I. 서 론
1.1 연구의 배경 및 목적
1.2 한국어와 중국어 발음체계의 공통점과차이점
II. 연구의 방법
2.1 실험 장소
2.2 실험의 구성
2.3 실내음향성능 측정
2.4 음성요해도 평가
III. 실험 결과
3.1 실내음향성능 측정 결과
3.2 음절테스트 결과
IV. 물리적 인자와 음성요해도의 상관관계
4.1 음원과 수음점의 거리
4.2 음압레벨 (SPL)
4.3 초기감쇠시간 (EDT)
4.4 잔향시간 (RT)
4.5 음성명료도 (D50)
4.6 음성전달지수 (STI)
V. 결 론
I. 서 론
1.1 연구의 배경 및 목적
1980년대 전후로 시작된 강의실의 음향성능에 대한 연구는 오랜 기간 동안 국내외적으로 끊임없이 증가해 왔으며 현재는 음명료도 (D50, STI) 및 SN비 등의 다양한 실내 음향인자에 대한 연구가 이어지고 있다. 또한 근자에 들어 강의실의 음향성능을 단순히 물리적 음향인자 만으로 평가하는 것이 아니라, 이와 함께 청감실험 혹은 실제 학업성적을 비교·분석함으로써 주관적 음이해도 (음성요해도)와 물리적 음향인자간의 관계를 밝혀내는 연구가 활발히 진행되고 있다. 특히 강의실의 음성요해도가 학생의 성적과 연관이 있다는 연구결과가 발표됨에 따라서 강의실의 음성요해도를 향상시키기 위한 다양한 시도가 이어지고 있다.
그 중에서도 A.K.Nábëlek 등 (1974)은 강의실 음향을 결정짓는 중요한 인자가 잔향시간임을 이야기한 바 있으며, 청감실험 결과 잔향시간이 짧아질수록 음성요해도 점수가 높아지는 것을 밝혀내었으며 [1], Bradley (1998)는 음성요해도 (speech intelligibility)가 학업성취도에 영향을 미치는 중요한 음향인자라는 연구결과를 발표하였다 [2]. 또한 Kenneth는 2010년 발표한 논문을 통해 강의실에서의 다양한 음향인자와 학업성취도와의 밀접한 관계를 역설하였으며, 특히 저학년의 경우 학습 정보의 습득에 있어 청각적 정보와 시각적 정보를 조합해 이해하기 때문에 명료한 음성의 전달이 학습정보의 인지에 큰 영향을 미친다고 발표하였다 [3].
해외연구를 기반으로 국내에서는 1984년부터 초・중・고등학교 강의실의 음환경 실태에 대한 조사가 이루어지고 있으며, 정정호 (2007) 및 유진 (2005)은 논문에서 강의실의 적정 음향인자를 제안한 바 있는데 그 중 적정 잔향시간은 0.4~0.6초, 적정 암소음은 NC-25~30이며, 교사의 음성레벨과 암소음과의 비 (S/N비)가 최소 10㏈이상일 때 강의내용을 명료하게 전달할 수 있다는 연구결과를 발표한 바 있다 [4,5]. 또한, 신상봉 (2007)은 실내 마감재의 종류와 위치가 음명료도에 미치는 영향을 연구해 강의실의 뒷벽에 흡음재를 설치하는 것이 물리적 음명료도 (STI, D50)을 가장 효과적으로 향상시킬 수 있는 연구결과도 발표하였다 [6].
이러한 연구결과를 통해 강의실의 환경적 요인에 의해 물리적인 명료도가 상승한다는 것을 확인할 수 있었으나 이것이 실제로 학생의 음성요해도 개선에 기여하는지 검증할 수 없었다. 청감실험의 결과 또한 모든 연구결과들이 해당 연구를 수행한 나라의 언어를 사용해 음성요해도를 평가함으로써, 동일한 강의실환경에서 언어의 특성에 의한 음성요해도의 차이에 대하여 명확히 구분할 수 없었다.
이를 위해 본 논문에서는 강의실의 실내흡음력이 증가함에 따라 발생하는 물리적 음명료도 (D50, STI)의 변화가 학생의 음성요해도에 미치는 영향을 조사하였다. 이를 위해 중규모 강의실에서 흡음재를 설치하기 전과 후의 실내음향성능을 측정하고, 음절테스트 법을 사용해 음성요해도를 평가하였다. 음성요해도 평가시 한국어와 중국어의 두 가지 언어를 대상으로 진행함으로써 강의실의 음환경이 동일할 때 두 언어의 음성요해도 차이를 비교하였다.
