I. 서 론
II. 전달 행렬 기반 이론 해석
2.1 메타 소음기 공명 구조체의 Transfer matrix
2.2 메타 소음기 공명 구조체의 Sound transmission loss(STL)
III. 소음 저감 성능 평가: 수치 해석 및 실험 검증
3.1 4 Microphone Method 기반 STL 산출 이론
3.2 내부 구조 설계 변수에 따른 음향 투과 특성 분석
3.3 임피던스 튜브 실험을 통한 음향 특성 검증
IV. 결 론
I. 서 론
엔진이 장착된 기계 장치는 작동 중 엔진에서 고온, 고압의 배기 가스를 배출하며, 이 과정에서 상당한 수준의 소음이 발생하게 된다. 이러한 배기 소음은 사용자의 청각적, 심리적 피로를 유발할 수 있으며, 주변 환경에도 부정적인 영향을 미친다. 이러한 문제점들 때문에 일반적으로 차량,[1,2,3] 선박[4] 등에서 배기 소음 저감 조치를 위한 연구가 진행되고 있다. 그중 한 예로, 전차 등의 군용 차량에도 소음 저감을 위한 머플러가 연구되고 있으며,[5] 훈련 시 발생하는 과도한 소음은 주변 지역 주민에게 불편을 초래할 수 있다.
이와 같은 이유들로, 배기 소음을 제어하기 위한 다양한 형태의 소음기가 지속적으로 연구되어 왔다. 대표적으로 소음기는 반사형 소음기와 흡수형 소음기로 분류된다.
흡수형 소음기[6,7]는 다공성 섬유 재료를 활용하여, 재료 내부로 음파가 침투할 때 발생하는 점성 마찰 손실과 열 전달에 의한 에너지 소산 효과를 통해 음향 에너지를 감쇠 시키는 방식이다. 이러한 방식은 고주파 영역에서는 우수한 흡음 성능을 보이지만, 저주파 대역에서 흡음률이 상대적으로 낮은 한계를 지닌다. 이를 보완하기 위해 미세천공 패널(MicroPerforated Panels, MPP)을 적용한 구조가 제안되었으며,[8,9] 헬름홀츠 공명기 내부에 흡음재를 내장하는 방식[10] 또한 연구되었다.
반사형 소음기는 공명기 내부의 구조적 특성을 활용하여 음파의 반사 및 간섭을 유도함으로써 소음을 저감하는 방식으로, 특히 특정 주파수에 대해 높은 소음 저감 성능을 기대할 수 있다. 이 방식의 대표적인 예는 4분의 1파장 공명기(Quarter-Wave Resonator, QWR)[11,12]로, 이는 목표 주파수에 해당하는 파장의 1/4에 해당하는 길이를 가지도록 설계되어 공진 조건을 만족시킨다. QWR은 단순한 구조와 설계 용이성이라는 장점을 지니고 있으나, 목표 주파수가 낮아질수록 길이가 증가하게 되어 공간적 제약이 있는 시스템에서는 적용이 어렵다는 한계가 존재한다. 이러한 한계를 극복하기 위한 방안으로, 음향 경로를 굴절시켜 공간을 효율적으로 활용할 수 있는 coiled-type resonator 또는 labyrinthine 구조의 메타물질에 대한 연구가 활발히 진행되고 있다.[13,14,15] 본 연구에서도 이와 같은 개념을 바탕으로, 제한된 공간 내에서 저주파 소음 저감 성능을 향상시키기 위한 미로형 메타 구조 기반의 다중 경로 반사형 소음기를 설계하고자 한다.
