I. 서 론
II. 문제 정의
III. 이전 연구
IV. 제안 기법
V. 수학적 분석
5.1 기존 연구에 대한 분석
5.2 제안 기법에 대한 분석
5.3 비교 예제
VI. 실험 결과
6.1 시뮬레이션 결과
6.2 해상 실험 결과
VII. 결 론
I. 서 론
함정의 방사 소음은 함정에서 발생되는 여러 종류 소음을 총칭하며 크게 기계류에 의한 소음(machinery noise), 유체역학에 의한 소음(hydrodynamic noise) 그리고 프로펠러에 의한 소음(propeller noise)으로 분류된다.[1] 특히 프로펠러 소음은 유체역학 소음의 한 형태로 수중에서 프로펠러 회전에 의해 생성된다. 프로펠러의 회전은 날개의 표면과 끝에 수압의 감소를 초래하는데, 이는 수중에 낮은 압력 공간을 형성하여 서로 다른 크기를 가지는 다수의 공기방울을 발생시키고 프로펠러 주위에서 서로 충돌하여 터짐으로써 광대역 신호(broadband signal) 특성을 갖는 캐비테이션 소음(cavitation noise)을 발생시킨다. 이러한 광대역 캐비테이션 소음 신호는 진폭 변조(amplitude modulation) 신호 이며, 수신된 광대역 소음 신호의 복조를 통해 함정의 프로펠러 축 회전 수(propeller shaft rate), 날개 회전 수(blade rate), 축 수(shaft number) 등을 분석할 수 있다. 이러한 분석은 데몬(DEMON: Detection of Envelop Modulation on Noise) 처리를 통해 수행된다.
데몬 처리 기법은 Nielson에 의해 체계적으로 정리된 후 다양한 연구가 진행되고 있다.[2] Kummert는 데몬 처리를 통해 추출된 주파수를 퍼지(fuzzy) 기술을 도입하여 식별하는 연구를 수행하였고,[3] Sichun과 Desen은 3/2-D 스펙트럼(spectrum)을 이용하여 데몬 처리 기법의 성능을 향상 시키는 방법을 제안하였다.[4] 그리고 Badri와 Amindavar는 Nivanlinna-pick 보간법(interpolation)을 이용하여 다중 경로(multipath) 환경에서 프로펠러의 회전 수, 날개 수 등을 분석하는 기법을 제안하였다.[5] 이러한 기법들은 신호대 잡음비(signal to noise ratio)를 높이기 위해서 시간 영역에 대해 음향 신호를 분할하여 처리하는 방법을 사용하였다. 즉 일정 시간동안 음향 신호를 수집하여 처리 구간(section)을 구분한다. 그다음 각각의 구간에 대한 분할 처리 후 평균을 취해 잡음의 분산(variance)을 감소시켜 신호대 잡음비를 향상시켰다. 또한 일반적으로 처리 구간은 음향 신호 수집 시간을 단축하기 위해 시간 영역에서 중첩(overlap)하여 사용하였다(이것은 3장에서 자세히 나타낼 것이다).[6] 그러나 이러한 중첩 기법은 중첩 비율이 너무 높으면 각 처리 구간 음향 신호가 서로 독립적이지 않아서 신호대 잡음비 성능 향상이 미미하고, 반대로 중첩 비율이 너무 낮으면 음향 신호 수집에 많은 시간이 소요되는 단점이 있다. 본 논문에서는 대역 분할 처리를 통해 지금까지 발표된 데몬 처리 기법의 성능을 향상 시킬 수 있는 기법을 제안한다. 제안된 기법은 주파수 영역에서 음향 신호의 구간을 분할하여 데몬 처리를 수행하므로 기존 중첩 기법에 비해 짧은 시간에 서로 독립적인 음향 신호를 수집할 수 있다. 그러므로 기존 기법에 비해 적은 데몬 처리 수행 횟수를 사용하여 동일한 성능을 발휘할 수 있다.