1.2 한국어와 중국어 발음체계의 공통점과차이점
한국어와 중국어는 각각 알타이어와 한장어 계통으로써 서로 다른 언어체계에 속해있으므로 발음 및 음운 등에 다양한 방면에 걸쳐서 큰 차이점을 나타내고 있다. 그중에서도 특히 모음체계에 있어서 한국어와 중국어는 5개의 단모음 (ㅣ,ㅏ,ㅜ,ㅗ,ㅓ)과 7개의 이중모음 (ㅑ,ㅖ,ㅘ,ㅝ,ㅞ,ㅚ,ㅟ)이 매우 유사하여 공통된 발음형태를 가지고 있다. 그러나 한국어는 존재하는 단모음 ㅔ,ㅐ,ㅡ나 이중모음 ㅕ,ㅛ,ㅠ,ㅒ,ㅙ,ㅢ 등은 중국어의 모음체계에 존재하지 않는 차이점이 있다 [7].
또한 중국어의 가장 큰 특징으로 성조 (聲調)를 들 수 있다. 성조는 각 음절을 발음함에 있어서 말소리의 높이를 다르게 내는 것으로, 음평 (陰平), 양평 (陽平), 상성 (上聲), 거성 (去聲)의 4가지로 나뉜다. 이러한 성조체계에 따른 중국어 발음을 음높이 유형 (pitch pattern)에 따라 구분하면 음평은 높은 음을 힘을 빼지 않고 길게 발음하는 것이며 (high and level tone), 양평은 낮은 음에서 고음으로 단숨에 끌어올려 발음하는 것이고 (rising tone), 상성은 중음에서 저음으로 내려가다가 다시 반고음으로 올라가는 특징이 있으며 (falling-rising tone), 거성은 고음에서 저음으로 급강하하는 성조이다 (falling tone). 각 성조는 말소리의 높이를 통해 단어 의미의 변별 기능을 수행하는 중국어의 중요한 발음체계 [8]인데 반해, 한국어의 경우 언어의 구조상 동음이형어가 존재하지 않고 발음 이외에 추가적인 정보가 없다는 특징을 가지고 있다. 이러한 특징에 의해 중국어는 같은 단어라도 음절의 발음 특징에 따라 다른 의미를 나타내게 된다. 예를 들면 중국어의 단음절 중 ‘이’를 발음함에 있어서 성조에 따라 각각의 의미가 틀려지게 되는데 만약 음평으로 발음할 경우 숫자 1을 의미하고, 양평인 경우 이모 (姨)를 의미하며, 상성할 경우 이미 (已)를 의미하고, 거성으로 발음시 의 (義)를 의미하게 된다.
이러한 차이점으로 인해 한국어는 중국어에 비해 다양한 음절을 발음하고 표현할 수 있는 반면, 동일한 음절에 대한 이해도 측면에 있어서 중국어가 더욱 구분이 용이한 것을 알 수 있다. 한국어는 소리의 음절에 대한 이해가 음절 자체와 소리의 강약 및 길이에 의해서 구분되는데 반해 중국어는 이에 더하여 소리의 높낮이 즉, 주파수의 변환까지 더해지기 때문에 음절의 이해를 돕는 요소가 더 많기 때문이다.
따라서 본 연구에서는 이러한 언어의 발음체계의 차이점을 기반으로 한국어와 중국어의 음성요해도의 차이를 비교하고, 실내 흡음력의 증가에 따른 음성요해도의 개선효과를 평가하고자 한다.
II. 연구의 방법
2.1 실험 장소
본 연구에서는 C대학교의 일반 강의실 중 약 110명 학생을 수용할 수 있는 중규모의 강의실을 대상으로 실내음향성능을 측정하고 한국어 및 중국어의 음절 테스트를 진행하였다. 해당 강의실의 건축적 제원은 다음 표 1과 같다.
표 1. 강의실의 건축적 제원 Table 1. Architectural measures of the classroom. | |
구분 | 내용 |
길이 (L) | 14.2 m |
폭 (W) | 8.65 m |
높이 (H) | 2.71 m |
실용적 (V) | 332.87 m3 |
바닥면적 (F) | 122.83 m2 |
좌석수 (N) | 110석 |
좌석당 점유면적 (F/N) | 1.11 m2 |
좌석당 점유용적 (V/N) | 3.03 m3 |
|
(a) 평면도 |
|
(b) 단면도 |
그림 1. 대상공간 강의실의 도면 Fig. 1. Drawing of the classroom. |
2.2 실험의 구성
실내 흡음력 향상에 따른 물리적 음향인자의 변이와 한국어 및 중국어의 음성요해도를 조사하기 위하여 대상공간에 흡음재를 설치하기 전과 후 실내음향성능 측정과 음절테스트를 진행하였다. 실험에 사용된 흡음재의 종류 및 설치 위치는 다음과 같다.
