I. 서 론
적응필터는 능동소음제어, 시스템 식별, 채널등화기, 잡음 제거, 음향 반향 제거 등 많은 응용에서 사용되어져 왔다. 이 중 LMS(Least Mean Square)와 NLMS (Normalized Least Mean Square)는 연산 복잡도가 낮고 간단하여 가장 널리 알려진 알고리즘이다. 그러나 입력 신호의 상관도가 높은 경우 알고리즘의 수렴속도가 저하된다는 단점을 갖고 있다. 그간 적응필터 분야에서 많은 연구자들이 LMS와 NLMS가 가지는 단점을 해결하기 위한 여러 알고리즘들을 제안해왔다.[1] 이들 중 가장 대표적인 알고리즘으로는 인접 투사 알고리즘(Affine Projection Algorithm, APA), 변환 영역(transform domain) 알고리즘, 부대역 적응 필터(Subband Adaptive Filter, SAF) 등이 있다. 이 알고리즘들은 입력 신호의 상관도를 낮춤으로써 고유치 분포가 큰 입력 신호를 다루는 환경에서 빠른 수렴속도를 보인다. 이 중 부대역 적응 필터는 전밴드 입력 신호를 부밴드 입력 신호로 나누어 처리하는 알고리즘으로써 특정 밴드를 통과한 입력 신호가 전밴드 입력 신호에 비해 낮은 상관도를 갖게 되어 수렴속도를 향상시킨다.[2] 최근 minimum disturbance 원리를 기반으로 정규 부밴드 적응 필터(Normal-ized Subband Adaptive Filter, NSAF)가 제안되었다.[3]
한편,
을 최적화하는 알고리즘은 충격성 잡음 환경에서 성능이 저하된다는 단점을 가지고 있다. 이를 해결하기 위해
을 최적화하는 방법에 기반한 알고리즘들이 제안되었다. 최근, 사후 오차의
을 최소화하는 SSAF가 제안되었다.[3] 그러나 전밴드 입력 신호를 부밴드 입력 신호로 분리하여 신호의 상관도를 낮춤으로써 수렴속도를 향상시키는 SAF의 목적[2]과는 달리 기존 SSAF는 밴드의 수를 증가시켜도 수렴속도가 증가하지 않는다는 문제점을 가지고 있다.[7] 최근, SSAF의 수렴속도를 증가시키기 위해 SSAF와 APA를 조합한 인접 투사 부호 부밴드 적응필터(Affine Projection Sign Subband Adaptive Filter, AP-SSAF)가 제안되었다.[7] APA가 적용된 AP-SSAF는 투사 차원을 증가시킴에 따라 수렴속도를 개선할 수 있지만 그에 따른 연산량의 증가가 많다는 단점을 갖고 있다.
본 논문에서는 부밴드의 수를 증가시킴에 따라 수렴속도가 증가하지 않는다는 SSAF의 단점에 초점을 맞추어 이를 개선하는 새로운 SSAF를 제안한다. 제안된 SSAF는 각각의 부밴드 입력 신호를 모든 부밴드 입력 신호의
으로 정규화 하지 않고 각각의 부밴드 입력 신호의
으로 정규화하는 알고리즘이다. 기존 SSAF와 달리 제안된 SSAF는 밴드의 수를 증가함으로써 수렴속도를 개선할 수 있다는 장점을 갖고 있다.
본 논문의 구성은 다음과 같다. I장 서론에 이어 II장에서 NSAF와 SSAF를 검토하여 보고 III장에서 기존 SSAF가 가지는 단점을 개선한 새로운 SSAF를 제안한다. IV장에서 컴퓨터 모의 실험을 통하여 SSAF, AP-SSAF과 제안된 SSAF의 성능을 비교 및 분석하며 V장에서 결론을 맺는다.
II. NSAF와 SSAF
Fig. 1은 NSAF의 구조를 나타낸다.
시스템 식별 환경에서 원하는 신호
은 미지의 시스템
를 통과한 출력으로써 아래와 같이 표현된다.
. (1)
은 입력 신호이고
은 측정 잡음이며,
은
의 길이를 나타낸다.
,
,
이 분석 필터
,
, ...,
에 의해
번째 부밴드 신호
,
,
으로 분리된다.
번째 부밴드 입력 신호
이 적응 필터
를 통과하여 밴드별 출력 신호
을 만들고,
배 데시메이션을 통하여 데시메이션된
번째 신호
,
가 생성된다.
번째 부밴드 오차 신호는 
와 같이 정의된다.
Reference 3에서, minimum disturbance 원리를 기반으로 NSAF의 필터 갱신 식이 아래와 같이 제안되었다.
