I. 서 론
II. 연구 방법
2.1 이명 소리
2.2 이명 평가 척도
2.3 이명 억제 음악
2.4 음악 크기 설정
2.5 연구 대상자
2.6 실험 순서 및 방법
III. 결 과
3.1 음악의 유형별 이명 억제 효과
3.2 음악 유형간 이명 억제 효과의 차이
IV. 토 의
V. 결 론
I. 서 론
이명(Tinnitus)은 외부의 청각 자극이 없는 상황에서 귀 혹은 머리 안에서 소리를 듣게 되는 상태이며 정상 인구의 약 10 % ~ 15 %가 이명 증상을 경험한다.[1]
이명 치료에는 외과적 수술, 약물 치료, 이명 재훈련 치료, 음악 치료 등 다양한 방법이 있다. 그 중 이명 소리를 차폐하거나 이명 소리를 감소시키는 이명 재훈련 치료(76.7 %), 소리 치료(73.3 %), 음악 치료(23.3 %)와 같은 소리를 이용한 비 침습적, 보존적 치료 방법이 높은 비율을 차지하고 있다.[2]
소리 치료는 처음부터 이명 환자에게 적용하는 경우 보다, 다른 치료, 주로 약물 치료가 효과가 없을 때, 혹은 불안 점수가 높은 때 고려된다.[2] 백색 잡음, 핑크 잡음, 음악, 주변 환경 소리 등이 이명 치료에 유용하다고 알려져 있다.[3]
음악은 이명 차폐 또는 억제를 위해 효율적인 음향 자극으로 다양한 형태로 이명 치료에 활용되고 있다.[1,3,4,5] 음악은 이명으로부터 주의를 환기시키며, 심신의 안정을 유도할 수 있기 때문에, 종종, 장기적인 이명 관리에 권장된다. 이명에 대한 음악의 임상적인 활용도가 높지만, 아직 이명 치료를 위한 음악의 명확한 선정 기준이 없다.[6]
최적화된 이명 치료 또는 억제 음악을 선정하기 위해서는 음악의 구성 요소가 이명에 미치는 효과를 이해하는 것이 필요하다. 장음계 음악이 단기적으로 이명의 거슬림을 감소하는 효과를 보이며,[7] 혼돈 이론을 기반으로 선율의 음 높이와 리듬을 결정하여 제작된 비 반복적 음악이 이명을 완화하는 효과가 있음이 확인되고 있다.[8,9] 이와 같이 선행 연구를 통해 음악의 구성 요소 중 빠르기, 선법, 조성, 박자, 선율, 음 높이, 리듬에 대한 이명 치료 효과가 보고된 적은 있으나, 음악의 핵심 요소인 화성을 고려한 연구는 진행된 바가 없다.[7,8,9]
본 연구에서는 음악에서 화성의 이명 억제 효과에 대해 실험적으로 관찰하고자 한다. 실험에서는 이명 억제 효과가 있는 곡을 선정하여, 화성부의 포함 여부에 따라 이명을 억제하는 효과를 비교 분석하여, 화성이 이명 억제에 미치는 효과를 평가하고 토의했다.
II. 연구 방법
음악이 이명을 억제하는 효과를 평가하기 위해서는 이명 환자를 대상으로 실험을 수행해야 한다. 그러나 본 실험은 화성의 이명 억제 효과에 대한 사전 기초 연구로, 정상 청력을 가지는 일반 성인에게 이명 소리와 함께 화성부를 포함하거나 배제하는 조합의 음악을 함께 들려주면서 이명의 억제 효과를 평가했다. 본 실험에서 이명의 억제 효과는 이명 소리로 인한 거슬림으로 평가했다.
2.1 이명 소리
실험에서 사용된 이명 소리는 이명 진단 및 치료 관련 선행 연구를 통해, 이명 증상 중 가장 많은 것으로 보고된 주파수 4 kHz 순음이 50 dB SPL(Sound Pressure Level) 크기를 가지는 것으로 선택했다.[10,11,12,13,14,15,16] 이명 소리의 음원은 MATLAB(Math Works, Inc., USA)을 사용하여 생성했다.