본 논문은 2장에서 문제 정의를 하고, 3장에 기존 연구에 대해 살펴보고, 4장에서 대역 분할 데몬 처리 기법을 제안한다. 5장에서 수학적 분석을 통해 기존 기법과 제안 기법의 성능을 확인하고, 6장에서 실험 결과를 통해 제안된 기법의 성능을 검증한다. 마지막으로 7장에서 결론을 기술한다.
II. 문제 정의
일반적으로 프로펠러에 의한 소음 신호
은 프로펠러의 회전으로 발생하는 하모닉 변조 신호와 광대역 캐비테이션 소음 신호와의 곱으로 식(1)과 같이 표현된다.[2]
| (1) |
여기서,
은 수신된 음향 신호의 개수이고,
은 변조 지수,
은 변조 주파수,
는 샘플링(sampling) 주파수 이다.
은 광대역 캐비테이션 소음 신호로 스펙트럼은 Fig. 1과 같은 특성을 가진다.[1]
은 광대역 소음이며
과
은 서로 독립(inde-pendent)인 특성을 가진다. 일반적으로 변조 지수
는 0.1~0.5의 값을 가지며, 변조 주파수
은 10 Hz ~ 100 Hz의 값을 가진다. 광대역 캐비테이션 소음 신호
과 광대역 소음
의 주파수 대역 폭(bandwidth)은 수 kHz 이상이며, 따라서 샘플링 주파수
도 수 kHz 이상의 값을 가진다.[7]
|
Fig. 1. Typical the spectrum of cavitation noise with speed and depth.[1] |
III. 이전 연구
Fig. 2는 일반적인 데몬 처리 기법의 블록 다이어그램이다.[2, 8] 데몬 처리 기법 수행 순서는 프로펠러 소음 신호
에 대역 통과 필터(bandpass filter)를 적용하여 캐비테이션 신호가 존재하는 주파수 대역을 선택한다. 그 후 선택된 주파수 대역에서 변조 신호의 복조를 위해 제곱(square)을 수행한다. 일반적으로 변조 신호는 저주파 대역에 존재하므로 저주파 대역 통과 필터(lowpass filter)와 노치 필터(notch filter)를 이용하여 고주파 신호 및 DC 신호를 제거한다. 다음으로 시간 영역(time domain) 신호를 주파수 영역(frequency domain)으로 변환하기 위해 FFT를 수행하고 마지막으로 배경 소음을 제거하기 위해 소음 규준화(noise normalization)를 수행한 후 스펙트럼
를 생성한다.
|
Fig. 2. DEMON processing algorithm. |
지금까지의 데몬 처리 기법들은 스펙트럼의 신호대 잡음비를 높이기 위해 Welch 기법, 즉 중첩 기법을 사용하였다.[9] 즉 식(2)와 같이
을
개의 구간으로 나누어 처리해 분산을 감소시켜 신호대 잡음비를 향상시켰다.
| (2) |
여기서,
은 구간의 크기, 즉 FFT 크기이며,
는 중첩된 구간의 시작 위치이다. 만약
이면 구간들이 서로 중첩되고,
이면 구간들은 중첩되지 않는다. 그리고 중첩 비율
은
이다. 이러한 중첩 기법을 Fig. 2에 적용하면 Fig. 3과 같이 나타낼 수 있다.
|
Fig. 3. Overlap processing of sound signal sections. |
Fig. 3에서 “DEMON processing” 블록은 Fig. 2의 “DEMON processing” 블록과 동일하며, “Averaging” 블록에서 각 “DEMON processing” 블록의 출력
에 대해 평균을 취하여 스펙트럼
를 생성한다. 이것은 식(3)과 같이 나타낼 수 있다.
| (3) |
이러한 시간 영역 중첩 기법 출력 스펙트럼
의 분산은 개별 스펙트럼
,
의 분산과 식(4)와 같은 관계를 가진다.
| (4) |
여기서,
은
의 분산이며, 등호는
,
가 서로 독립일 때 성립하고, 부등호는
가 서로 상관관계(correlated)가 있을 때를 나타낸다(이것은 5장에서 자세히 나타내었다). 따라서 시간 영역에 대한 중첩 기법은 개별 스펙트럼
,
가 서로 독립이 아니므로, 스펙트럼
의 분산은
의 평균에 의한 감소 효과가 제한적이다.
