우 음원 근방 1 km 이내를 포함한 공간에서 시간변화에 따른 음파전달 변화를 비교적 잘 관찰 할 수 있다. 27일 15시경 해저면 방향으로 굴절 되어 반사되는 음파와 함께 보강 간섭을 일으켜 특정 공간에서 비교적 낮은 전달손실을 나타내고 있던 음파가 6 시간 후에는 굴절이 약화되고 일부 음파는 표층채널을 통해 빠져나가면서 해수층의 전반적인 간섭패턴이 변화되고 에너지가 고루 분산되는 것을 확인할 수 있다. 이 점은 수심이 10 m이고 거리가 약 1 km, 2 km, 3 km인 곳에서 잘 관측 된다.
Fig. 7 (a)~(d)는 음원으로부터 1.2 km , 2.8 km 떨어진 지점에서 시간에 따른 1/3 옥타브 밴드 평균 전달손실 변화와 그것의 주기스펙트럼을 수심별로 나타낸 그림이다. 중심주파수가 100 Hz인 경우 음원으로부터 1.2 km 떨어진 정점에서 전달손실의 시간적 변화는 수심 약 35 m에서 표준편차 3.5 dB로 가장 크고 수심 55 m에서 표준편차 1.9 dB로 가장 작게 나타났다[Fig. 7(a)]. 거리 2.8 km에서는 수심 약 55 m에서 표준편차 4.2 dB로 가장 큰 폭의 전달손실 변화를 나타냈으며, 수심 약 35 m에서는 표준편차 0.6 dB로 가장 적은 변화를 나타냈다[Fig. 7(b)]. Fig. 7(c), (d)의 주기스펙트럼은 전달손실의 시간적 변화가 뚜렷한 반일주기 특성을 나타내고 있음을 보여준다. 그러나 거리 약 1.2 km 지점의 수심 약 55 m에서와 거리 약 2.8 km 지점에서의 수심 약 35 m에서의 경우 반일 주기 특성이 나타나지 않을 뿐 아니라 시간에 따른 전달손실 변화가 2 dB 이내로 나타나는 것으로 보아 공간상의 특정 위치에서 전달손실 변화가 두드러지는 것으로 판단되며 따라서 이러한 위치는 음원의 위치나 해저면 구조 등에 의한 음장 패턴 변화에 영향을 받을 수 있을 것으로 생각된다.
같은 방법으로 중심주파수가 1 kHz 인 경우를 살펴보면 음원으로부터 1.4 km 떨어진 지점에서는 수심에 따라 최대 2.2 dB, 최소 1.3 dB의 표준편차를, 2.8 km 떨어진 정점에서는 수심에 따라 최대 3.7 dB, 최소 1.0 dB의 표준편차를 갖는 변화가 확인되었다[Fig. 8(a), (b)]. Fig. 8(c), (d)는 Fig. 8(a), (b)의 주기 스펙트럼을 나타낸 그림이다. 이 경우는 대부분의 위치에서 반일주기성분이 중심주파수 100 Hz의 경우에 비해 뚜렷하게 나타내고 있지 않거나 거의 나타나지 않는다. 거리 약 2.8 km 수심 약 15 m 지점을 제외한 대부분의 공간에서 반일주기성분이 나타나지 않고 있는데, 이는 100 Hz의 경우에 비해 복잡하게 형성되는 간섭패턴이 시간에 따라 변할 때 특정 공간에서는 거의 무작위적으로 변화하는 것처럼 나타나기 때문이다.
