I. 서 론
II. 트랜스듀서 설계인자 도출
2.1 수중 통신 목표 사양 설정
2.2 트랜스듀서의 구동 조건
III. 트랜스듀서 설계
3.1 단일 트랜스듀서 설계
3.1.1 설계 트랜스듀서 종류 결정
3.1.2 트랜스듀서 공진 모드
3.1.3 최적 종횡비 결정
3.2. 배열 트랜스듀서 설계
3.2.1 단일 트랜스듀서의 상호작용
3.2.2 배열 트랜스듀서의 지향성
IV. 단일 트랜스듀서 제작 결과
V. 수중 실험 결과 및 고찰
5.1 실험 환경
5.2 트랜스듀서 특성 분석
VI. 결 론
I. 서 론
수중통신 및 탐지용으로 사용되는 음파는 데이터의 높은 신뢰도와 전송속도를 가장 중요한 성능요소로 가진다. 하지만 수중통신 시 송신부에서 발생된 음파는, 직접적으로 전달되는 음파 외에도 해수/해저면에 의한 반사, 음파전달속도 구배로 인한 경로의 휘어짐 등 다양한 경로로 수신부에 전달된다. 이러한 다중경로문제는 수신신호를 왜곡하여 수중통신에서 신뢰도 있는 데이터를 전달하는데 큰 어려움을 유발한다.[1] 이러한 문제를 해결하기 위해 수신부의 위치를 정확히 아는 경우 고지향성 음파 발생이 가능한 파라메트릭 어레이를 사용하면 큰 이점이 있다. 파라메트릭 어레이는 매질의 비선형성을 이용해 작은 면적으로 고지향성 빔이 발생되는 현상으로, Westervelt[2]에 의해 현상에 대한 이론적 해석이 처음 발표되었다. 파라메트릭 어레이 현상은 수중에서는 통신이나 고해상도 능동 소나 등에, 공기중에서는 초음파 스피커나 고지향성 거리센서 등에 활용하기 위한 많은 연구가 이루어져 왔다.[3-5]
파라메트릭 어레이는 충분히 큰 음압을 가지는 두가지 주파수 성분
,
의 신호가 매질을 진행할 경우, 매질의 비선형성에 의해서 두 가지 주파수의 차주파수음(difference frequency wave)
이 발생하는 현상을 의미한다. 이때, 차주파수음에 대해서 매질이 라인형태의 가상음원의 역할을 하므로 이를 파라메트릭 어레이라고 Westervelt[2]에 의해 명명되었고, 부엽이 없는 고지향성 특성을 가진다. 파라메트릭 어레이는 매질의 비선형성에 의해 생성된 2차 발생음을 지칭하므로 그 크기가 직접 발생된 음압에 비해 매우 작다. 이러한 2차 음파 발생을 위해서는 대부분 매질 내 라인형태의 상호작용영역을 형성시켜 주어야 하므로 사용하고자 하는 주파수 대역에서 강력한 1차 음파를 지향성 있게 발생시킬 수 있는 트랜스듀서가 필수적으로 요구된다.
기존의 파라메트릭 어레이 트랜스듀서는 1–3 복합체 구조를 사용하여 광대역의 특성을 얻을 수 있었다.[6] 광대역 트랜스듀서는 넓은 주파수 영역에서 높은 1차 음압들을 얻을 수 있어 다양한 차주파수들을 발생시킬 수 있는 장점을 가지고 있다. 하지만 트랜스듀서의 공진이 아닌 주파수를 1차 음압으로 발생시킬 경우 공진주파수에 비해 상대적으로 음압의 방사 효율이 낮다. 따라서 동일한 음압을 얻기 위해서 공진 외의 주파수에서는 공진주파수에 비해 더 많은 에너지가 필요하게 되고, 이는 파워앰프의 부하를 증가시키고 최종적으로 트랜스듀서의 전기-음향 변환 효율을 떨어뜨리게 되어, 에너지 효율이 중요한 응용사례에서는 큰 단점일 수 있다. 하나의 차주파수만을 사용한 수중 고지향 디지털 통신일 경우 2가지의 1차 음파 주파수만을 필요로 하게 되고, 이 경우 1차 음압의 주파수들을 공진주파수로 가지는 트랜스듀서 유닛들을 배열한 다공진 배열 트랜스듀서를 사용할 수 있어 기존의 광대역 트랜스듀서에 비해 효율 향상에 큰 기여를 할 수 있다.[3]
본 논문에서는 수중 통신 시 다중경로 문제가 없는 고지향성 음파 발생 방식인 파라메트릭 어레이를 위해 서로 다른 공진주파수를 가지는 트랜스듀서들을 배열한 다공진 배열 트랜스듀서의 설계 기술 개발 연구를 진행하였다. 특정 거리의 수중 통신에서 요구되는 1차 주파수 및 차주파수를 분석하여 최적 주파수를 계산하였으며, 1차 주파수의 음파 발생을 위한 유닛 트랜스듀서 및 배열 설계를 수행하여 다공진 배열 트랜스듀서 프로토타입을 제작하였다. 제작된 트랜스듀서는 12 × 18 × 10 m 크기의 수조에서 파라메트릭 어레이를 이용한 차주파수음 발생이 가능함을 확인하였다.