2.2 이명 평가 척도
이명으로 인한 불편함은 주관적인 느낌으로, 정량적인 평가가 쉽지 않다. 본 연구에서 이명의 억제 효과는 이명 소리로 인한 불편한 느낌을 ‘거슬림’ 척도로 평가했다. 이명 소리에 의한 ‘거슬림’은 이명의 심각도 및 이명에 의한 우울, 불안 등의 증상과 관련되어 있는 것으로 알려져 있다.[17]
연구 대상자가 느끼는 이명 소리로 인한 거슬림 척도(Tinnitus Annoyance Scale, TAS)를 평가하기 위해, 본 실험에서는 의미 분별법(Semantic Differential Method, SDM)을 사용했다. 실험에서 사용된 평가 척도는 두 가지로 구분된다(Fig. 1).
척도 A(TAS)는 이명 소리와 함께 음악을 청취할 때 이명 소리의 거슬림을 평가한다. 연구대상자는 청취된 소리에 대한 거슬림을 ‘전혀 거슬리지 않음(not annoying)’(0), ‘약간 거슬림(slightly annoying)’(2.5), ‘적당히 거슬림(moderately annoying)’(5), ‘꽤 거슬림(pretty annoying)’(7.5), ‘아주 거슬림(extremely annoying)’(10)의 스케일 상에 표시한다[Fig. 1(a)].
척도 B(relative TAS, rTAS)는 이명 소리와 함께 두 유형의 음악을 들을 때, 상대적인 거슬림을 평가한다. 연구대상자는 첫 번째 음악에 비해 두 번째 음악을 들을 때 이명 소리로 인한 거슬림이 얼마나 더 심한지 여부를 ‘아주 덜 거슬림(very less annoying)’(–10), ‘덜 거슬림(less annoying)’(–5), ‘차이 없음(no difference)’ (0), ‘더 거슬림(more annoying)’(+5), ‘아주 더 거슬림’ (+10)의 스케일 상에 표시한다[Fig. 1(b)].
2.3 이명 억제 음악
본 실험에서 사용된 음악은 선율부와 화성부를 포함하는 음악 중에서 선정했다. 화성의 효과를 확인하기 위해, 음악의 수직적 구조인 화성이 강조된 음악인 Brandenburg concerto no. 3, G major(J. S. Bach)를 후보로 선정했다. 선택된 음악이 이명 억제 효과가 있는지를 평가하기 위해 이명 치료에 보편적으로 사용되는 백색 잡음과 비교했다. 비교 평가에 사용된 백색 잡음 및 음악의 크기는, 아래의 2.3에서 기술하는 방법으로 설정했다.
이명 치료에서 소리 또는 음악의 청취 시간에 대한 기준이 없기 때문에,[2,5,6] 본 연구에서는 이명 관련 연구 중 소리 자극을 제시했던 선행연구를 참조하여 음악의 길이를 1 min으로 설정했다.[18,19,20]
(평가1) 본 실험에 참여하는 연구 대상자(N = 25)에게 이명 소리를 들려주면서 3종류의 소리(무음, 백색 잡음, 음악)중 하나를 함께 60 s간 들려준 후 이명 소리에 대한 TAS(0 ~ 10)를 평가를 하도록 했다. 실험 결과, 이명 소리만 청취할 때(이명 + 무음) 는 평균적으로 보통 이상의 거슬림을 느끼나(TAS = 6.04 ± 1.43), 백색 잡음 또는 음악을 함께 청취할 때는 거의 거슬리지 않은 상태(TAS = 3.2 ± 1.7 for the music, 2.95 ± 1.95 for white noises)로 평가되고 있다(Table 1).
Table 1.