이러한 결과의 원인을 분석하기 위해 특정 시간의 거리에 따른 전달손실을 살펴보았다. Fig. 9는 수심 15 m에서 거리에 따른 평균전달손실 변화를 나타낸다. (a)와 (b)는 중심주파수 100 Hz의 경우이고 (c)와 (d)는 1 kHz의 경우를 나타내며 각 경우에 전자는 15시의 결과를, 후자는 21시의 결과를 나타낸다. 그림에서 ▲, ■ 표시는 1.2 km, 2.8 km 지점을 표기하였는데 이는 Figs. 7 ~ 8에서 음영 표시된 부분의 결과를 나타낸다. 그림에서 나타나듯 중심주파수가 100 Hz의 경우는 보강 및 상쇄간섭으로 인해 거리에 따른 전달손실이 산과 골을 뚜렷하게 이루고 있는데, 산에서는 시간에 따른 변화가 크지 않은 반면 거리 약 1.1 km , 2.3 km 그리고 3.2 km 부근의 골에서는 뚜렷한 변화가 관찰 된다. 반면 중심주파수 1 kHz의 경우 산과 골이 뚜렷이 나타나지 않으며 대부분의 공간에서 거의 불규칙적인 전달손실 변화가 관측된다.
시간에 따른 전달손실 변화량을 정리하여 각 주파수 별 전달손실 변화의 최대/최소 표준편차를 기준으로 Table 1에 나타내었다. 여기서 최대 최소 전달손실의 차이를 살펴보면 음원 중심주파수 100 Hz의 경우 수심에 따라 2.1 ~ 15.2 dB, 1 kHz의 경우 3.7 ~ 17.0 dB로 나타나 본 연구에서 측정한 내부 조석과 같은 해양 변화가 발생할 경우 약 12시간 안에 약 2.1 ~ 17.0 dB의 전달손실 차이가 발생할 수 있음을 나타낸다.
|
Fig. 10. Temporal variation of detection range for 23 hours in different source frequency when 60 dB detection level is considered: (a) 100 Hz (b) 1 kHz. 15:00 and 21:00 are marked with shaded line. |
Fig. 10는 시간변화에 따른 60 dB 기준 탐지거리 변화를 나타낸다. Fig. 10(a)는 중심주파수 100 Hz의 옥타브 밴드 신호에 대한 탐지거리를 나타내고 있으며 전달손실의 시간적 변화와 마찬가지로 반일주기 특성이 나타나고 있다. 보강간섭의 영향이 두드러졌던 27일 약 15시경 그리고 28일 3시 경에는 탐지거리가 증가하는 것을 볼 수 있고 최대 약 700 m, 최소 약 100 m 이내의 변화가 발생하며 증감 폭은 수심에 따라 차이가 있다. 이는 Fig. 9에 나타난 바, 탐지성능의 문턱치가 보강간섭의 산 부분에 근접 한 경우 전달손실 증감에 따른 탐지거리의 변화 폭이 클 수 있으나 그렇지 않은 부분에서는 변화폭이 적기 때문이다. 중심수파수가 1 kHz 인 경우[Fig. 10(b)], 대부분의 시간동안 1 km 이내의 탐지거리를 보이다가 주기적 변화에 따라 27일 15시, 28일 3시에 탐지거리가 약 500 m 이상 증가하는 것을 확인할 수 있으며 100 Hz의 경우와 마찬가지로 수심에 따른 변화폭의 차이가 나타난다.
IV. 토의 및 결론
여름철 제주 남부해역은 조석에 의한 수온의 시변동성이 크게 나타나는 특징이 있으므로 이에 상응하여 음향특성의 시변동이 발생하게 된다. 본 연구의 결과에 의하면 음원이 수층 상부에 위치할 경우 전달손실이 조석과 같은 반일주기의 주기적 특성을 나타내는 것이 확인되었다. 전달손실의 변화량은 중심주파수 100 Hz 인 음파의 경우 2.8 km 지점에서 수심에 따라 0.6 ~ 4.2 dB, 1 kHz 인 경우 1.0 ~ 3.7 dB의 표준편차를 나타내었다. 한편 최대/최소 전달손실의 차이는 100 Hz 중심주파수의 경우 수심에 따라 2.1 ~ 15.2 dB, 1 kHz의 경우 3.7 ~ 17.0 dB로 나타났다. 전달손실의 시간적 변화는 탐지성능에 영향을 미치게 되는데, 100 Hz 와 1 kHz인 경우 모두 조석과 같은 반일주기 특성이 나타나며 최대 탐지거리 변화는 약 1 km 이내로 나타났다.