II. 트랜스듀서 설계인자 도출
2.1 수중 통신 목표 사양 설정
파라메트릭 어레이를 위한 다공진 배열 트랜스듀서의 설계에 앞서 먼저 목표사양을 설정하는 것이 중요하다. 본 논문에서는 파라메트릭 어레이 현상을 이용하여 발생된 단일주파수의 차주파수음으로 10 ~ 15 km 거리의 디지털 수중통신의 수행을 목표사양으로 설정하였다. 10 ~ 15 km의 거리는 주로 해저센서 클러스터 간의 통신이나 센서 클러스터와 해상 센서 노드간의 통신에 해당하며, 우리는 이를 수중 중거리 통신으로 정의하였다. 결정된 목표사양에 부합하는 트랜스듀서의 설계 인자 도출을 위해, 중거리 통신을 위한 파라메트릭 어레이 구동시스템의 최적 구동조건을 해석하였다. 파라메트릭 어레이의 최적 구동조건을 위한 해석은 목표사양 거리선정, 트랜스듀서의 방사면적 크기, 방사형태, 1차 음압 및 차주파수를 결정하는 순으로 수행한다. 본 해석에서는 10 km의 거리, 반지름 0.11 m의 원형 가우시안 음원을 방사형태로 결정하였다. 이는 파라메트릭 어레이에 사용된 기존 트랜스듀서의 크기 및 방사형태이다.[6]
파라메트릭 어레이의 차주파수음 발생을 위한 주파수 해석은 일반적으로 파라메트릭 어레이의 1차 음파의 주파수와 차주파수로 나뉘게 된다. 먼저 차주파수를 고려해야 한다. 파라메트릭 어레이의 특성상 차주파수음이 수중통신의 용도로 사용되므로 차주파수가 수중통신의 거리, 속도에 지배적인 영향을 미친다. 또한 높은 신뢰도의 통신을 위해서는 발생되는 차주파수음의 크기가 클수록 높은 성능을 보장받게 된다. 일반적으로 파라메트릭 어레이로 발생된 차주파수음의 크기는 그 주파수에 비례하는 특성을 가진다. 따라서 높은 차주파수음을 얻기 위해서는 차주파수가 높아야 한다. 하지만 차주파수가 너무 높으면 높은 감쇠효과로 먼 거리를 진행하기 어렵기 때문에 차주파수는 구동거리에 따른 최적 값으로 결정해야 한다.[4] 다음으로 1차 음파의 주파수를 고려해야 한다. 앞서 결정된 차주파수
를 발생시키기 위해서는 두 가지의 1차 음파 주파수
,
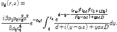
가 필요하다. 1차 음파의 주파수가 너무 높으면 감쇠효과에 의해, 너무 낮으면 음파의 회절로 인한 확산효과에 의해 1차 음파가 급격히 감소하고 차주파수음의 음원이 되는 상호작용 영역이 줄어들게 된다.[7] 따라서 1차 음파의 주파수는 1차 음파의 상호작용영역을 최대화할 수 있으며 감쇠효과는 최소화할 수 있는 최적 값으로 결정해야 한다. 따라서 위와 같이 주파수에 따른 1차 음파와 차주파수음의 발생 특성을 고려하여 파라메트릭 어레이 최적구동조건을 Fig. 1과 같이 해석하였다. 해석에는 Eq.(1)과 같이 잘 알려진 비선형 음향현상 해석모델인 KZK equation을 사용하였다.[4]


(1)
Eq.(1)은 가우시안 분포를 가지는 음원, 감쇠, 회절의 영향을 고려하며, 음향 레이놀즈 수가 작고 지향성 있는 음파의 해석에 한해 사용 가능하다. Eq.(1)에서
,
,
을 나타내며
는 차주파수음의 크기를 나타내고
,
,
은 각각 1차음파와 차주파수의 Rayleigh distance를 나타낸다.
은 해석위치가 중심축에서 벗어난 정도를 의미하므로 본 논문의 해석에서는 0의 값을 가진다. 매질은 물이며, 이에 대한 비선형계수, 밀도, 음속은 각각
= 3.65,
= 1024 kg/m3,
= 1500 m/s로 결정되었다.