본 연구에서는 특정 저주파 대역에서의 소음 저감 성능 향상을 목표로, 반사형 소음기의 형상적 특성을 기반으로 한 새로운 구조 설계를 수행하였다. 제안된 구조체는 음향 에너지가 유입되는 입구 영역과 다중 슬릿 영역으로 구성된다. 다중 슬릿 영역은 내부에 배치된 얇은 벽체들에 의해 공간이 구분되어 있으며, 각 경로는 상이한 단면적 및 경로 길이를 갖는다. 이러한 기하학적 차이는 각 슬릿이 고유의 음향 임피던스를 지니게 만드는 요인으로 작용하게 되며, 이는 음파의 투과 및 반사 특성에 큰 영향을 미친다. 특히, 슬릿 간의 임피던스 불일치는 특정 주파수에서 강한 공진 현상을 유도하여, 선택적인 소음 저감 효과를 나타내는 데 기여한다. 아울러, 내부 벽체에 의해 음향 경로가 연장되면서 구조의 전체 크기를 증가시키지 않고도 저주파 대역에서의 효과적인 투과 손실 특성을 구현할 수 있다.
II. 전달 행렬 기반 이론 해석
2.1 메타 소음기 공명 구조체의 Transfer matrix
본 연구에서는 Fig. 1에서 볼 수 있듯이 복잡한 경로를 지닌 메타 소음기 구조체의 음향 전달 특성을 정량적으로 분석하기 위해 전달 행렬법(Transfer Matrix Method, TMM)을 적용한다.[16] TMM은 다층 구조물 혹은 직렬로 연결 되어있는 음향 경로를 분석하고 해석하는데 적합한 방식으로, 각 경로에 대한 압력과 속도의 관계를 행렬 형태로 나타내고 이를 층별로 곱하면서 전체 시스템의 응답을 계산해 낼 수 있다. 특히, 입구 영역과 다중 슬릿 영역 각각의 음향 임피던스를 고려한 개별 전달 행렬을 구성하고 이를 결합함으로써 메타 소음기 구조체의 전체 음향 투과 손실(Sound Transmission Loss, STL)을 예측할 수 있다.
Fig. 2(b)는 메타 소음기 내부 구조를 구성하는 주요 요소들을 구체적으로 도식화한 것으로, 각 구성 요소는 개별적인 음향 전달 행렬을 갖는다. 이 구조 내에서, 입구 영역의 전달 행렬을 , 다중 슬릿 영역 전체의 전달 행렬은 라 정의된다. 따라서 전체 메타 소음기 구조체 전체의 전달 행렬 는 두 부분의 전달 행렬 곱으로 표현된다.
Fig. 2(b)에서 볼 수 있듯이 다중 슬릿 영역은 총 7개의 음향 경로로 구성되어 있으며, 이들 각각은 독립적인 슬릿 구조로 분리되어 있다. 해당 영역의 전체 전달 행렬 는 각 슬릿 경로의 전달 행렬 을 순차적으로 곱하여 다음과 같이 표현된다.
여기서 은 n번째 슬릿 경로에서의 전달 행렬을 의미하며, 경로를 따라 전파된다는 가정 하에 다음과 같은 2×2 복소수 행렬 형태로 정의된다.
Eq. (3)은 공기의 밀도, 는 공기 중 음속, 는 공기 중 음파의 파수를 각각 나타낸다. 본 연구에서는 공기 매질의 점성에 의한 감쇠를 반영하기 위해 = 343(1 + 0.01i) m/s로 설정하여 복소 음속 기반의 근사 손실 모델을 적용하였다. 또한, 은 번째 슬릿 경로를 따라 음파가 전달되는 유효 길이이며, 은 해당 경로의 단면적이다. Fig. 2(b)에서 보이는 슬릿의 형상과 구조적 특성에 따라 정의된다.
구체적으로 살펴보면, 이 홀수인 경우, 해당 슬릿 경로는 도넛 형의 단면을 가지며, 이때 단면적 은 경로를 따라 일정한 값을 유지한다. 경로 길이 은 해당 구간의 중심선을 기준으로 , , 와 같다. 이때 은 전체 메타 소음기의 길이, 는 입구 영역 길이, 는 내부 벽체의 길이를 의미한다.
반면에 이 짝수인 경우, 해당 슬릿 경로는 원기둥의 곡면의 형상을 가지며, 단면적은 다음과 같이 정의된다.