(1) 흡음재의 종류
실험에 사용된 흡음재는 중·고주파수 대역의 흡음성능이 우수한 다공질성 흡음재를 사용하였으며, 일부 재료의 설치시 배후 공기층을 두어 보다 높은 흡음성능을 구현하고자 하였다. 다음의 표 2에는 실험에 사용된 흡음재의 종류 및 배후공기층의 유무, 주파수대역별 흡음률을 나타내고 있다.
(2) 흡음재의 설치 위치
강의실 내 흡음재의 적정 설치 위치에 대한 연구는 매우 다양한 관점에서 이어져오고 있다. 그 중에서도 신상봉 (2007)은 자신의 연구논문을 통해 강의실의 명료도 (D50, STI) 향상을 위해서는 뒷벽에 흡음재를 설치하는 것이 가장 효율적이라는 것을 밝힌바 있으며 [6], Marshall Long (2005) 또한 120석 규모의 강의실의 경우 잔향시간과 후기 반사음을 제어하고 높은 음명료도 얻기 위해서는 교실의 측벽과 뒷벽에 흡음재를 설치할 것을 제안한 바 있다 [9]. 또한 정대업 외 2인 (2001)은 청자에게 인입되는 소리의 공간성분을 인지할 수 있는 5채널 마이크로폰을 이용해 실험을 수행한 결과, 수평면보다 수직면으로부터 도달하는 초기반사음이 명료도에 더 큰 영향을 미치는 것으로 나타남으로써 직접음 보강을 위한 천정부의 적절한 반사에 대해 역설한 바 있다 [10].
따라서 본 연구에서는 교실의 각 측벽과 후벽에 흡음재를 설치함으로써 실내흡음력의 증가에 따른 물리적 음향인자의 변화와 함께 한국어 및 중국어의 음절요해도의 변화를 조사하고자 하였다. 다음의 그림 2에는 흡음재를 설치하기 전과 후의 위치별 마감재를 나타내고 있다.
2.3 실내음향성능 측정
실내흡음력의 증가에 따른 교실의 음성요해도 개선효과를 물리적으로 파악하기 위하여 실내 음향성능을 측정하였다. 실내음향성능의 측정은 KS F 2864에 의해 진행되었으며, 수음점은 강의실의 규모를 고려하여 약 9개소에 1.2 m 높이로 설정하였으며, 음원은 교실의 강단 바닥으로 부터 1.5 m 높이로 설정하였다. 실내음향성능 측정시 ETANI ASA-2에서 발생한 MLS 음원을 12면체 무지향성 스피커를 통해 방사하였으며, 방사된 음원은 충격응답음 (impulse response)의 형태로 녹취한 뒤 분석프로그램을 이용해 잔향시간 (RT), 음압레벨 (SPL), 음성명료도 (D50), 음성전달지수 (STI)를 분석하였다.
다음의 그림 3은 현장음향성능 측정시 수음점과 음원의 위치를 평면상에 나타낸 것이며, 그림 4는 장비의 구성도를 나타낸 것이다.
( |
그림 3. 교실 내 음원 및 수음점 위치 Fig. 3. Sound source receiving positions in the class-room. |
|
그림 4. 실내음향성능 측정시 장비구성도 Fig. 4. Set-up of acoustic measurement devices. |
2.4 음성요해도 평가
실내흡음력의 증가에 따른 강의실의 음성요해도 개선효과를 주관적으로 평가하기 위하여, 음절테스트 법에 의한 평가를 수행하였다. 음절 테스트란 피실험자가 헤드폰에서 발생하는 단음절의 시험용 음원을 듣고 받아 적은 후 그 정답률을 계산하는 방법을 말한다. 음절 테스트법을 이용한 평가시 언어의 발음체계에 따른 특징을 파악하기 위하여 한국어와 중국어를 대상으로 각각 실험을 진행하였다. 한국어와 중국어에 대한 음절테스트는 각 언어를 모국어로 사용하는 22세에서 25세의 정상청력을 유지하고 있는 한국학생 20명과 중국학생 20명을 대상으로 실시하였다.