,
는 1차 음파의 크기이며
는 음원의 반지름,
는 수신부와 송신부 사이의 거리,
를 나타낸다. Eq.(1)의 적분 변수인
는 중심축상의 거리를 의미한다. Eq.(1) 및 적분상한치
에 포함되어 있는
는 감쇠계수를 나타내며 Eq.(2)와 같이 표현된다.[4,7]
(2)
Eq.(2)에서
,
,
는 각각 1차 음파들과 차주파수의 감쇠계수(dB/km)를 의미하며, T는 수온, Z는 수심, S는 염도, pH는 물의 산성화정도를 나타내는 값으로, 각각 T = 20 °C, Z = 0.05 m, S = 35 ppt, pH = 8의 값을 사용하였다. 해석 변수는 1차 음파의 주파수 20 ~ 300 kHz, 차주파수 1 ~ 20 kHz이며 차주파수음의 크기를 최종 해석 결과로 결정하였다. 해석 결과, 중거리 통신영역인 10 km에서 1차 음파의 주파수는 100 ~ 250 kHz, 차주파수음의 주파수는 8 ~ 14 kHz일 때 차주파수음의 크기가 가장 크게 나타났다. 본 연구에서는 하나의 차주파수음을 필요로 하는 디지털 통신방식을 사용하므로 하나의 차주파수음을 생성시키기 위해서는 두 가지 주파수의 1차 음파가 필요하다. 따라서 해석 범위내의 주파수인 100 kHz, 110 kHz를 1차 음파의 주파수로, 10 kHz를 차주파수로 선정하였고, 유닛 트랜스듀서의 설계를 위한 공진 주파수로 결정하였다.
2.2 트랜스듀서의 구동 조건
본 연구의 목적은 파라메트릭 어레이 현상을 이용하여 고지향성 차주파수음 발생을 위한 트랜스듀서 설계 및 제작 기술 개발과 그 검증이다. 이를 위한 트랜스듀서 프로토타입을 제작함에 있어, 12 × 18 × 10 m 크기의 수조에서 성능검증이 가능한 트랜스듀서의 구동 조건을 선정하였다. 파라메트릭 어레이 현상에 의해 생성된 차주파수음은 직접 발생된 1차음파에 비해 약 40 ~ 80 dB감소된 값을 가지므로,[4] 측정 가능한 차주파수음을 얻기 위해 6.3 m 떨어진 지점에서 200 dB(re 1µPa)의 1차 음압 레벨을 트랜스듀서의 구동조건으로 선정하였다.
특정 거리에서의 1차 음압은 트랜스듀서의 방사표면 속도와 방사면적에 비례한다.[7] Fig. 2는 6.3 m 떨어진 지점에서 200 dB(re 1µPa)의 음압레벨을 얻기 위한 트랜스듀서 표면속도와 방사면적간의 관계를 계산한 결과이다. 계산은 Eq.(3)과 같이 Rayleigh integral을 이용하여 수행되었으며 Fig. 3과 같이 트랜스듀서의 형태는 원형, 트랜스듀서의 표면속도는 모두 일정하며 계산되는 음압은 y축 상에 위치한 점으로 가정하였다.[7]
, (3)
Eq.(3)에서 물의 밀도, 음속은 각각
= 1024 kg/m3,
= 1500 m/s의 값을 가지며
은 트랜스듀서 방사표면의 중심과 수신부의 거리,
,
,
는 각각 파장과 트랜스듀서의 반지름, 표면속도를 나타낸다. 해석 결과 트랜스듀서의 방사표면과 수신부와 거리, 1차 음파의 크기가 각각 6.3 m, 200 dB (re 1µPa)로 고정되어 있을 때 트랜스듀서의 방사면적과 표면속도가 반비례 관계임을 알 수 있었다. 따라서 Fig.2의 그래프 위의 한 점인 트랜스듀서의 방사표면 속도 0.6 m/s, 방사면적 1.0×10-3 m2의 값을 트랜스듀서의 구동 조건으로 결정하였다.
|
Fig. 2. The relationship between velocity and the radiation area of the transducer. |
|
Fig. 3. The geometry used to derive an acoustic field of a baffled circular plane piston of radius |
Eq.(3)은 선형 음파에 대한 내용이지만 음향 마하수(acoustic Mach number,
)가 작을 경우 1차 음파의 설계로는 약 1 % 이하의 오차를 가지며 매우 정확한 값을 나타낸다. 본 논문에서의 음향 마하수는 0.0004이며 이는 충분히 작은 값이라고 할 수 있으므로, Eq.(3)은 트랜스듀서 1차 음파의 설계를 위해 사용 가능하다.