여기서 은 덕트의 반지름, 는 소음기의 전체 폭을 의미하며, 해당 경로 길이는 내부 벽의 두께 로 설정된다. 해당 단면은 원기둥의 곡면 형상과 유사한 구조를 가지며, 보다 정밀한 해석을 위해 단면적 산정 시 내부 벽체 두께 를 포함하여 고려하였다.
입구 영역의 전달 행렬 는 다음과 같이 주어진다.
입구 영역은 경로를 따라 점진적으로 증가하는 구조를 가지며, 이에 따라 전달 행렬법 해석을 위해 입구 영역의 단면적 는 반지름이 인 지점에서의 값을 기준으로 정의하였다. 이는 구조 말단에서의 기하학적 정보가 음향 해석에 보다 직접적으로 반영될 수 있다고 판단하여 설정한 것으로, 계산의 일관성과 해석의 편의성을 고려한 근사적인 접근이다.
2.2 메타 소음기 공명 구조체의 Sound transmission loss(STL)
앞서 제시한 2.1절에서 메타 소음기 구조체의 기하학적 특성 특성을 바탕으로, 각 음향 경로에 대한 개별 전달 행렬을 구하고 이들을 순차적으로 곱하여 전체 메타 소음기 공명 구조체의 전달 행렬 를 도출하였다. 이 절에서는 해당 전달 행렬을 활용하여 메타 소음기의 음향 투과 손실 특성을 이론적으로 예측하는 방법을 기술한다.
음향 경계 조건을 고려할 때, 소음기 양 끝단의 압력 과 체적 속도 의 관계는 다음과 같은 전달 행렬 표현으로 나타낼 수 있다.
여기서 와 는 각각 소음기 입구에서의 음압[Pa]과 체적속도[m3/s]를, 와 는 소음기 끝단에서의 값을 의미한다. 본 연구에서는 메타 소음기의 끝단이 단단한 벽으로 막혀 있다고 가정하였으며, 이에 따라 체적 속도 =0이 된다.
이 조건을 Eq. (7)에 적용하면, 소음기 입구에서의 음향 임피던스는 으로 계산된다. 여기서 는 소음기 입구의 단면적이다.
Fig. 3은 입사파 및 투과파의 압력, 속도 관계를 시각적으로 도식화한 것으로, Fig. 3(a)는 단일 메타 소음기가 부착된 도식 이미지이고 Fig. 3(b)는 두 개의 소음기가 직렬 형태로 이어진 이미지이다. 해당 조건에서의 전달 행렬 표현을 Eqs. (8a)와 (8b) 같이 확장할 수 있다.
행렬은 각 구조체 입구에서의 경계 조건을 반영하여 재정의된 전달 행렬이다. Eq. (8b) 의 경우 두 소음기 입구사이 구간에 대한 전달행렬 가 추가되어 해당 구간에서 음향 임피던스를 고려하였다. 이때 두 소음기 사이 거리를 이라 하고, 구간 거리는 로 정의하였다.
은 각 구조체 간 음파의 위상차를 결정하는 중요한 인자로, 전체 구조의 투과 손실 특성에 직접적인 영향을 미친다. 이 작을수록 두 소음기 간의 위상차가 감소하여 음향적 결합이 강화된다. 본 연구에서는 실험 장치의 결합 구조 제약을 고려하여 을 짧게 설계하였으며, 이로 인해 두 소음기가 하나의 복합 공진기로 작용하면서 안정적이고 넓은 주파수 대역에서의 저감 성능을 기대한다.
이를 통해 입사파 대비 투과파의 비율, 즉 투과 손실 계수를 다음과 같은 식으로 도출할 수 있다.
여기서 는 공기의 고유 음향 임피던스이다.
따라서, 최종적으로 해당 메타 구조체의 음향 투과 손실은 아래와 같이 계산된다.
이 식은 주파수에 따른 STL을 정량적으로 계산할 수 있게 해주며, 이후 수치 해석 혹은 실험 결과와의 비교를 통해 모델의 타당성을 평가하는 데 활용된다.