, (2)
여기서
는 step size, 
는
번째 부밴드 입력 벡터, 
는 미지의 시스템을 추정하기 위한 적응 필터 계수 벡터,
은 밴드의 수,
은
을 나타낸다. 각각의 밴드별 신호들은 밴드 수만큼 모아 아래와 같은 형태로 표현할 수 있다.
, (3)
, (4)
. (5)
Reference 4에서 NSAF를 충격성 잡음 환경에서 안정적으로 적용하기 위해 아래와 같은 최적화 기준을 따르는 SSAF가 제안되었다.
, (6)
Lagrange multiplier를 이용하여 제약이 걸린 최적화 문제를 풀면 아래와 같은 알고리즘을 구할 수 있다.
. (8)
는
의 정보를 요구하기 때문에
로 대체하면, Reference 4에서 제안된 SSAF 필터 갱신식을 유도할 수 있다.
, (9)
여기서
은 부호 함수를 나타낸다.
부밴드 적응 필터 알고리즘은 밴드수를 증가시킴으로써 각 부밴드 입력 신호의 고유치 분포를 백색화하여 수렴속도의 향상을 얻는다. 하지만 기존의 SSAF는 부밴드 수를 증가하여도 수렴속도가 증가하지 않는다는 단점이 있다. SSAF를 살펴보면,
번째 부밴드 입력 신호
를
가 아닌
로 정규화함을 알 수 있다. 이는 부밴드 수를 증가시킴에 따라 변화된 각각의 부밴드 입력 신호에 비례하는 정규화가 이루어지지 못한다고 볼 수 있다.
III. 제안된 SSAF
본 논문에서 제안된 SSAF를 유도하기 위해 아래와 같은 비용함수를 정의 한다.
. (10)
이 비용함수는
번째 부밴드 적응 오차의 절대값을
번째 부밴드 입력 신호의
으로 정규화함을 의미한다. 최대경사법(steepest descent method)을 기반으로 아래와 같은 새로운 SSAF의 필터 갱신식을 제안한다.
. (11)
비용함수의 경사도를 아래와 같은 연쇄법칙을 사용하여 얻을 수 있다.
. (12)
Eq.(12)의 오른쪽 두 항은 아래와 같이 구할 수 있다.
, (13)
. (14)
Eq.(11)에서 (14)를 통하여 본 논문에서 제안하는 SSAF의 필터 갱신식을 다음과 같이 얻을 수 있다.
. (15)
앞서 언급한 것과 같이 제안된 SSAF의 필터 갱신식은 부밴드 입력 신호를 각각의 부밴드 입력 신호의
으로 정규화함을 알 수 있다.
IV. 실험 결과
제안된 SSAF의 성능을 평가하기 위하여 충격성 잡음이 추가된 시스템 식별 환경에서 컴퓨터 모의 실험을 실행하였다. 시스템 식별을 위한 미지의 시스템은 Fig. 2와 같이 Reference 2에서 제안된 1024차의 room impulse response를 사용하였으며, 적응 필터의 차수는 미지의 시스템과 동일한 차수를 적용하였다.
입력 신호
은 평균 0, 분산 1을 가지는 백색 가우스 잡음을 자기회귀과정(autoregressive process)
에 통과시켜 생성하였다.
|
Fig. 2. Room impulse response for the unknown system. |
|
Fig. 3. The NMSD learning curve for the conventional SSAF with |
측정 잡음은
과 같이 설계되었으며 미지의 시스템을 통과한 신호에 가산된다.
은 배경잡음으로써 30 dB의 신호 대 잡음비(Signal to Noise Rate, SNR)를 가지는 평균 0의 백색 잡음이다.
은 충격성 잡음으로
로 설계되며
는
의 성공확률을 가지는 베르누이 과정(Bernoulli process)을 나타내고,
는 분산
을 가지는 평균 0의 백색 가우시안 잡음을 나타낸다.[5,6] 여기서 Pr=0.01이 사용되었다. 모든 실험에서 pseudo-QMF consine modulated 필터 뱅크를 사용하였으며 필터 뱅크의 필터 탭수 L=8N을 사용하였고 실험 결과는 Normalized Mean Square Deviation 
값을 구하여 도시한 것이다. 여기서
를 나타낸다.
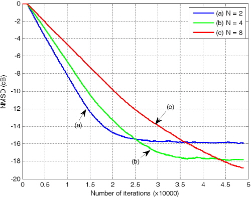
Figs. 3과 4는 기존의 SSAF와 제안된 SSAF의 부밴드 수에 따른 수렴 특성을 보여준다. 이 실험 결과는 30개의 ensemble 평균한 것이다.