III. 트랜스듀서 설계
3.1 단일 트랜스듀서 설계
3.1.1 설계 트랜스듀서 종류 결정
먼저 유닛 트랜스듀서는 파라메트릭 어레이의 목적에 맞게 지향성 있는 음파를 발생시킬 수 있는 피스톤 형태로 선정하였다. 일반적으로 잘 알려진 피스톤 방식의 트랜스듀서는 Tonpilz 타입, Langevin 타입, Thickness mode 타입 등 세가지가 널리 사용된다. 이러한 3가지 형태의 피스톤 트랜스듀서들은 그 물리적인 특성 때문에 Tonpilz 타입의 트랜스듀서는 일반적으로 약 1 ~ 50 kHz, Langevin 타입의 경우 10 ~ 500 kHz, Thickness mode 타입의 경우 50 kHz ~ 2 MHz의 주파수 범위에서 공진주파수를 갖도록 설계되어 사용되고 있다.[8] 이 중 Tonpilz 타입의 트랜스듀서는 중거리 수중 통신을 위한 최적 주파수 범위에 포함되지 않으므로 고려하지 않았다. Thickness mode 타입의 트랜스듀서는 방사표면의 속도가 위치에 따라 다른 값을 가진다. 서로 다른 방사표면 속도는 2.2절에서 결정된 트랜스듀서의 표면속도와 방사면적의 관계를 만족시킬 수 없으며, Tonpilz 타입이나 Langivin 타입의 트랜스듀서와 비교해 공진에서의 효율이 낮아 본 연구에서는 제외시켰다. 따라서 중거리 수중 통신을 위한 트랜스듀서로 Langevin 타입의 트랜스듀서를 선택하였다. Langevin 트랜스듀서의 구조는 압전세라믹 양쪽에 알루미늄 소자들을 볼트로 압전체에 잔여응력을 갖도록 체결하여 완성한다.[8] Langevin 트랜스듀서의 공진주파수는 압전세라믹의 양쪽에 결합하는 Head 파트와 Tail 파트의 길이에 의해 결정되기 때문에 본 연구의 주파수 대역인 100 ~ 110 kHz에서 사용가능하다.
3.1.2 트랜스듀서 공진 모드
길이방향 공진모드를 이용하는 Langevin 트랜스듀서의 도식도는 Fig. 4(a)와 같고 이는 Fig. 4(b)와 같이 각 파트를 Mason의 등가회로 모델로 표현 가능하다. 모델에 사용된 임피던스 및 변환상수 N은 Eq.(4)와 같다.[8] Eq.(4)에서
는 단면적을 의미하며,
,
,
,
은 각 파트의 밀도, 음속, 파수, 두께를 나타낸다.
는 압전 상수,
는 압전소자의 compliance를 나타낸다. Langevin 트랜스듀서의 Head 파트와 Tail 파트에 각각 물과 공기가 맞닿은 경계조건을 가지고 있다.
Fig. 4(b)의 모델을 사용하여 100 kHz 와 110 kHz의 길이방향 1차 공진을 가지는 Langevin 트랜스듀서의 Head 파트와 Tail 파트의 길이를 계산하였다.[8] Head 파트와 Tail 파트는 알루미늄이며 압전소자는 국내 “경원 훼라이트”에서 제공하는 kp–14를 사용하였고 두께는 3 mm이다. 계산 결과 Fig. 5와 같이 나타남을 알 수 있으며, Head파트와 Tail 파트의 길이가 동일하다고 할 때 약 8 ~ 9 mm의 값을 가지는 것을 알 수 있다. 이는 가공 및 제작 시 구현이 힘든 크기이며 방사면적 또한 작아지게 된다. 작아지는 방사면적을 키우게 되면 트랜스듀서의 단면적이 커지게 되고, 이는 트랜스듀서 종횡비에 따라 발생하는 진동모드에 의해 고차의 횡방향 모드가 1차 길이방향 진동모드의 주파수 주변에 발생할 가능성이 크다. 따라서 Langevin 트랜스듀서의 2차 길이방향 공진모드를 고려하였다. 2차 공진모드는 1차 공진모드에 비해 트랜스듀서의 길이가 길어지고 단면적의 크기가 넓어져 충분한 음향방사면적을 얻을 수 있으므로 트랜스듀서의 2차 길이방향 공진모드를 선택하였다.
3.1.3 최적 종횡비 결정
2차 길이방향 공진모드로 구동하는 Langevin 트랜스듀서의 방사면적을 결정해야 한다. 앞서 목표음압을 발생시키기 위한 트랜스듀서 전체의 방사면적을 1.0 × 10-3 m2로 결정하였다. 이 값을 만족시키기 위한 단일 트랜스듀서의 방사면적 및 트랜스듀서 개수를 결정할 때, 넓은 방사면적을 가지는 유닛 트랜스듀서를 적은 개수로 배열할수록 유닛 트랜스듀서 간 균일성에서 발생되는 오차를 감소시킬 수 있을 뿐 아니라 제작 비용적 측면에서도 유리하다. 그러나 방사면적이 넓어질수록 횡방향 모드가 발생하게 될 뿐 아니라[9, 10] 방사면과 파장의 비가 커지면 각 음원의 지향성이 커지게 되고 이는 음원들 사이의 상호작용 현상이 떨어져 배열 트랜스듀서 전체의 성능이 감소한다.[11] 따라서 설계 주파수 영역에서 횡방향 모드가 발생하지 않으며, 유닛 트랜스듀서 사이의 충분한 상호작용 현상이 발생하도록 트랜스듀서의 방사면적을 결정해야 한다. 앞서 사용된 Fig. 4의 Mason 등가회로는 횡방향 모드가 포함되지 않았기 때문에 트랜스듀서의 방사면적과 관련된 해석에는 사용할 수 없다.[8] 따라서 상용 유산요소 해석도구인 COMSOL Multiphysics를 사용하여 Langevin 트랜스듀서의 최적 종횡비를 결정하였다. Fig. 6(b)는 해석 결과를 나타낸다.