TAS rated by 25 adults with normal hearing, when listening to the tinnitus sound only and together with white noises or the music for 60 s.
| Sound | TAS | p value | |
| mean | SD | ||
| tinnitus sound only | 6.04 | 1.43 | - |
| + white noise | 2.95 | 1.95 | 0.000*** |
| + music | 3.20 | 1.70 | 0.000*** |
(평가2) 이명 소리와 백색 잡음을 60 s 동안 함께 들려주다가, 백색 잡음을 음악 소리로 바꾸어 들려주었을 때, 백색 잡음과 함께 청취한 이명 소리의 거슬림이 음악과 함께 청취할 때 보다 얼마나 더 거슬리는 지를 평가했다. 실험 결과, 백색 잡음과 음악은 서로 이명 소리의 거슬림 감소 효과가 거의 차이가 없는 것으로(rTAS = 0.66 ± 3.98, p = 0.428) 나타났다.
실험1, 2의 평가 결과로 부터, 선정된 음악은 임상에서 보편적으로 사용되는 백색 잡음과 유사한 정도로 이명 억제 효과가 있는 것으로 확인되었다.
선정된 음악은 시작부터 1 min 정도를 추출한 원곡, 원곡에서 주 선율부로 구성된 음악 및 화성부 만으로 구성된 음악과 같이 총 3개의 음악으로 구분된다. 부록은 원곡 악보의 처음 부분(1 ~ 2 마디), 중간 부분(24 ~ 25 마디), 끝 부분(43 ~ 44 마디)을 보여준다. 본 실험에서 사용된 선율부는 원곡에서 바이올린의 세 성부 중 주선율을 연주하는 제1바이올린(Violin 1st)의 단성 선율로 설정했다. 화성부는 원곡에서 바이올린이 연주하는 모든 선율부를 제외한 부분이다(부록). 선율을 담당하는 Violin 2nd 및 3rd 성부는 선율부로 설정한 Violin 1st 성부와 동일하거나(1 ~ 2 마디), 주 선율부의 화성이거나(24 ~ 25 마디), 화성부와 동일한 리듬으로 연주(43 ~ 44 마디)되는 형태로, 화성부와 선율부를 연결하는 역할을 한다. Violin 2nd 및 3rd 성부는 선율 및 화성적인 요소를 모두 포함하기 때문에, 선율부 및 화성부에서 제외했다.
선정된 음악 Brandenburg concerto no. 3, G major(J. S. Bach)은 현악 합주곡이기 때문에, 음색의 차이에서 오는 효과를 최소화하기 위해 음원 제작 시 모든 현악기의 음역을 연주할 수 있는 피아노를 사용하여 음색을 하나로 통일했다. 3가지 유형의 음악에 대한 소리 음원은 악보 및 음원 제작이 가능한 Finale (MakeMusic, Inc., USA)를 사용하여 제작했다.
2.4 음악 크기 설정
아직 이명 억제 음악의 크기에 대한 기준이 없는 실정이다.[5,6,7,8,9] 본 연구에서는 연구 대상자에게 들려주는 음악의 크기를 설정하기 위해 이명의 재훈련 치료에서 혼합점(Mixing point)[21,22]의 개념을 적용했다.
연구 대상자에게 고정된 크기의 이명 소리(50 dB SPL)를 들려준 상태에서, 백색 잡음의 크기를 서서히 증가시킬 때 연구 대상자가 듣는 이명의 양상(크기, 소리 등)이 변하는 최초의 지점인 혼합점에서의 백색 잡음 크기(dB SPL)를 측정했다. 측정된 백색 잡음의 크기와 동일하게 음악 소리의 평균 크기를 설정했다. 연구 대상자 25명에 대해 혼합점은 평균 62.7 ± 3.3 dB SPL로 측정되었다.