IV. 제안 기법
서론에서 언급한 바와 같이 프로펠러의 의한 소음 신호는 날개의 회전으로 발생하는 변조 신호를 광대역 캐비테이션 소음 신호가 캐리어(carrier)의 역할을 수행하여 발생한다. 이는 무수히 많은 캐리어가 존재 하므로 그 중 일부 캐리어 성분만으로도 변조 신호를 복조할 수 있음을 의미한다. 다시 말해 광대역 캐비테이션 소음 신호에서 일부 주파수 대역 신호를 이용하여 날개의 회전으로 발생하는 변조 신호를 복조할 수 있다. 따라서 본 논문에서는 이러한 성질을 이용하여 대역 분할에 의한 데몬 성능 향상 기법을 제안한다.
이를 자세히 살펴보면, 식(1)에서 나타낸 프로펠러에 의한 소음 신호
은 다음과 같이
개의 스펙트럼으로 분할(spectrally- disjoint)된 대역 신호
으로 나타낼 수 있다.
| (5) |
여기서, 연산자
는 합성곱(convolution)을 의미하고,
,
는 주파수 영역에서 서로 중첩되지 않는 대역 통과 필터의 임펄스 응답(impulse response)이다. 그리고
은 다음과 같이 정의된다.
|
따라서
을 시간 영역에 대해 중첩되지 않은
개의 대역으로 나눈
,
,
에 대해 데몬 처리를 수행하여 평균을 취하면
는 서로 독립이므로 분산을 감소시켜 신호대 잡음비를 향상시킬 수 있다.
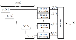
Fig. 4는 본 논문에서 제안하는 대역 분할에 의한 데몬 성능 향상 기법을 나타낸 것이다. 프로펠러 소음 신호
,
를 주파수 영역에서 중첩되지 않는
개의 대역 통과 필터를 적용하여 식(5)에서 나타낸
를 생성한다. 그 후 선택된 주파수 대역에서 변조 신호의 복조를 위해 제곱을 수행하고 저주파 대역 통과 필터와 노치 필터를 이용하여 고주파 신호 및 DC 신호를 제거한다. 다음으로 시간 영역 신호를 주파수 영역으로 변환하기 위해 FFT를 수행하고 배경 소음을 제거하기 위해 소음 규준화를 수행한 후 스펙트럼
,
,
를 생성하였다. 최종적으로 분산을 감소시켜 신호대 잡음비를 높이기 위해 식(6)에서 나타낸 것과 같이
의 평균을 취하여 스펙트럼
를 생성한다.
|
Fig. 4. Block diagram of the proposed DEMON processing algorithm. |
| (6) |
이렇게 제안 기법에 의해 구해진 스펙트럼
의 분산과 주파수 대역을 나눈 개별 스펙트럼
의 분산의 관계는 5장에서 자세히 나타내었다.
V. 수학적 분석
5.1 기존 연구에 대한 분석
본 절에서는
,
의 분산과
를 평균하여 구한 스펙트럼
의 분산을 비교하여 음향 소음 신호
,
을 시간 영역에 대해 중첩하여
개의 구간으로 구분한 후 데몬 처리를 수행함으로 얻어지는 성능 향상 정도를 수학적으로 분석한다.