해석 조건으로 Fig. 6(a)와 같이 트랜스듀서는 방사면적이 원형인 Langevin 형태이며, 각 파트의 물성치는 3.1.2절에서 사용한 것과 동일하다. 압전 세라믹은 2개를 마주보게 배치하였으며 서로 마주 본 접촉면을 +신호에, Head 파트와 Tail 파트와의 접촉면에 접지신호를 연결하였고, 볼트를 사용하여 각 파트를 서로 연결하였다. 해석 방법은 방사표면 중심속도를 관찰하여, 트랜스듀서의 2번째 공진주파수가 100 kHz를 만족할 때 반지름을 변화시키며 횡방향 고차모드의 발생유무 및 발생위치를 확인하였다. 해석 결과 Fig. 6(b)와 같이 반지름이 6 ~ 12 mm로 증가할수록 횡방향 고차모드의 발생주파수가 낮아지며, 12 mm의 반지름에서 길이방향 2번째 공진주파수인 100 kHz 이하에서 횡방향 모드가 발생하는 것을 확인하였다. 따라서 앞서 설계된 0.6 m/s의 방사표면 속도를 만족하면서 방사면적이 1.0 × 10-3 m2을 만족하며, 높은 음향방사효율을 가지고 횡방향 고차모드가 120 kHz 이상에서 발생하는 트랜스듀서의 반지름으로 결정하였다. 결정된 트랜스듀서의 최종 치수는 Fig. 7(a)와 같으며, 각 트랜스듀서의 방사표면에서의 속도그래프는 압전세라믹에 300 V 전압을 인가하였을 때 Fig. 7(b)와 같이 공진주파수에서 0.6 m/s의 속도를 확인할 수 있었다. 그러나 단일 트랜스듀서 하나의 방사면적으로는 설계상의 방사면적의 목표를 만족시킬 수 없으므로 다수의 단일 트랜스듀서를 사용해야 한다. 사용된 트랜스듀서의 개수로는 100 kHz 트랜스듀서 7개, 110 kHz 트랜스듀서 12개를 사용하였으며 각 트랜스듀서의 방사면적은 0.929 × 10-3 m2, 1.14 × 10-3 m2으로 2.2절의 설계치인1.0 × 10-3 m2와 유사함을 확인하였다.
|
(a) |
|
(b) |
Fig. 6. Finite element method (FEM) simulation condi-tions (a) and the normalized velocity curve at point A (b) for the optimum aspect ratio of a Langevin transducer. |
3.2. 배열 트랜스듀서 설계
3.2.1 단일 트랜스듀서의 상호작용
파라메트릭 어레이의 출력을 향상시키기 위한 방안으로 트랜스듀서 유닛들의 상호작용을 고려해야 한다. 일반적으로 원형의 피스톤 운동을 하는 2개의 트랜스듀서(Unit 1, Unit 2)가 무한 평판 위에 있을 때 각각의 트랜스듀서가 무한 평판 위에 발생시키는 음압의 분포를 Eq.(2)를 이용하여 Fig. 8(a)와 같이 정규화하여 나타낼 수 있다.[7] 이때 선택 영역 A와 같이 Unit 1과 Unit 2의 트랜스듀서가 발생하는 음압이 모두 양의 음압 범위에 위치하도록 배치할 수 있다. 이러한 배치방법을 이용하면 Unit 1의 트랜스듀서가 발생시킨 음압과 Unit 2의 트랜스듀서가 발생시킨 음압이 A영역에서 서로 중첩되므로, Unit 1의 트랜스듀서만으로 발생시킨 음압에 비해 총 음압이 증가하게 되어 두 트랜스듀서 사이의 상호작용을 극대화할 수 있다. 이 방법을 이용하여 Fig. 8(b)와 같이 설계된 100 kHz와 110 kHz 트랜스듀서의 평판에서의 음압분포를 해석하였다. 계산결과 100 kHz의 트랜스듀서는 0.01875 m, 0.036 m 지점에서 2번째, 3번째 양의 음압이 계산되었으며, 110 kHz의 트랜스듀서는 0.017 m, 0.031 m 지점에서 2번째, 3번째 양의 음압이 계산되었다. 4번째 발생되는 양의 음압은 그 크기가 미약해 상호작용에 영향을 미치지 않을 것으로 판단되어, 본 연구에서는 무시하였다.