2.5 연구 대상자
이명 병력이 없고 정상 청력을 가진 성인 25명을 선정했다. 청력 검사 및 우울과 불안 정도에 대해 측정을 하여 불안과 우울 수치가 높은 대상자는 실험에서 제외했다. 연구 대상자의 제외 조건을 확인하기 위해 청력 검사와 불안과 우울 수치를 평가하여 정상 범위에 있는지를 확인했다. 청력 검사는 청력 검사계(120 Audiometer, Beltone, USA)를 사용하여 수행했으며, 불안과 우울 검사는 Beck 우울 척도(Beck Depression Inventory, BDI)[23]와 Beck 불안 척도(Beck Anxiety Inventory, BAI)[24]를 사용했다. 본 실험은 제주대학교병원 연구윤리심의위원회 심의 및 허가를 받아 수행했다(JEJUNUH 2018-10-010).
2.6 실험 순서 및 방법
실험에서 고려된 3가지 종류 의 음악(1. 원곡, 2. 선율부, 3. 화성부)에 대한 이명 억제 효과를 평가하기 위한 실험 방법 및 순서는 Fig. 2에 도시되어 있다. 실험에 참여하는 연구 대상자는 이명 증상이 없기 때문에, 음악을 청취하기 전 30 s 동안 이명 소리만을 듣게 하여 이명 소리를 인지하도록 했다. 실험은 외부의 소음의 영향이 적은 공간에서 수행했다(배경 소음: 25.8 dB). 실험은 2단계로 구성된다.
(1단계) 이명 소리와 함께 3가지 유형의 음악을 들려주면서 연구 대상자가 느끼는 이명 소리의 거슬림을 평가한다. Fig. 2(a)에서 도시하는 것처럼, 음악을 들려주기 30 s 전에 먼저 이명 소리를 들려주고, 이후 1 min 동안 이명 소리와 음악을 같이 들려주면서 이명 소리의 거슬림 정도 (TAS)를 평가하도록 한다. 1단계 실험을 통해 음악에 대한 이명 소리의 거슬림에 대한 절대적인 평가 결과를 얻는다. 이러한 결과는 연구 대상자의 거슬림에 대한 주관적인 기준과 성향에 좌우되기 때문에, 다수의 연구 대상자들의 평가 결과를 산술적으로 통합하여 산출한 TAS의 기술적 통계량 에 대한 신뢰성이 저하될 수 있다. 연구 대상자의 TAS 평가에 대한 개인별 성향의 차이를 줄이기 위해 2단계 실험을 통한 상대적인 평가를 수행한다.
(2단계) 3종류 음악 간의 상대적인 이명 소리 억제 효과를 평가한다. 고려된 3종류의 음악을 2개씩 묶는 3가지 조합(A:1-2, B:1-3, C:2-3)의 음악 간 상대적인 이명의 억제 효과를 평가하도록 한다(Table 2). 즉 1단계 실험의 이명 소리와 선행 음악의 청취가 종료되면, 이어서 이명 소리와 후행 음악을 들려주고, 선행 음악을 기준으로 후행 음악에 의한 이명 소리의 거슬림의 차(rTAS)를 평가하도록 했다[Fig. 2(b)]. 음악을 제시하는 순서에 따른 효과는 크지 않을 것으로 예상되며, 본 선행적인 기초 연구에서는 순서에 따른 차이는 고려하지 않았다.
III. 결 과
3.1 음악의 유형별 이명 억제 효과
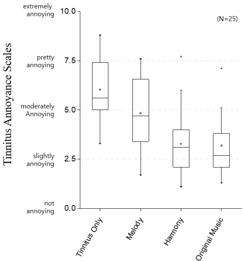
실험에서 고려된 3가지 유형의 음악을 이명 소리와 함께 청취할 때 이명의 거슬림을 평가한 결과는 Table 3과 Fig. 3에 제시되어 있다.
Table 3.