음성요해도 평가시 피실험자의 평가위치는 그림 5와 같이 강의실 내 110개 좌석 중 60개소로 균등하게 배치하였으며, 1회 실험시 한국어와 중국어 모두 20명씩 전반부, 중반부, 후반부로 나누어 총 3번의 평가를 수행함으로써 교실 전체영역에서 주관적 평가가 이루어지도록 하였다.
음성요해도 평가는 1회 평가시 표 3 및 표 4 에 예시된 음절 총 100개의 음절을 듣고 받아 적도록 구성되어 있으며 [11,12], 각 시험에 사용된 음절은 음소별로 난이도의 균형을 이루고 있다. 음성요해도 실험시 각 음절은 강의시 일반적인 강사의 위치에 설정한 무지향성 스피커를 통해 전달되었으며, 스피커의 1 m 앞에서 측정한 음원의 출력레벨은 75 dB로 물리적 음향성능 측정시와 동일하게 설정하였다. 음성요해도 실험은 물리적 음향인자 측정을 시행한 동일한 시간대에 수행되었으며 언어명료도 실험시 암소음레벨은 약 34 dB (A)이었다.
피실험자는 무지향성 스피커를 통해 출력된 음절을 2초 동안 듣고 4초간 받아 적도록 함으로써 그 정답률을 통해 음성요해도를 평가하였다. 음절테스트에 사용한 음원은 한국어의 경우 무향실에서 아나운서의 음성을 DAT로 녹음하여 사용하였으며, 중국어의 경우 표준 녹음스튜디오 (recording studio)에서 녹음한 아나운서의 음성을 사용하였다. 이 밖에도 음절테스트시의 배경소음레벨 및 실험시간 등 기타 실험 환경은 실내음향성능 측정시와 동일하게 설정하도록 하였다.
III. 실험 결과
3.1 실내음향성능 측정 결과
(1) 잔향시간 (RT)
강의실의 잔향시간을 500 Hz와 1 kHz의 산술평균값인 RT-mid 값으로 비교한 결과, 흡음재를 설치하기 전의 잔향시간은 약 1.59초로 나타났다. 이것은 미국의 학습교실에 대한 음환경 기준 중 잔향시간 기준인 0.7초와 비교해 볼 때 [13], 2배 이상의 높은 값임을 알 수 있다. 그러나 흡음재를 설치한 뒤 약 0.85초로 약 0.74초가 줄어들었다.
강의실에 흡음재를 설치하기 전과 후의 잔향시간 평균을 다음의 그림 6과 같이 도식화하여 비교한 결과 중고주파수대역의 잔향시간이 상대적으로 크게 줄어든 것을 알 수 있는데, 이는 실험에 사용된 흡음재의 흡음률이 해당 주파수 대역에서 높은 흡음특성을 가지고 있는데 기인한 것이다.
또한, 흡음재의 설치에 따른 흡음력의 증가를 확인하기 위해서 잔향공식을 이용해서 흡음력을 계산한 결과, 표 5에 나타난 바와 같이 흡음재를 설치할 경우 기존교실에 비해 흡음력이 약 73.3 % 상승함을 알 수 있었다.
(2) 초기감쇠시간 (EDT)
다음의 그림 7은 강의실에 흠음재를 설치하기 전과 후의 초기감쇠시간 측정결과의 평균을 도식화하여 비교한 것이다. 측정 결과 기존 교실의 초기감쇠시간은 약 1.57초로 나타났으나 흡음재 설치 후 약 0.84초로 줄어든 것을 알 수 있었다. 이를 통해 초기감쇠시간과 잔향시간의 편차가 매우 작게 나타난 것을 알 수 있으며, 이를 통해 강의실 내에서 음이 균일하게 저감된다는 것을 유추할 수 있다. 또한 흡음재의 설치로 인해 초기 잔향음과 더불어 후기 잔향음이 동시에 저감되었음을 알 수 있다.
|
그림 10. 흡음재 설치전과 설치후의 평균 음성전달지수 비교 Fig. 10. Average STI values before and after sound absorption treatment. |
(3) 음압레벨 (SPL)
음압레벨 측정 결과의 평균값을 그림 8에 도식화 하였다. 측정 결과 강의실에 흡음재를 설치할 경우 기존 교실보다 음압레벨이 평균 1.3 dB 정도 감소되며, 특히 2 kHz과 4 kHz에서 약 1.9 dB로 가장 많이 감소되었음을 알 수 있었다.