우선 스펙트럼
,
의 평균과 분산을 식(7)과 같이 정의한다.
| (7) |
이것을 이용하면 스펙트럼
의 분산은 식(8)과 같이 구할 수 있다.
| (8) |
여기서,
| (9) |
이다. 그리고
에서
와
는 서로 독립이 아니므로, 상관관계 함수
를 식(10)와 같이 정의 하면
| (10) |
이다. 그러므로 식(9)의 두 번째 항은
| (11) |
이므로, 식(9)는 식(7)과 식(11)을 이용하여 식(12)와 같이 간략히 할 수 있다.
| (12) |
따라서 식(11)의 결과를 이용하면 식(8)의 스펙트럼
의 분산은 식(13)과 같이 구해진다.
| (13) |
여기서,
| (14) |
이고, 중첩 비율을
,
,
라고 하면, 규준화된 자기 상관관계 함수(normalized autocorrelation function)는 식(15)와 같이 정의되고
| (15) |
식(13)은 최종적으로 식(16)과 같이 나타낼 수 있다.
| (16) |
여기서,
는 데몬 처리시 수행하는 FFT의 윈도우(window) 함수에 따라 결정되며, 윈도우 함수를
,
이라고 하면
는 식(17)과 같이 구할 수 있다.[10]
| (17) |
그러므로 음향 소음 신호
,
을 시간 영역에 대해 중첩하여
개의 구간으로 구분한 후 데몬 처리를 수행하면 식(18)과 같이 분산의 감소 효과 발생한다.
| (18) |
5.2 제안 기법에 대한 분석
본 절에서는
,
,
의 분산과
를 평균하여 구한 스펙트럼
의 분산을 비교하여 음향 소음 신호
,
을 시간 영역 및 주파수 영역에서 중첩되지 않는
개의 대역으로 구분한 제안 기법의 성능 향상 정도를 수학적으로 분석한다.
5.1절에서와 같이 스펙트럼
,
,
의 평균과 분산을 식(19)와 같이 정의한다.
| (19) |
이것을 이용하면 스펙트럼
의 분산은 식(20)과 같이 구할 수 있다.
| (20) |
여기서,
| (21) |
이다. 또한
와
는 서로 독립이므로 식(22)의 관계가 성립한다.
| (22) |
따라서 식(20)의
은 식(21)과 식(22)를 이용하여 다음과 같이 구할 수 있다.
| (23) |
그러므로 제안된 기법과 같이
,
을 시간 영역 및 주파수 영역에서 중첩되지 않는
개의 대역으로 구분한 후 데몬 처리를 수행하면 식(24)와 같이 분산의 감소 효과 발생한다.
| (24) |
5.3 비교 예제
본 절에서는 예제를 통해 제안된 기법의 성능을 확인한다. 성능 비교를 위한 예제는 음향 소음 신호의 샘플링 주파수가 4,096 Hz, FFT 크기
은 4,096이며, 스펙트럼의 누손(leakage) 감소를 위해 Hamming 윈도우를 적용하였다. 예제 #1은 데몬 처리 시간은 4초, 즉 음향 소음 신호의 개수
가 20,480개로 설정하였고, 기존 기법의 중첩 비율
은 0.75, 제안된 기법의 대역 분할 수
는 3으로 설정하였다. 예제 #2는 데몬 처리 시간은 30초, 기존 중첩 기법의 중첩 비율
은 0.75, 제안된 기법의 대역 분할 수
는 2로 설정하였다.
Table 1과 Table 2는 각 예제에 대한 기존 기법[2, 8]과 제안된 기법의 성능을 비교한 결과이다. Table 1의 결과로부터 기존 기법과 제안 기법이 비슷한 계산량(데몬 처리 횟수)을 사용하면 제안 기법의 성능이 약 2배 정도 뛰어남을 알 수 있으며, Table 2의 결과로부터 분산 감소 비율이 약 10%오차 정도로 비슷하면 기존 기법이 제안 기법에 비해 약 2배의 계산량이 필요함을 알 수 있다.