III. 소음 저감 성능 평가: 수치 해석 및 실험 검증
3.1 4 Microphone Method 기반 STL 산출 이론
메타 소음기 구조체의 소음 저감 성능을 평가하기 위해 일반적으로 음향 투과 손실이 자주 활용된다. 본 연구에서는 구조체의 STL을 측정하기 위해, 앞서 2.1절과 2.2절에서 소개한 전달 행렬법과 실제 형상에 근접한 모델링을 적용한 유한요소법(Finite Element Method, FEM)을 함께 사용하였다. FEM 해석은 COMSOL Multiphysics의 Acoustic module을 활용하여 수행되었으며, 주파수 영역에서의 음향 응답 특성을 분석하였다. 본 해석은 2차원 축 대칭 모델을 기반으로 하였으며, 계산 효율성과 모델 단순화를 위해 도입되었다.
해석은 50 Hz부터 1600 Hz까지의 유효 주파수 범위를 대상으로 수행되었으며, 이는 해당 메타 구조체의 설계 목적 주파수 대역을 충분히 포함하는 범위이다. 구조체 내부의 음향 경계 조건은 이상적인 반사 조건을 가정하여 도파관의 벽면 및 메타 구조체 내부의 모든 벽을 Hard wall 조건으로 설정하였다. 또한, Mesh는 해석의 정밀도를 위해 해당 주파수 범위에서 최소 파장의 1/6의 세분화된 요소 크기로 구성하였다.
메타 구조체는 음향 도파관과 연결되어 있으며, 도파관의 상단에는 343 m/s의 음속으로 1 Pa의 평면파가 수직으로 입사하는 조건이 주어졌다. 구조체의 입·출력 측 도파관에는 총 4개의 마이크 위치가 정의되어 있으며, 이는 구조체를 기준으로 각각 입사파, 반사파, 투과파의 복소 음압을 측정하기 위한 목적으로 설정되었다. 해당 면들은 COMSOL 상에서 음압을 수집하는 가상의 마이크로 지정되었다. 각 마이크 위치에서의 복소 음압은 다음 식으로 표현된다.
여기서 , , , 는 각각의 마이크 위치에서 측정된 복소 음압이며, 와 는 메타 구조체 입사면에서의 입사파 및 반사파의 복소 진폭 계수, 와 는 투과면에서의 진행파 및 반사파의 복소 진폭 계수를 의미한다. 또한, , , , 는 메타 소음기의 입구단으로부터 각 마이크까지의 거리이다. 이때 각 진폭 계수들을 정리하면 다음과 같은 식으로 복소 음압을 이용해 표현할 수 있다.
STL은 입사파() 대비 투과파()의 에너지 비를 데시벨(dB) 단위로 환산하여 다음과 같이 정의된다.
도출된 Eq. (19)는 이후 절에서 전달 행렬법 기반의 이론 해석과 실제 실험 데이터를 바탕으로 한 측정값과 비교되어, FEM 기반 시뮬레이션 모델의 타당성과 예측 정확도를 확인하는데 이용될 것이다.
3.2 내부 구조 설계 변수에 따른 음향 투과 특성 분석
메타 소음기 구조체의 음향 임피던스는 공명기 내부 구조의 크기, 형태에 따라 결정되며, 이는 결과적으로 음향 투과 손실에 직접적인 영향을 미친다. 본 절에서는 내부 벽체의 길이, 개수를 변수로 설정하여 Parametric study를 수행하였으며, 각 변수 변화에 따른 STL 및 공명 주파수 이동 현상을 전달 행렬법과 유한요소법을 통해 정량적으로 분석하였다. 모든 해석은 COMSOL Multiphysics의 Acoustic Module을 활용하여 수행되었으며, 구조체의 경계 조건은 이상적 반사 조건을 가정하여 전 영역에 Hard wall boundary를 적용하였다. 또한 FEM 해석에서도 TMM과 동일하게 공기 매질의 점성에 의한 감쇠를 반영하기 위해 음속을 343(1 + 0.01i) m/s로 설정하였다. 전체 소음기 외형은 길이 L = 100 mm, 폭 W = 50 mm, 덕트 반지름 = 50 mm, 입구 길이 E = 30 mm로 고정하였다.