TAS scores rated by the subjects after listening to the sounds of the 4 combinations of the tinnitus sound and the 3 types of musics (N = 25).
| Tinnitus annoyance scale | |||
| Mean | SD | p value | |
| Tinnitus Only | 6.04 | 1.43 | - |
| + Melody | 4.83 | 1.80 | 0.019* |
| + Harmony | 3.23 | 1.68 | 0.000*** |
| + Original Music | 3.15 | 1.77 | 0.000*** |
이명 소리만 들려주었을 때와 비교하여, 음악을 함께 청취할 때, 3가지 모든 유형의 음악에 대해 TAS가 유의하게 감소했다(p < 0.019). 이명 소리만 청취할 때는 평균적으로 ‘적당히 거슬린다’(TAS = 6.04 ± 1.43) 정도이나, 이명과 음악을 같이 청취한 경우에는 원곡(TAS = 3.15 ± 1.77) , 화성부(TAS = 3.23 ± 1.68), 선율부(TAS = 4.83 ± 1.80) 순으로 이명 소리의 거슬림이 감소하는 것으로 나타났다(Table 3).
3.2 음악 유형간 이명 억제 효과의 차이
Table 2에서 제시한 3가지 조합의 선행 음악 대비 후행 음악의 이명 소리에 대한 rTAS의 차이를 평가한 결과는 Table 4 및 Fig. 4에 제시하고 있다.
Table 4.
rTAS scores rated by the subjects after listing to the 2nd music followed by the preceding (1st) music together with the tinnitus sound for the 3 combinations (A,B,C) of pairing the 3 musics (original music, melody, harmony) (N = 25).
| Pair |
preceding (1st) |
following (2nd) | Relative Tinnitus annoyance scale | ||
| Mean | SD | p value | |||
| A |
Original music | Melody | 1.70 | 3.06 | 0.012* |
| B |
Original music | Harmony | -0.99 | 3.58 | 0.189 |
| C | Melody | Harmony | -1.76 | 2.78 | 0.005** |
이명 소리와 함께 원곡을 청취할 때보다, 화성부를 제거한 단성 선율을 청취할 때, 이명의 거슬림은 상대적으로 미세하게 증가 (rTAS = 1.70 ± 3.06, p = 0.012)한다고 평가하고 있다. 단성 선율 대신 화성부를 들려줄 경우 때 이명 소리의 거슬림은 원곡에 비해 ‘거의 차이가 없을 정도로 감소’(rTAS = – 0.99 ± 3.58, p = 0.189)한다고 느끼는 것으로 평가되었다.
반면 이명 소리와 함께 화성부를 제거한 단성 선율을 들려준 후, 화성부를 들려줄 때 이명 소리의 거슬림은 ‘미세하게 더 감소’(rTAS = -1.76 ± 2.78, p = 0.005)한다고 느끼는 것으로 나타났다.
IV. 토 의
음악의 핵심 요소인 화성이 이명 소리로 인한 거슬림에 미치는 효과를 실험적으로 관찰했다. 이명 소리와 함께 화성부와 선율부로 구성된 음악(J. S. Bach - Brandenburg concerto no. 3, G major)을 연구 대상자 25명에게 들려주고 이명 소리로 인한 ‘거슬림’을 평가했다. 실험 결과, 이명 소리만 청취할 때보다, 음악과 함께 청취할 때 연구 대상자가 느끼는 이명 소리의 거슬림이 감소하는 것으로 나타났다(p < 0.019, Table 3). 음악의 화성부 또는 화성부를 포함하는 원곡이 화성부를 제외한 음악(선율부) 보다 이명 소리로 인한 거슬림을 감소하는 효과가 더 큰 것으로 평가되었다(p < 0.012, Table 3).