흡음재를 설치한 후의 잔향시간이나 초기감쇠기간에 비해 음압레벨의 감소치가 작은 이유는 각 수음점이 음원으로 부터의 거리가 짧고 천정에 의한 고른 초기 반사음이 전달됨으로써 직접음과 초기반사음이 풍부하여 음압레벨의 감소가 상대적으로 작게 나타난 것으로 판단할 수 있다.
(4) 음성명료도 (D50)
D50값은 전체에너지에 대한 초기음 에너지의 비율로서 음성의 명료함을 평가하는 음향인자로 사용되며, 그 값이 1에 가까울수록 명료도가 높은 것을 나타낸다. 다음의 그림 9는 강의실의 흡음재 설치 유무에 따른 음성명료도 비교하여 나타낸 것이다.
음성명료도 측정결과 흡음재를 설치하였을 때 전 주파수대역에서 음성명료도가 향상됨을 알 수 있었다. 강의실 내에 흡음재를 설치하기 전 음성명료도 평균값은 약 37.5 %로 강의를 위한 공간으로써 다소 낮은 경향을 보이는데 비해, 흡음재를 설치한 후 약 55.3 %로 크게 향상된 것을 알 수 있었다. 그 중에서도 250 Hz와 1 KHz 이상의 고주파수 대역에서 음성명료도가 크게 향상되었음을 알 수 있었다.
(5) 음성전달지수 (STI)
음성전달지수는 실내에서 사람의 대화나 강연내용의 이해도에 대한 평가지표로 본 연구에서는 교실에서 음성의 이해도를 정확히 비교하기 위하여 사용하였으며, 그 결과를 그림 10에 나타내었다.
측정결과, 기존 교실의 음성전달지수는 0.48로 음성전달을 목표로 한 공간의 한계치인 0.5 이하로 나타났다. 그러나 흡음재를 설치한 후의 음성전달지수는 최적치인 0.60 이상으로 상승됨으로써 음성전달을 위한 음향성능이 향상되었음을 알 수 있었다.
3.2 음절테스트 결과
실내흡음력의 증가에 따른 음성요해도를 평가하기 위하여 흡음재의 설치전과 설치 후에 교실에서 실시한 음절테스트 결과를 언어의 종류에 따라서 그림 11과 12에 도식화하였다.
(1) 한국어
한국어의 음절테스트 결과, 기존교실에서 수행한 음절테스트 정답률은 평균 73.1 %로 나타났으며, 흡음재를 부착한 후의 평균 정답률이 약 4.9 %가 상승한 약 78.0 %로 나타났다. 이는 흡음력의 증가에 따라서 잔향시간이 줄어들고 음성명료도가 향상된 결과로 판단된다.
교실을 음원으로부터의 거리를 통해 전반부와 중반부, 후반부로 구분할 때 음원에서 가까운 위치에서 정답률이 제일 높았으며 이격 거리에 따라서 정답율은 점차로 작아졌다. 특히, 후반부에서 정답율이 급격히 떨어지는 것 알 수 있었다. 또한 교실을 좌・중간・우측으로 구분할 때 흡음재의 부착 전후에 따른 위치별 정답률의 차이는 매우 작은 것으로 나타났다. 그리고 우측을 제외한 좌측 및 중간측에서 흡음재를 설치하기 전보다 흡음재 설치한 후의 한국어 음절 테스트 정답률의 표준편차가 작게 나타났다. 즉, 실내흡음력이 증가됨에 따라 실내의 음성분포 더 균일해 진 것을 알 수 있었다.
(2) 중국어
중국어는 언어의 특징상 음과 발음이 같아도 문자소가 다른 동음이형어가 존재함에 따라 음절테스트시 들려주는 음절과 자음, 모음과 톤 (tone)이 맞으면 정답으로 판단하였다.
실험 결과 기존교실에서의 음절테스트 정답률은 약 83.4 %로 나타났으며, 실내에 흡음재를 설치함에 따라 89.8 %로 증가하한 것으로 나타났다. 이를 통해 흡음재 설치 후 기존 교실에 비해 음절테스트 정답률이 약 6.4 %가 높아졌음을 알 수 있었다.
교실을 전반부, 중반부, 후반부로 나누어 분석할 때 위치에 따른 테스트결과 차이가 큰 것으로 나타났으며 위치를 좌·중·우로 분석할 때 흡음재 설치 후에 이 세부분의 편차가 더 커졌다. 또한 흡음재 설치 전보다 흡음재 설치 후에 중국어 음절테스트 정답률의 표준편차가 더 작게 나타냈다. 마찬가지로 흡음력 증가에 따라 실내의 음성분포가 더 균일하게 나타내는 것을 검증하였다.