VI. 실험 결과
6.1 시뮬레이션 결과
제안된 데몬 처리 기법의 성능을 확인하기 위해 MATLAB을 이용하여 시뮬레이션을 수행하였다. 시뮬레이션에 사용된 음향 신호의 샘플링 수는 16,384이고, 데몬 처리 주기는 4초이며, 128차 FIR 1,000 Hz ∼ 6,000 Hz 대역 통과 필터와 128차 FIR 100 Hz 저주파 통과 필터를 사용하였고 FFT 크기는 16,384이다. 또한 소음 규준화를 위해 S2PM(two-pass split-window) 알고리즘[10]을 적용하였다. 기존 기법[2][8]과 제안 기법의 계산량을 비슷하게 하기 위해 기존 기법의 중첩 비율은 0.75, 제안 기법의 대역 분할은 3으로 설정하였다. 그리고 시뮬레이션 시나리오는 변조 신호의 기본 주파수
가 21.125 Hz이고 2차 변조 신호까지 존재하며 변조 지수는 0.5로 설정하였다.
Fig. 5는 시뮬레이션 시나리오에 대한 데몬 처리 결과이다. Fig. 5의 (a)와 (b) 모두에서 변조 주파수 ![]()
가 검출되었다. 여기서,
,
은 시나리오에서 생성한 변조 신호이고,
와
는 신호의 복조를 위해 수행한 제곱 처리 때문에 발생한 신호이다. 그러나 Fig. 5의 (a)와 (b)를 비교하면 제안 기법의 결과가 기존 기법의 결과에 비해 신호대 잡음비가 평균 약 2.6 dB 더 높음을 알 수 있다.
|
(a) |
|
(b) |
Fig. 5. The DEMON processing results of the simulation scenario; (a) the conventional algorithm (b) the proposed algorithm. |
6.2 해상 실험 결과
제안 기법의 성능을 검증하기 위해 해상에서 디젤 기관을 가진 상선의 음향 소음 신호를 측정하여 데몬 처리를 분석하였다. 음향 소음 신호의 샘플링 주파수는 65,536Hz, FFT 크기
은 65,536이며, 스펙트럼의 누손(leakage) 감소를 위해 사 Hamming 윈도우를 사용하였다. 기존 기법의 중첩 비율
은 0.75, 제안된 기법의 대역 분할 수
는 3으로 설정하였다. 그리고 데몬 처리 주기는 20초이다.
Fig. 6은 해상 측정 음향 소음 신호에 대한 기존 기법과 제안 기법을 이용하여 데몬 처리를 수행한 결과이다. 기존 기법과 제안 기법 모두 상선 크랭크축의 회전 비율(CSR; Crank Shaft Rate) 신호가 분석된다. 기존 기법의 데몬 처리 횟수는 77회, 제안 기법은 40회이다. 따라서 제안 기법이 기존 기법에 비해 적은 계산량으로도 동일한 성능을 나타냄을 알 수 있다.
|
(a) |
|
(b) |
Fig. 6. The DEMON processing results of the ocean experiment; (a) the conventional algorithm (b) the proposed algorithm. |
VII. 결 론
본 논문에서는 대역 분할을 통해 데몬 처리 기법의 성능을 향상 시킬 수 있는 기법을 제안한다. 기존 기법은 수집된 음향 소음 신호를 시간 영역에서 중첩 사용하여 처리 성능을 향상 시켰지만 처리 음향 신호들이 중첩으로 인해 서로 상관관계를 가져서 성능향상이 제한 적이었다. 또한 필요로 한 성능 향상을 위해서는 많은 계산량이 소요 되었다. 그러나 제안된 기법은 분할된 대역이 서로 독립적이므로 기존 기법에 비해 적은 계산량으로 필요한 성능을 나타낸다.
제안된 데몬 처리 기법은 함정의 방사 소음을 이용하여 함정을 식별하는 수동 소나에 적용되어 적은 계산량으로 정확한 데몬 처리가 가능하게 할 것으로 기대된다. 그리고 계속해서 해상 실험을 통해 측정한 다양한 함정의 방사 소음을 이용하여 제안된 기법의 최적 대역 분할 개수와 데몬 처리를 위한 유효 대역폭의 크기에 대한 연구를 진행할 것이다.