3.2.1 내부 벽체 길이 변화에 따른 음향 특성 분석
우선, 내부 벽체의 길이를 변수로 설정하여 유효 음향 경로 길이의 변화가 STL에 미치는 영향을 분석하였다. 구조체는 내부 벽체 개수 3개로 설정한 상태에서 각각 Li = 70 mm, 80 mm, 90 mm의 세 가지 조건에 대해 해석을 수행하였다.
Fig. 4는 각 조건에 대한 STL 결과를 TMM과 FEM 방식으로 도출한 그래프로, 두 방식 모두 유사한 경향성을 보였다. 분석 결과, 내부 벽체의 길이가 증가할수록 공명 주파수가 점진적으로 저주파 영역으로 이동하는 경향을 확인할 수 있었다. 이는 내부 구조물에 의해 형성되는 음향 경로의 유효 길이가 길어지면서 공진 조건을 만족시키는 주파수가 낮아졌기 때문으로 해석된다.
일반적으로, 한쪽 끝이 막혀 있는 공진기의 공진 주파수는 로 정의되며, 여기서 는 음속, n은 모드 번호 그리고 Leff는 파동이 경로를 따라 이동하는 데 필요한 거리이다. 해당 식에서 유효 길이는 이며, 각 조건에서 계산된 공명 주파수는 약 289 Hz(), 262 Hz(), 240 Hz()로 추정된다. 이는 FEM 해석 및 TMM 기반 결과와 비교해 약 30 Hz의 차이를 보이며, 구조의 실제 형상이 단순 기하 조건에서 벗어나 있기 때문으로 이해된다. 이러한 차이에도 불구하고, 내부 벽체의 길이가 증가함에 따라 공진 주파수가 저주파 영역으로 이동하는 경향은 TMM, FEM, 근사식 모두에서 일관되게 나타난다.
3.2.2 내부 벽체 개수 변화에 따른 음향 특성 분석
내부 벽체의 개수 또한 메타 소음기 구조내 유효 경로 길이에 직접적인 영향을 미치는 인자이다. Fig. 5는 내부 벽체의 길이를 70 mm로 고정하고, 벽체의 개수 N을 각각 0개, 1개, 2개, 3개로 변화시키며 STL을 분석한 결과를 나타낸다. 해석 결과, 벽체 개수가 증가할수록 구조 내부에서 음향 파동이 따라야 하는 경로의 길이가 증가하였고, 이에 따라 Leff는 120 mm(0개), 167 mm(1개), 230 mm(2개), 297 mm(3개)로 증가하였다. 이로 인해 공명 주파수는 고주파에서 저주파로 점진적으로 이동하였다. 해당 결과는 앞서 제시한 근사 식과 일치하며, 메타 구조 내부의 벽체 수 또한 공진 특성을 조절하는 핵심 설계 인자임을 시사한다.
3.2.3 이종 구조체 직렬 연결에 따른 음향 특성 분석
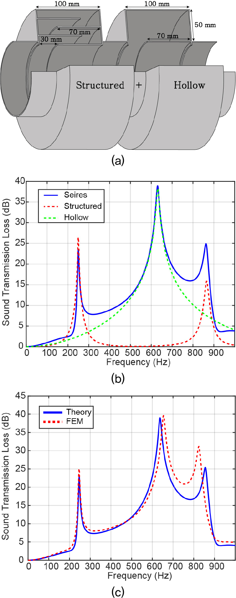
앞서 살펴본 바와 같이, 동일한 원통형 구조체에 내부 벽체를 적용함으로써, 특정 저주파 대역에서 높은 음향 투과 손실을 유도할 수 있음을 Figs. 4와 5에서 확인하였다. 이와 같은 설계 개념을 확장하여, 서로 상이한 음향 특성을 지닌 두 개의 소음기를 직렬로 연결할 경우, 각 구조체의 공진 특성이 결합되어 보다 넓은 주파수 범위에서 향상된 소음 저감 성능을 기대할 수 있다. Fig. 6(b)는 전달 행렬법을 이용해 도출된 STL 결과값을 나타낸 것으로, 두 구조체 모두 길이 L = 100 mm, 폭 W = 50 mm, 입구 영역 길이 E = 30 mm의 동일한 구조를 가지며, 내부 구성만을 달리하였다. 본 연구에서는 내부에 벽체가 없는 구조를 Hollow, 3개의 내부 벽체( = 70 mm)를 포함하는 구조를 Structured로 명명한다. 초록 점선은 Hollow 구조의 STL을 나타내며, 붉은 점선은 Structured 구조의 결과를 나타낸다. 두 구조체를 직렬로 연결한 경우는 푸른 실선으로 표시되며, 각 구조의 공진 특성이 상호 보완적으로 작용하여 약 250 Hz와 610 Hz에서 두 개의 뚜렷한 STL 피크가 형성됨을 확인할 수 있다.