Fig. 8의 해석 결과로 단일 트랜스듀서 사이의 상호작용이 일어날 수 있는 거리를 계산할 수 있었다. 그러나 계산된 결과는 트랜스듀서가 2개일 경우에 해당하는 값으로, 100 kHz와 110 kHz 유닛이 동시에 배열되는 경우와 유닛배열이 2차원 면배열일 경우에는 배열 방법 및 거리가 더욱 복잡해진다. 또한 배열방법에 따라서 지향성을 고려해야 하므로, 최종 배열방법 및 유닛 사이의 거리는 3.2.2절에서 제시될 지향성 해석을 통하여 결정하였다.
|
(a) |
|
(b) |
Fig. 8. Simulation of the pressure relation between units 1 and 2: (a) normalized real pressure on an infinite rigid plate; (b) pressure distribution of the unit transducers. |
3.2.2 배열 트랜스듀서의 지향성
파라메트릭 어레이를 위한 배열 트랜스듀서 설계시 고려해야 할 또 다른 요소는 지향성이다. 파라메트릭 어레이는 1차 음파를 빔 형태로 발생시켜 차주파수음의 가상음원을 매질에 발생시킨다. 이를 위해서는 1차 음파의 주엽이 확산현상을 일으키는 거리인 Rayleigh length까지 지향성 있게 음파가 형성되어야 하며, 이 영역을 매질의 상호작용 영역이라고 부른다.[4] 차주파수음의 지향성은 가상의 라인형태의 음원으로 작용하는 상호작용 영역의 형태에 따라 결정된다. 따라서 차주파수음의 높은 지향성을 가지기 위해서는 배열된 다공진 트랜스듀서에서 발생되는 100 kHz, 110 kHz의 1차 음파들이 높은 지향성을 가져야 한다. 또한 차주파수음의 부엽이 발생되지 않기 위해선 각각의 1차 음파의 부엽이 겹치지 않아야 하며, 각각의 부엽과 주엽이 일정 이상의 레벨차를 가져야 한다. 따라서 배열 트랜스듀서의 지향성 향상을 위해 배열방법, 배열거리를 변수로 이용하여 최적 지향성에 대한 해석을 수행하였다.
먼저 트랜스듀서의 배열 방법에 대해 해석하였다. 일반적인 배열방법으로는 Fig. 9(a)와 같이 사각배열법과 육각배열법이 있다. 동일한 개수의 트랜스듀서를 사용하여 Fig. 9(a)의 조건에서 빔 패턴을 분석한 결과 Fig. 9(b)와 같이 육각배열법을 사용했을 때의 부엽의 크기가 사각배열법보다 약 10 dB 감소함을 확인하였다. 따라서 본 연구에서의 트랜스듀서 배열방법은 육각배열법으로 결정하였다.
다음으로 트랜스듀서 유닛 사이의 간격에 대해 해석하였다. Fig. 10(a)와 같이 7개의 유닛을 d 간격으로 육각배열한 뒤 간격 d를 0.03 ~ 0.07 m로 변화시키며 지향성을 해석 하였다. 해석 결과 유닛 사이의 간격이 넓어질수록 부엽이 증가함을 확인할 수 있었다. 따라서 앞서 결정된 100 kHz 트랜스듀서 7개, 110 kHz 트랜스듀서 12개를 육각배열법을 사용하여 배열하되, 유닛 사이의 거리는 상호작용 해석에서 계산된 거리 중 최단거리를 사용하였다. 그 결과 Fig. 11의 배치 방식을 적용하였을 때, 제작 가능범위 내에서 음압과 지향성이 향상됨을 확인할 수 있었다.
IV. 단일 트랜스듀서 제작 결과
Figs. 6과 7의 설계치수 및 제작방법을 토대로 100 kHz 트랜스듀서 유닛을 7개, 110 kHz 트랜스듀서 유닛을 12개 제작하였고 성능평가를 위해 임피던스 분석기(Agilent 4294A)를 사용하여 제작된 트랜스듀서의 컨덕턴스 그래프를 분석하였다. 컨덕턴스는 어드미턴스의 실수값으로서 공진주파수의 위치와 트랜스듀서에 1 V 전압을 인가했을 때 소모되는 전류량을 측정하여 알 수 있다. Fig. 12(a)는 제작된 100 kHz 유닛 트랜스듀서 및 수중에서 측정된 컨덕턴스 결과를 나타내며 Fig. 12(b)는 제작된 110 kHz 유닛 트랜스듀서와 수중에서 측정된 컨덕턴스 결과를 나타낸다.
100 kHz 유닛 트랜스듀서의 해석 결과 101.4 kHz 공진주파수와 2.24 mS의 컨덕턴스 값을 얻을 수 있었고, 측정 결과 평균 100.35 kHz 공진주파수와 0.334 kHz의 표준편차, 평균 2.27 mS의 컨덕턴스 값과 0.05 mS의 표준편차를 얻을 수 있었다. 또한 110 kHz 유닛 트랜스듀서의 해석 결과는 114 kHz의 공진주파수와 2.08 mS의 컨덕턴스 값을 얻을 수 있었고, 측정 결과 평균 115.36 kHz 공진주파수와 0.637 kHz 표준편차, 평균 1.66 mS의 컨덕턴스 값과 0.06 mS의 표준편차를 얻을 수 있었다. 해석값은 Fig. 6(a)와 같은 상용 FEM 툴인 COMSOL Multiphysics를 이용하였다.