한편 동일한 음향적 환경에서 한국어의 음절테스트 결과보다 중국어의 음절테스트 결과가 항상 높게 나타나는 것을 알 수 있었다. 즉, 기존교실에서 한국어보다 중국어의 음절테스트 결과가 약 10.3 % 크게 나타났으며, 강의실 내부에 흡음재를 설치한 후 약 11.8 % 큰 것을 확인할 수 있었다.
IV. 물리적 인자와 음성요해도의 상관관계
강의실의 실내흡음력의 변화에 따른 음성요해도와 음향적 영향 요인과의 상관관계를 분석하기 위하여, 강의실에 흡음재를 설치하기 전과 후 60개소 측정점에서 수행한 음절테스트 결과를 음원으로부터의 거리, 9개의 수음점에서 측정한 실내음향성능 측정결과 (SPL, RT, D50, STI)와의 상관관계를 도출하고 비교하였다. 상관관계 결정계수 R2가 0.65이상일 경우 두 인자간 상관도는 매우 높은 것을 의미한다.
4.1 음원과 수음점의 거리
다음의 그림 13은 음원과 수음점의 거리와 음절테스트 결과의 상관관계를 한국어와 중국어로 구분하여 나타낸 것이다. 또한 흡음재의 설치 유무에 따른 상관관계의 변화를 조사하기 위하여 각각의 상관관계를 도출한 뒤 분석하였다.
한국어의 경우 흡음재를 설치하기 전과 후 모두 음원으로부터의 거리와 음절테스트 결과는 부 (-)의 상관관계가 있는 것으로 나타났다. 즉, 음원과 수음점의 거리가 길어질수록 음성요해도가 낮아지는 반비례의 관계에 있음을 보여주는 것이다. 이러한 현상은 음원으로부터 멀어질수록 직접음의 길이가 점점 길어짐으로써 발생하는 것으로 예측된다. 또한 흡음재 설치 전의 결정계수 R2가 0.395 (R=-0.628)로 낮은 상관관계를 보이는 반면, 흡음재를 설치한 후 결정계수 R2는 0.572 (R=-0.757)로 나타나 유의하지는 않지만 높은 상관관계의 상태로 나타났다. 이것은 흡음재의 설치로 인해 후기 잔향음이 저감되어 높아짐으로써 음성요해도가 개선 된 것으로 판단된다.
반면, 중국어의 경우 음원과 수음점의 거리와 음절테스트 결과 사이의 결정계수 R2 값이 흡음재를 설치하기 전에는 0.199 (R=-0.447), 흡음재 설치 후에는 0.119 (R=-0.345)로 나타남으로써 상관관계가 매우 낮은 것으로 나타났다.
이를 통해 중국어는 한국어와는 달리 직접음에 의한 영향이 상대적으로 매우 낮은 것을 알 수 있다. 즉, 한국어의 경우 직접음에 의해 음절을 구별하는 반면 중국어의 경우 직접음의 영향이 상대적으로 낮은 것으로 평가된다.
4.2 음압레벨 (SPL)
다음의 그림 4는 강의실에 흡음재를 설치함에 따라 발생하는 음압레벨의 변화와 음절테스트 결과를 도식화해 비교하여 것이며, 이를 통해 두 인자간의 상관관계를 도출하였다.
한국어: 기존 교실 한국어: 흡음재 설치 후 중국어: 기존 교실 중국어: 흡음재 설치 후 |
그림 14. 음압레벨과 음성요해도의 상관관계 Fig. 14. The correlation of SPL with the speech intelligibility. |
음압레벨 (SPL)의 경우 한국어의 R2 값은 약 0.060 (R=0.240)이며, 중국어 R2 값은 0.002 (r=-0.040)로 나타남으로써 음압레벨은 음성요해도와의 상관관계가 매우 낮음을 알 수 있었다.
4.3 초기감쇠시간 (EDT)
실내 흡음재의 설치에 따른 초기감쇠시간의 변화와 음절테스트 결과 사이의 상관관계를 파악하기 위하여 다음의 그림 15와 같이 도식화한 뒤 비교하였다. 분석시 초기감쇠시간은 중간주파수 대역의 산술평균 값인 EDT-mid를 사용하였다.