Fig. 6(c)는 동일한 조건에서 수행한 2D 축대칭 FEM 해석 결과를 제시하며, TMM 해석 결과와 유사한 결과를 확인할 수 있다. 첫 번째 피크에서의 STL은 TMM과 FEM 각각 21 dB 및 25 dB로 나타났으며, 대응하는 주파수는 각각 247 Hz 및 246 Hz이다. 두 번째 피크의 경우, STL은 634 Hz 및 654 Hz에서 각각 38 dB와 39 dB로 도출되었다. 특히, 약 550 Hz – 860 Hz 범위에서 15 dB 이상의 투과 손실이 관찰되었으며, 이는 Structuerd 구조의 두번째 모드(n = 2)와 Hollow 구조에서의 공진 모드에 의해 기인한 것으로 해석된다. 이러한 결과는 해당 구조가 해당 주파수 대역에서 광대역 소음 저감 성능을 효과적으로 발휘할 수 있음을 시사한다.
직렬로 연결된 메타 소음기 구조의 각 공명 주파수에서 소음 저감 매커니즘을 보다 정밀하게 분석하기 위하여, COMSOL Multiphysics를 활용한 Sound Pressure Level(SPL) 분포 시뮬레이션을 수행하였다. Fig. 7(a)및 7(b)는 각각 첫 번째 공명 주파수인 250 Hz와 690 Hz에서의 구조체 내부 SPL 분포를 2D 축대칭 모델로 나타낸 결과이다. 먼저 Fig. 7(a)를 살펴보면, 250 Hz에서 Structured 구조를 통과하면서 SPL이 급격하게 감소하는 현상이 관찰된다. 구조 내부의 음향 경로를 따라 음압이 집중되며, 공진 조건에 따라 에너지가 구조 내부에 포집되는 양상을 보인다. 이로 인해, 해당 구조체를 통과한 이후의 덕트 구간에서는 음압이 현저히 낮아져 높은 음향 투과 손실이 발생하게 된다.
Fig. 7(b)는 690 Hz에서의 SPL 분포를 나타내며, 이 주파수에서도 Hollow 구조 소음기에서 음압 축적과 SPL 감소가 발생한다.
3.3 임피던스 튜브 실험을 통한 음향 특성 검증
앞서 제시한 메타 소음기 공명 구조체에 대한 전달 행렬법 및 COMSOL Multiphysics 기반 FEM 해석 결과를 검증하기 위해 실제 구조체를 제작하여 음향 투과 손실을 측정하였다. Fig. 8(b)를 보면, 실험 시편은 3D 프린팅을 통해 제작하였으며, 내부 벽체의 존재 유무에 따른 음향 성능 차이를 비교하기 위해 두가지 형태로 구성하였다. 하나는 내부가 완전히 비어 있는 Hollow 구조이며, 다른 하나는 내부에 길이 = 70 mm인 벽체 3개를 배치한 Structured 구조이다. 두 구조 모두 전체 길이 L = 100 mm, 입구 영역 크기 E = 27 mm, 폭 W = 50 mm로 제작되었다.
참고로, 지난 3.1, 3.2절에서 진행된 해석 모델은 입구 영역 길이 E = 30 mm를 가정하였으나, 실험 시편은 3D 프린팅 공정상의 오차로 27 mm로 제작되었다. 이에 따라, 해당 절에서 진행된 TMM 및 FEM 해석 역시 동일한 E = 27 mm 조건으로 수정하여 비교를 수행하였다.