| |
(a) | |
| |
(b) | |
Fig. 12. The fabricated transducer units and conduc-tance curves of (a) 100 kHz and (b) 110 kHz Units. | |
측정값과 해석 값을 비교한 결과 100 kHz 유닛의 공진주파수와 컨덕턴스 값은 각각 1 %, 2 % 이하의 오차를 가지는 것을 확인하여 설계치와 측정치가 만족스러운 수준으로 일치함을 확인하였다. 110 kHz 유닛의 공진주파수는 Fig. 12(b)와 같이 1 %의 오차를 가지지만, Fig. 12(a)와는 반대로 해석값과 비교해 약 1 ~ 2 kHz 상승된 결과를 보여준다. 이는 트랜스듀서의 조립 과정에서 가해지는 과도한 초기응력에 의한 것으로 추정된다. 또한 컨덕턴스 값은 설계치와 측정치가 약 20 %의 오차를 가지는 것을 볼 수 있는데, 이는 트랜스듀서의 제작 오차 및 방수처리를 위한 트랜스듀서 표면의 우레탄의 기계적 저항이 컨덕턴스 오차의 요인으로 추정된다.
V. 수중 실험 결과 및 고찰
5.1 실험 환경
제작된 트랜스듀서 유닛을 Fig. 11의 배열방법을 이용하여 배열 트랜스듀서를 제작하였고 그 성능을 검증하였다. 수중 실험을 위해 사용한 케이스와 유닛 트랜스듀서 사이에 오링을 사용하여 유닛 트랜스듀서의 경계조건을 해석과 유사한 조건으로 제작하였으며, 3 mm 두께의 우레탄을 이용하여 배열 트랜스듀서의 표면처리 및 내부수밀처리를 실시함으로써 실험에 필요한 방수조건을 만족시켰다. Fig. 13은 제작된 트랜스듀서를 나타낸다.
|
Fig. 13. Multi-resonance transducer array. |
|
Fig. 14. Parametric array measurement system for a transducer array in a water tank. |
제작된 배열 트랜스듀서의 성능검증을 위한 수중 실험 환경은 Fig. 14와 같다. 회전운동 스테이지 및 선형운동 스테이지가 설치되어 있는 12 × 18 × 10 m 크기의 수조에서 실험이 진행되었다. 차주파수음을 생성하기 위해선 서로 다른 두 개의 1차 주파수 성분이 필요하므로, 두 개의 신호를 발생시킬 수 있는 함수 발생기를 사용하여 파워 앰프(HSA4052, NF)에 인가하였다. 파워 앰프에 의해 증폭된 신호는 제작된 배열 트랜스듀서에 인가되어 수중에 1차 음파를 발생시킨다. 1차 음파와 매질의 비선형성에 의해 생성된 차주파수음은 하이드로폰(TC4040, Reson)을 이용해 측정되고, 측정된 신호는 밴드 패스 필터(Model 3944, KROHN-HITE)를 통해 원하는 주파수 이외의 성분을 필터링 한 후 디지털 오실로스코프를 사용해 신호크기를 측정하였다.
Fig. 14와 같은 파라메트릭 어레이의 근접영역 측정에서는 음향 필터를 이용한 높은 1차 음압의 제거가 매우 중요하다. 이는 높은 1차 주파수의 영향으로 인해 하이드로폰에서 비선형 현상이 발생하고, 이로 인해 측정값에 큰 오차가 발생하기 때문이다.[12,13] 실험에 사용된 음향필터의 재질은 알루미늄(Al6061)이며 700 × 700 × 12 mm3의 크기를 가진다. 이 음향필터의 성능은 1차 음파 영역인 100 ~ 110 kHz 주파수 영역에서 -16 dB, 차주파수인 10 kHz에선 약 -3 dB의 필터링 성능을 보여준다.
5.2 트랜스듀서 특성 분석
파라메트릭 어레이를 이용한 차주파수음 발생을 위해선 높은 1차 음파가 필요하므로, 설계되었던 공진주파수 2개를 이용하여 하나의 차주파수음을 발생시켜야 한다. 이를 위해 먼저 수중에서 TVR (Transmit Voltage Response) 곡선을 측정하여, 수중에서의 트랜스듀서의 공진주파수의 위치 및 트랜스듀서의 레벨을 파악하였다. Fig. 15는 배열 트랜스듀서의 TVR 곡선을 나타낸다.
측정결과 100 kHz와 115 kHz에서 설계 공진이 나타남을 확인하였다. 이 값은 해석 결과상의 101 kHz와 114 kHz에 비해 1 kHz의 오차를 가지고 있다. 또한 공진주파수에서의 레벨차는 해석결과와 비교해 약 -1 ~ -3 dB 의 오차가 있음을 확인하였다. 이 값은 배열 트랜스듀서 제작시 표면처리된 우레탄과 케이스 사이의 오링의 기계적 저항값의 결과라고 판단된다. 측정된 공진주파수가 각각 100 kHz와 115 kHz이므로 각각의 공진주파수에서의 빔패턴과 전파곡선 특성을 측정하고 해석 결과와 비교하였다. 그리고 공진주파수들을 이용하여 15 kHz의 차주파수음을 발생시켜 빔패턴 및 전파곡선 특성을 측정하였고, 측정결과를 KZK equation을 이용한 수치해석 결과와 비교하였다. KZK equation은 파라메트릭 어레이 현상을 해석하는데 주로 사용되는 비선형 음향 빔 모델 방정식이다.[14] Fig. 16은 배열 트랜스듀서의 전파곡선 측정값 및 해석 결과이다.