한국어: 기존 교실 한국어: 흡음재 설치 후 중국어: 기존 교실 중국어: 흡음재 설치 후 |
그림 15. 초기감쇠시간과 음성요해도의 상관관계 Fig. 15. The correlation of EDTmid with the speech intelligibility. |
상관관계 분석결과, 한국어의 경우 초기감쇠시간이 증가함에 따라 음성요해도가 감소하는 결과를 보이고 있다. 상관계수 R값의 산출결과 -0.519로 부의 선형관계를 가지고 있으며 R2 값이 약 0.289로 나타로 나타나 상관관계는 낮은 것으로 나타났다. 중국어의 경우도 마찬가로 상관계수 R 값이 -0.611로 두 인자가 선형의 관계에 있지만 결정계수 R2 값이 0.373으로 나타나 상관도는 유의미하지 않은 것으로 나타났다.
4.4 잔향시간 (RT)
잔향시간의 변화에 따른 음성요해도의 관계를 파악하기 위하여, 다음 그림 16과 같이 중간주파수대역 (500 Hz, 1 kHz) 의 잔향시간 평균인 RT-mid 값과 음절테스트 결과를 이용해 사용해 상관관계를 조사하였다.
한국어: 기존 교실 한국어: 흡음재 설치 후 중국어: 기존 교실 중국어: 흡음재 설치 후 |
그림 16. 잔향시간과 음성요해도의 상관관계 Fig. 16. The correlation of RTmid with the speech intelligibility. |
잔향시간의 변화에 의한 상관계수 R은 한국어는 -0.575, 중국어는 -0.744로 나타나 부의 선형관계에 있음을 알 수 있다. 이것은 잔향시간이 증가함에 따라 음성요해도가 저감되는 것을 의미하는 것이다. 그러나 두 인자간의 인과관계를 나타내는 결정계수 R2 값이 한국어의 경우 약 0.331, 중국어의 경우 약 0.553으로 나타나 확실한 상관관계는 나타나지 않고 있으나, 한국어보다 중국어가 잔향시간에 상대적으로 영향을 더 많이 받는다는 것을 알 수 있다. 이것은 중국어의 경우 초기 음에너지와 더불어 후기 잔향음도 음절의 구분에 영향을 미치는 것으로 판단된다. 즉, 중국어의 경우 성조의 영향으로 발음시간이 길어지게 되고 발음시 강세 및 음의 높낮이 등의 다양한 정보를 모두 수용하게 되며 이로인해 음절의 지속시간 전체에 걸쳐 짧은 잔향시간이 요구되는 것으로 유추된다.
4.5 음성명료도 (D50)
그림 17은 실내흡음력의 변화에 따른 음명료도와 음절테스트와의 관계를 나타낸 것이며, 이를 통해 결정계수를 산출하였다.
한국어: 기존 교실 한국어: 흡음재 설치 후 중국어: 기존 교실 중국어: 흡음재 설치 후 |
그림 17. 음성명료도과 음성요해도의 상관관계 Fig. 17. The correlation of D50 with the speech intelligibility. |
분석결과 음성명료도와 음성요해도는 정 (+)의 선형관계를 나타내고 있으며, 결정계수 R2 값이 한국어의 경우 0.696, 중국어는 0.707로 나타나 서로 유의미한 상관관계에 있음을 알 수 있었다. 이것은 흡음력 향상에 따라 초기 반사음 에너지 비율이 높아지고 음성요해도 또한 직선관계로 향상되고 있으므로, 음성명료도 값이 커질수록 청취자의 음성요해도가 개선되며 나아가 교사의 말을 학생이 보다 잘 이해할 수 있는 것이다.
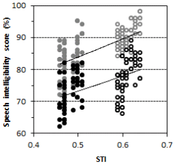
4.6 음성전달지수 (STI)
음성명료도와 마찬가지로 음성전달지수가 증가할수록 음성요해도 또한 비례적으로 증가하게 되는 것을 알 수 있었다. 두 인자간의 상관계수 분석결과 한국어와 중국어 모두 정의 선형관계에 있고, 음성전달지수와 음절테스트 결과 결정계수 (R2) 값이 한국어의 경우 0.651, 중국어는 0.665로 유의미한 상관관계로 나타났기 때문이다.