본 실험에서는 이명의 억제 효과를 이명 소리가 유발하는 불편한 느낌인 ‘거슬림’ 관점에서 평가했다. 이명으로 인한 스트레스, 우울, 불안, 강박, 대인 예민, 공포, 편집증 등의 정신 병리 증상은 이명 소리로 인한 주관적인 느낌인 ‘불편함’과 밀접한 관련이 있는 것으로 알려져 있다.[25,26] 이명으로 인한 병적인 증상은 이명 소리에 대한 ‘거슬림’ 이라는 심리 음향학적인 특성 외에, 스트레스 및 불안 등과 관련된 다양한 생리적인 신호의 변화(예. HRV, GSR, 등)를 유발할 수 있다.[27,28] 본 실험에서 고려된 심리 음향학적 특성인 소리의 거슬림은 주관적인 요소로, 실험에서 수행한 TAS 평가는 연구 대상자의 거슬림에 대한 민감도에 따라 영향을 받는다. 이러한 개인별 차이를 줄이기 위해, 본 연구에서는 거슬림에 대한 상대적인 차이를 비교하는 rTAS 평가 실험을 추가했다. 향후 실험 결과의 객관성을 더 높이기 위해서는 거슬림의 척도(TAS, rTAS)와 상관성이 높은 생리적인 측정 변수를 평가에 포함하는 방법이 필요하다.
음악의 주요 요소인 화성부는 두 개 혹은 세 개의 음이 수직적으로 결합하여 하나의 화성 블록으로 구성된다. 본 실험에서는 화성의 기본 요건인 음의 수직적 구조가 강조된 호모포니 형태가 나타나는 음악을 사용했다. 음악이 가지는 화성적 특성은 작곡자에 의해 의도된 고유한 것으로, 음악에 따라 독특하고 다양한 화성적인 특징이 표현되어 있다. 본 실험에서 선택된 음악의 화성부는 선율부에 비해, 이명 억제에 더 큰 기여를 하고 있음이 관찰되었다. 이명 억제를 위한 화성 음악의 활용을 위해, 협화를 이루는 화성과 불협화를 이루는 화성을 포함하는 화성의 음악적인 특성에 따른 이명 억제 효과에 대한 체계적인 연구가 필요하다. 아울러 화성은 선율과 어우러지면서 음악적인 표현을 하기 때문에, 여러 주제의 선율을 가지는 폴리포니 형태의 다성 음악에 대한 이명 억제 효과를 확인하는 연구도 중요하다.
화성은 회화의 원근법과 같이 음악적인 공간의 느낌을 주게 하고, 다양한 사람의 감정을 불러일으키는 효과를 제공한다.[29,30,31] 따라서 화성 음악은 감정 변화를 위한 매우 효과적인 심리 치료 방법으로 사용될 수 있다.[32] 본 연구에 사용된 화성 음악은 백색 잡음과 유사한 정도로 이명 소리의 거슬림을 줄여는 것으로 확인되고 있어, 화성 음악이 이명 치료에서 유용하게 활용될 수 있다는 가능성을 시사하고 있다. 듣기에 지루한 백색 잡음에 비해 화성 음악은 단순히 이명 소리의 ‘거슬림’을 줄여 주는 효과 외에, 정서적으로 긍정적인 역할을 할 수 있다. 음악의 이명 억제 효과를 평가할 때는 ‘거슬림’이라는 부정적인 심리 음향학적 요소 외에 ‘유쾌함’과 같은 정서적으로 긍정적인 요소 포함할 경우, 백색 잡음에 대한 차별화된 효과를 부각할 수 있을 것으로 기대된다.[33] 참고로 이명 환자가 이명으로 느끼는 정서적인 측면은, 이명으로 인한 사회적, 심리적 불편감을 평가하기 위해 사용하는 자기 보고식 척도의 하위 항목인 이명 장애 지수(Tinnitus Handicap Inventory, THI)로 평가할 수 있다.[10]
음악은 크기가 일정하게 유지되는 백색 잡음과 다르게 시간의 흐름에 따라 소리의 크기 또는 세기를 변화하며 음악적인 또는 선율적인 효과를 유도한다. 본 연구에서는 음악 소리의 크기를 설정하기 위해 이명 재훈련 치료에서 사용되는 혼합점의 개념을 적용했다.[21,22] 즉 본 실험에서 사용된 음악의 크기는 연구 대상자 별로 혼합점에서 확인된 백색 잡음의 크기로 설정했다. 설정된 소리의 크기는 시간에 따라 크기가 변화하는 음악의 평균 크기로, 음악을 청취하는 시간 동안, 음악의 크기는 혼합점 수준을 초과하거나 미달할 수 있다. 음악에 대한 혼합점은 일정한 크기를 유지하는 백색 잡음과는 다른 방식으로 정의되고 측정되어야 한다. 혼합점의 개념을 음악에 적용하는 연구는 이명 치료 음악의 크기를 최적화하는 기준을 제공할 것으로 기대된다.