그래프에 나타난 실선은 100 kHz, 115 kHz, 15 kHz 에 대한 KZK 해석의 결과이며 점선으로 표시된 그래프는 실제 측정된 결과이다. 측정결과 6.3 m 거리에서 약 190 dB (re 1µPa)의 1차 음압을 측정하였다. 이 값은 2.2절에서의 설계목표인 6.3 m 거리에서 200 dB (re 1µPa)에 비해 약 10 dB 낮은 음압이다. 이는 실험에 사용된 파워앰프의 용량의 한계로 인한 오차이다. 3.1.3절의 설계에서 사용된 전압은 300 V이지만, 왜곡 없는 증폭을 위한 파워앰프의 한계는 200 V이고, 이를 측정에 사용하였기 때문에 설계목표와 비교해 약 10 dB의 오차가 발생하였다. 그러나 Fig. 16의 1차 음압에 대한 해석 그래프는 구동전압을 200 V로 하여 계산한 것으로, 실험결과와 비교해 일치함을 확인하였다. 따라서 배열 트랜스듀서를 300 V로 구동한다면 설계목표인 200 dB(re 1µPa)와 유사한 측정값을 가짐을 예측할 수 있었다.
|
Fig. 15. Transmitting voltage response (TVR) curve of a transducer array. |
|
Fig. 16. Propagation curve of a transducer array. |
측정된 1차 음파의 전파곡선을 기준으로 KZK equation을 이용하여 차주파수음의 해석을 수행하였다. 생성된 차주파수음의 전파곡선 또한 해석 결과와 일치함을 확인할 수 있었다. Fig. 17은 빔 패턴의 측정값 및 해석 결과를 나타낸다.
Fig. 17(a)와 (b)는 트랜스듀서에서 6.3 m 떨어진 거리에서의 1차 음파의 빔 패턴 측정결과와 해석 결과를 나타낸다. 각 공진주파수의 주엽과 부엽의 특성이 해석 결과와 잘 일치함을 확인할 수 있었다. 또한 각 공진주파수에서 발생된 빔 패턴의 부엽이 서로 겹치지 않으며 겹치는 부분인 20 ~ 30°에서의 레벨차이가 약 -7 dB 이상 발생하는 것을 확인할 수 있었다. Fig. 17(c)는 생성된 차주파수음의 빔 패턴을 나타내고 있다. 측정된 값은 해석 결과와 잘 일치함을 확인할 수 있었다. KZK equation을 이용한 해석결과는 –15 ~ +15° 의 범위만 수행하였는데, 이는 KZK equation모델 방정식이 지향성이 큰 음향 빔의 비선형 효과를 주로 보여주는 근사 모델이기 때문에 15° 이상 범위에서는 오차가 크게 발생하기 때문이다.[14]
VI. 결 론
본 논문에서는 파라메트릭 어레이를 위한 음원의 설계 및 제작 기술 개발 연구를 위해 Langevin 트랜스듀서를 이용한 다공진 배열 트랜스듀서를 설계 및 제작하였으며 그 특성을 측정해 보았다. 파라메트릭 어레이 현상을 위한 최적 주파수로써 100 kHz, 110 kHz의 1차음파와 10 kHz의 차주파수를 선정하였으며, 이를 위한 트랜스듀서로써 2차 길이방향 공진을 이용한 Langevin 트랜스듀서를 사용하였다. 단일 트랜스듀서의 최적 종횡비를 결정하여 횡방향 모드가 설계영역을 벗어나게 하였으며 단일 트랜스듀서 사이의 상호작용을 극대화하는 배열방법으로 최적의 배열특성을 구현하였다. 제작된 배열 트랜스듀서의 1차 음파와 차주파수음에 대한 TVR, 전파곡선 및 빔 패턴에 대한 해석을 수행하였으며, 수조환경에서 측정하여 이를 비교하였다. 측정결과15 kHz, 8° half power beamwidth의 고지향성 저주파 발생 및 6.3 m 거리에서 각각 189 dB, 190 dB의 1차 음파와 134 dB의 차주파수음을 확인하였으며 해석결과와 잘 일치함을 확인하였다. 본 연구에서 확인한 트랜스듀서 프로토타입을 근거로, 파라메트릭 어레이를 위한 음원의 설계 및 제작기술을 확립할 수 있었으며 추후 더욱 발전된 트랜스듀서를 이용하여 수중 고지향 중거리 통신이 가능할 것으로 판단된다.






.
