실험은 내부 지름 100 mm의 Brüel & Kjær 임피던스 튜브(Type 4206)를 Fig. 8(a)와 같이 사용하여 수행되었으며, Simcenter SCADAS mobile 및 Testlab 소프트웨어를 이용해 데이터를 수집, 분석하였다. 측정은 ASTM E2611-17[17] 규격을 참고한 4-microphone 방식으로 진행하였으며, 마이크 간 간격은 10 mm, 유효 주파수 범위는 50 Hz – 1600 Hz, 해상도는 1 Hz로 설정하였다. 입사파와 투과파의 복소 음압은 Testlab을 통해 수집되었고, 이를 복소 진폭으로 변환하여 Eq. (19)에 따라 STL을 산출되었다.
Fig. 9(a)와 9(b)는 각각 Structured 구조와 Hollow 구조의 STL 측정 결과를 나타낸다. Hollow 구조의 경우, 약 650 Hz에서 주요 공진 주파수가 형성되었으며, 해당 주파수에서의 STL은 41 dB로 측정되었다. 반면, 동일 구조에 내부 벽체를 삽입한 Structured의 경우, 주요 공진 주파수가 약 250 Hz으로 이동하였으며, 해당 주파수에서 투과 손실 26 dB로 측정되었다. 이로부터 내부 구조 삽입이 공진 주파수를 저주파 영역으로 이동시키고, 설계 목표 대역에서의 소음 저감 성능을 구현함을 실험적으로 확인하였다.
Fig. 9(c)는 3.2.3절에서와 같이 두 구조체를 직렬로 연결한 후 수행한 측정 실험 결과를 나타낸다. 실험 결과, 259 Hz, 649 Hz, 830 Hz에서 각각 28 dB, 45 dB, 34 dB의 투과 손실이 측정되었으며, 593 Hz – 850 Hz 구간에서는 19 dB 이상의 STL 성능이 유지됨을 확인하였다. 이러한 결과는 직렬 연결 구조가 다중 주파수 대역에서 우수한 소음 저감 성능을 발휘함을 실험적으로 입증한다.
Structured 구조의 STL 측정 결과는 TMM 및 FEM 해석 결과와 높은 일치도를 보여, 제안된 해석 모델의 신뢰성을 입증하였다. 아울러, 다중 경로 기반 내부 공진 구조가 제한된 공간 내에서도 저주파 소음 저감 성능 향상에 효과적임을 실험적으로 확인하였다.
IV. 결 론
본 연구에서는 제한된 공간에서 저주파 소음을 효과적으로 저감할 수 있는 메타 구조기반 경로 반사형 소음기를 설계하였다. 전달 행렬법을 활용한 이론 해석과 유한요소법 기반 시뮬레이션, 그리고 실제 임피던스 튜브 실험을 통해 구조의 음향 성능을 정량적으로 분석하였다.
단일 구조 비교에서 Hollow 대비 Structured는 주요 공진을 약 250 Hz로 이동시켰으며 목표 대역에서의 STL을 확보하였다. 또한, 이종 구조의 직렬 연결은 예측치와 정합하는 다중 피크(약 250 Hz, 650 Hz)를 형성하고, 593 Hz – 850 Hz 구간에서 19 dB 이상의 광대역 소음 저감 성능을 실험적으로 확인하였다.
이러한 결과는 제안된 TMM 해석 모델이 실제 제작 구조의 성능을 높은 정확도로 예측할 수 있음을 입증하며, 설계-제작-검증의 일관된 프로세스를 제공한다. 더불어 본 설계 개념은 차량, 선박, 소형 장비 등 배기 소음 저감 시스템에 실질적인 적용 가능성을 높다. 향후 연구에서는 유동장 조건, 열 구조적 영향 등 실제 운용 환경을 고려한 확장 연구를 통해 성능을 더욱 정교하게 최적화할 수 있을 것으로 기대된다.