본 연구에서는 연구 대상자에게 들려준 음악의 길이를 1 min으로 설정했다.[18,19,20] 이명 치료에서 음악은 이명 차폐를 위해 장기간 들려주는 소리 자극으로 사용되고 있다.[2,5,6]이명 치료를 위한 음악 치료에서는 이명 환자가 이명을 느낄 때 마다 수시로 장시간 음악을 듣는 것을 권장하고 있다.[2,5] 소리 치료 역시 최소 6 h 이상의 소리 발생기 착용을 권장하고 있다.[34]하지만, 실제 이명 치료에서는 정해진 청취시간이 없어,[2,5,6] 음원의 청취 시간에 따른 효과가 확실하지 않다. 추후 이명 치료에 사용되는 음원의 청취 시간에 따른 효과를 확인하는 연구가 요구된다.
이명은 환자만이 들을 수 있는 주관적인 소리이며 객관적 측정이 어렵다. 실험에서 사용된 이명 소리는 가장 흔한 이명 소리로 알려진 4 kHz 순음으로 음원을 제작했다.[10,11,12,13,14,15,16] 실제로 이명은 단일 주파수에 국한되지 않으며, 순음뿐만 아니라 다양한 음색을 가지기도 한다.[10,11,12,13,14,15,16] 이명의 종류에 따라 이를 효율적으로 억제하는 소리의 특성이 달라질 것으로 예상된다. 본 연구는, 다양한 이명 소리에 대한 화성적 요소의 이명 억제 효과에 대한 연구 동기를 부여하기 위한, 사전 기초 실험으로서 그 의의를 부여할 수 있다.
이명은 흔히 청력이 저하와 함께 나타나는 증상이다. 본 연구에서는 이명 증상이 없는 정상 청력을 가지는 일반 성인을 대상으로 화성 음악의 이명의 억제 효과를 확인했다. 이명으로 인한 거슬림은 정상 청력을 가지는 이명 환자에게서 불안 및 우울의 증가를 유발하는 것으로 알려져 있어,[17,25] 정상 청력을 대상으로 수행한 본 연구의 결과는 임상적으로 의미 있는 자료로 활용될 수 있을 것으로 기대된다. 본 연구의 결과를 임상적으로 적용하기 위해서는 다수의 이명 환자를 대상으로 추가적인 검증이 필요하다.
V. 결 론
본 연구에서는 음악에서 화성 요소가 이명 억제에 중요한 역할을 하고 있음을 실험적으로 관찰했다. 이명 소리를 들려주면서 화성부 또는 원곡을 들려줄 때 청취자가 느끼는 이명 소리의 거슬림은 선율부를 들을 때에 비해 덜한 것으로 나타났다(p < 0.05). 음악 원곡과 화성부 간에는 이명 소리에 의한 거슬림에 유의한 차이가 없었다(p = 0.189). 이러한 실험 결과는 이명 소리의 거슬림을 줄여주는 음악적인 요소로 화성이 선율에 비해 더 중요하게 고려되어야 함을 시사한다. 본 연구의 결과는 이명 치료에 사용될 음악 선정 시 유용하게 활용될 수 있을 것으로 기대된다.