Fig. 3을 보면, 기존의 SSAF는 부밴드의 수를 증가시킴으로써 수렴속도를 향상시킬 수 없음을 알 수 있다. 오히려 부밴드의 수가 증가한 만큼 수렴속도가 떨어짐을 확인할 수 있으며, 부밴드의 수가 2인 경우 가장 빠른 수렴속도를 보임을 알 수 있다. Fig. 4를 통하여 제안된 SSAF의 수렴 특성을 확인하면, 제안된 SSAF는 부밴드의 수를 증가시킴에 따라 수렴속도를 향상시킬 수 있음을 확인 할 수 있다. 부밴드의 수가 증가함에 따라 수렴 속도가 향상되지만 수렴 후 오차의 정도와 연산량을 고려할 때 제안된 알고리즘의 부밴드의 수는 3이 가장 효과적이라고 할 수 있다. Figs. 3과 4를 비교하여 보면 두 알고리즘의 NMSD값의 차이가 남을 알 수 있다. 두 알고리즘을 공평하게 비교하기 위하여 서로 같은 수준의 NMSD값을 가지도록 step size를 조정하여 모의 실험을 실시하였다. 유사한 NMSD값을 갖는 것을 확인하기 위해 100개의 ensemble 평균하여 Fig. 5에 도시하였다.
Fig. 5를 보면 부밴드의 수가 2인 경우 두 알고리즘의 성능이 유사함을 확인할 수 있다. 하지만 기존 SSAF는 밴드 수를 증가시켜도 밴드 수가 2인 경우보다 더 빠른 수렴속도를 얻을 수 없는 반면에 제안된 SSAF는 부밴드의 수를 증가시켜 더 빠른 수렴속도를 얻을 수 있으며 기존 SSAF와 비교하여 제안된 SSAF가 성능이 더 우수함을 확인 할 수 있다.
|
Fig. 4. The NMSD learning curve for the proposed SSAF with |
|
Fig. 5. The NMSD learning curve for the SSAF and the proposed SSAF with |
Fig. 6은 기존 SSAF의 수렴 속도를 개선하기 위하여 Reference 4에서 제안된 AP-SSAF와의 성능 비교를 위한 모의 실험 결과로써 P는 투사차원을 나타낸다. Table 1은 각 알고리즘의 연산 복잡도를 보여준다.
Fig. 6에서 AP-SSAF의 부밴드의 수는 2로 기존 SSAF와 동일한 부밴드 수를 적용하였다. Fig. 6을 보면 AP-SSAF의 투사차원이 커짐에 따라 수렴속도가 증가함을 알 수 있다. 제안된 SSAF와 수렴 특성을 비교하여 보면 P=4의 AP-SSAF의 경우 초기 수렴속도가 빠르나 최적 오차에 도달하는 시간이 제안된 SSAF보다 느림을 확인 할 수 있다. 컴퓨터 모의 실험에 사용된 파라메터들과 Table 1을 통해 각각의 알고리즘의 곱셈 연산량을 비교하여 보면 기존 SSAF는 2144번, AP-SSAF는 P=2인 경우 3168번, P=4인 경우 5216번, 제안된 SSAF는 3288번임을 확인 할 수 있다. 각각의 알고리즘의 연산량과 Fig. 6을 통하여 NMSD 학습 곡선을 확인하여 보았을 때 본 논문에서 제안된 SSAF가 연산량 대비 성능이 좋음을 확인 할 수 있다.
IV. 결 론
본 논문에서는 밴드의 수를 증가함에 따라 수렴속도를 향상 시킬 수 있는 SSAF를 제안하였다. 기존에 제안된 SSAF는 밴드 수를 증가시킴에 따라 수렴속도가 오히려 저하된다는 단점을 갖고 있었다. 이는 부밴드 입력 신호를 모든 부밴드 입력 신호의
으로 정규화한데서 비롯된 결과이다. 이를 해결하기 위해 부밴드 입력 신호를 각각의 부밴드 입력신호의
정규화하는 새로운 SSAF를 제안하였다. 컴퓨터 모의 실험을 통하여 기존의 SSAF의 단점을 보이고 이를 개선한 제안된 알고리즘의 수렴특성을 보였다. 마지막으로 기존의 알고리즘들과 제안된 알고리즘을 비교하여 본 논문에서 제안된 알고리즘이 연산량 대비 수렴 성능이 우수함을 보였다.




.

.
.
,
and
.
,
,
and
.
-norm minimisation-based vari-able step-size,” Electronics Letters 49, 1325-1326 (2013).