본 논문에 사용된 수온 및 염분 자료는 실측자료이지만 지음향 자료는 문헌을 참고한 자료로서 실제와 다를 수 있는 여지가 있다. 지음향 인자는 전달손실에 적지 않은 영향을 미치는 요소이므로 지음향 인자 변화가 결과에 미치는 영향 대해 간단히 살펴보았다. 반일주기 특성이 뚜렷했던 중심주파수가 100 Hz인 경우에 대해 다른 모든 조건은 같게 두고 해저면 음속과 밀도에 변화를 주어 그 차이에 의한 결과 변화를 살펴보았다. 이때 Fig. 7에 나타난 거리별, 수심별 주기 스펙트럼들의 평균이 해당 해양환경에서의 음향특성을 반영한다고 간주하고 모두 5가지 서로 다른 음속과 밀도의 조합에 대해 비교하여 Fig. 11에 나타내었다. 그림에서
와
는 본 논문의 연구방법에 사용한 수치와 같으며
와
는 각각 25 m/s 와 50 kg/m3이다. Fig. 11의 마지막 경우를 제외한 모든 경우에서 본 논문의 결과와 마찬가지로 반일주기 특성이 잘 나타나고 있다. 다만 경우에 따라 반일주기 성분이 크거나 작은데 임피던스크기와의 상관관계는 확인하기 어렵다.
본 연구는 음원의 위치가 고정되어 있고 전방향성을 가지며 수신시스템의 수신감도가 일정하다는 가정 하에 순전히 내부조석에 의한 음파전달 변화가 전달손실변화에 미치는 영향에 대해 모의실험을 통해 연구하였다. 따라서 실제 해양에서 음파신호 측정 시 여러 가지 요소로 인한 오차들의 발생 및 변동에 비해 조석에 의한 전달손실 변화의 영향이 미약할 수 도 있다. 특히 수온변동이 적은 수층 하부에 소음원이 위치하는 경우 조석의 영향이 본 논문의 경우에 비해 미약할 수 있을 것으로 보이며 이에 대한 추가적인 분석이 필요하다고 생각된다.
그러나 음원이 조석에 의해 수온이 변동되는 수심이내에 존재하고 수신기 위치가 고정되었으며 수신감도가 일정하다고 간주되는 상황에서 내부조석에 의해 수 시간 내에 표준편차 약 4 dB의 변화가 발생할 가능성이 있다는 모의실험 결과는 해당 환경에서 음향신호 측정 실험 시 고려해야할 만한 사항이라고 판단된다. 또한 해양 환경 측정은 현실적, 환경적 제약이 크므로 연속적인 조사가 어려운 측면이 있으므로 특별한 목적의 연구를 위한 실험이 아니고서는 일회성으로 그치는 경우가 많으나, 물리량의 시변동성이 큰 해역, 특히 천해 환경이며 조석의 영향이 큰 해역에서의 음향특성 분석은 내부조석에 의한 음파전달 시변동성의 영향을 고려해야 할 필요성이 있다고 생각된다. 본 논문의 결과는 조석이 나타나는 해역의 음향특성 분석 시 해수의 물리적 시변동성을 고려할 필요성에 대한 근거자료로서 뿐만 아니라 차후 제주 남부해역의 음향특성에 대한 연구 자료로서 활용될 수 있을 것이다.










and
are the values described in Fig. 4 while
and
are 25 m/s and 50 kg/m3, respectively. TL temporal variation at 15, 35, 55 m depth and 1.2 km and 2.8 km range are considered.