한국어:기존 교실 한국어:흡음재 설치 후 중국어:기존 교실 중국어:흡음재 설치 후 |
그림 18. 음성전달지수와 음성요해도의 상관관계 Fig. 18. The correlation of STI with the speech intelligibility. |
V. 결 론
본 논문은 빈 강의실의 놔·우측벽 및 뒷벽에 흡음재를 설치함으로써 실내흡음력의 증가시킨 뒤 실내음향성능을 측정하여 물리적 음향성능의 변화를 조사하고, 음절테스트를 통해 음성요해도의 변화를 파악한 뒤 상관관계를 밝히고자 하였다. 본 연구의 결과를 종합하여 도출한 결론은 다음과 같다.
1) 실내음향성능 측정 결과, 흡음재를 설치하기 전과 후 강의실의 잔향시간 (RT-mid) 및 초기감쇠시간 (EDT-mid), 음압레벨 (SPL)이 감소하였으며, 음성명료도 (D50) 및 음성전달지수 (STI)가 증가하였다.
2) 음절테스트 결과, 흡음재를 설치함에 따라 한국어의 평균 정답률은 약 4.9 %, 중국어는 약 6.4 %가 증가하였음을 알 수 있었으며, 한국어보다 중국어의 음절테스트 정답률이 흡음재의 설치 전과 후 모두 약 11 % 가량 높게 나타났다.
3) 물리적 인자와 음절테스트의 상관관계 분석 결과 한국어는 음성명료도 및 음성전달지수와 비례적으로 유의한 상관관계 (R2=0.65 이상)를 보이고 있었으며, 흡음재를 설치하였을 때 음원과 수음점의 거리와 부 (-)의 선형관계를 나타내며 유의하지 않지만 높은 수준의 상관관계 (R2= 0.572)를 보이고 있었다. 이를 통해 한국어의 음성요해도에는 직접음과 초기반사음비가 가장 큰 영향을 미치는 것으로 판단된다.
4) 중국어의 경우 한국어와 마찬가지로 음성명료도 및 음성전달지수와 음절테스트 결과가 정 (+)적으로 유의한 상관관계 (R2=0.65 이상)에 있음을 알 수 있었다. 그러나 잔향시간과 부 (-)적으로 높은 상관관계 (R2=0.553)에 있음을 알 수 있었다. 이를 통해 중국어는 초기반사음비에 비례적이고 후기 잔향음에 반비례적인 영향을 받는 것을 알 수 있었다.
이상의 연구 결과를 통해 동일한 공간에서도 한국어와 중국어의 음성요해도가 다르게 나타날 수 있음을 파악하였다. 또한 한국어와 중국어 모두 음성명료도와 음성인지성능에 공통적으로 영향을 받고 있으므로, 음성요해도에 영향을 미치는 요인은 초기반사음임을 주장하는 기존의 연구결과를 뒷받침하고 있다. 그러나 2차적 영향요인으로써 한국어는 음원으로부터의 거리, 중국어는 잔향시간으로 나타남으로써 언어별로 초기반사음 외에 음절요해도에 영향을 미치는 인자가 다를 수 있음을 확인하였다. 이러한 결과를 종합해 볼 때 언어의 발음 특성에 따라 음성요해도에 영향을 미치는 요인이 각기 다를 수 있으므로 교실의 설계시 언어의 발음특성에 적합한 음환경 기준을 설정해야 함을 제안하는 바이다. 또한 동일한 음환경에서 성인에 비해 8세 이하 아동의 음성요해도 능력이 더 낮으며, 공간의 명료도가 낮아질수록 아동의 음성요해도 능력은 성인에 비해 더욱 현저히 낮아지는 연구결과 [3]를 감안할 때, 음성전달을 위주로 한 공간의 사용연령에 적합한 음환경 기준이 설정되어야 할 것이다.
그러나 본 연구는 C대학 중규모 강의실을 대상으로 흡음재의 설치 유무에 따른 음향인자의 변화와 음절테스트 결과를 비교한 것으로 일반화에 다소 부족함이 있다. 또한 현재까지 음절요해도와 학습성과의 상관관계에 대한 연구결과가 없으므로 본 연구의 결과가 학생의 학습성취도에 영향을 미칠 것으로 단언하기에는 어려움이 있다. 따라서 향후 여러 규모의 공간에서 다양한 흡음성능을 단계별로 적용하여 언어별 음성요해도와의 상관관계를 분석하고, 학생들의 학업성취도 결과의 모니터링을 통해 비교한다면 한국어와 중국어 외에도 다양한 언어에 영향을 미치는 요인을 설정하고 음성요해도와 학업성취도와의 관계를 설명할 수 있는 연구결과를 도출할 수 있을 것이다.










.















