I. 서 론
II. 기존의 적응형 등화기법
III. 제안된 등화 모드 선택 방법
3.1 등화 모드 선택을 위한 오류 성능 분석
3.2 제안된 등화 모드 선택 과정
3.3 훈련 신호 기반 SNR 산출 방법
IV. 실험 및 결과
4.1 채널 측정 해상 실험
4.2 전산모의실험
V. 결 론
I. 서 론
수중음향통신에 있어서 수중음향채널의 대표적인 특징인 시변 다중경로 전달특성은 채널응답을 시간에 따라 변하게 하며 여러 심볼 구간에 걸쳐 인접 심볼간 간섭 (ISI, intersymbol interference)을 유발하여 전송신호의 왜곡을 가져온다 [1,2]. 특히 ISI가 발생할 경우 전송신호의 출력을 높이더라도 간섭성분의 전력이 함께 증가하기 때문에 신호 대 간섭잡음비 (SINR, signal-to-interference plus noise ratio)가 향상되지 않아 비트 오류율 감소에 한계가 생기게 된다 [3]. 이러한 수중음향채널의 영향을 보상하기 위한 방법으로 여러 적응형 등화 기법이 제안되었다 [4-11]. 적응형 등화기법에는 적응형 알고리즘과 결합된 선형 등화와 결정궤환 등화기법이 사용될 수 있는데 선형 등화기법은 횡단선 등화기와 같은 선형 필터를 이용하여 채널을 보상하는 방법으로 구조가 간단하다는 장점이 있으나 필터 계수를 산출하는 알고리즘에 따라 잡음에 의한 영향이 커지거나 잔여 ISI가 남는 단점이 있다 [12]. 그리고 결정궤환 등화기법은 일반적인 횡단선 등화기에 궤환 필터를 추가시킨 구조로 잔여 ISI를 제거할 수 있는 장점이 있으나 낮은 SNR 범위에서 검출 오류에 의한 오류 전파가 증가하여 오류 성능이 열화되는 단점이 있다 [13].
본 논문에서는 두 등화기법의 이러한 단점을 보완하기 위한 훈련 시퀀스를 이용한 등화 모드 선택 방법을 제안한다. 제안된 방법은 데이터 프레임의 앞부분에 훈련 시퀀스를 삽입하여 신호 수신 초기에 훈련 시퀀스로부터 SNR을 산출한다. 그리고 산출된 SNR을 근거로 하여 선형 등화 기법이 낮은 오류율을 갖는 SNR에서는 선형 등화 기법을 선택하고, 결정궤환 등화 기법이 오류율이 낮은 SNR에서는 결정궤환 등화 기법을 선택하여 데이터에 해당하는 시퀀스를 등화시킨다. 제안된 방법의 성능을 검증하기 위해 2010년 10월 동해에서 실측을 통해 얻은 이산 기저대역 등가채널을 사용하였고, 전산모의실험을 통해 제안된 방법이 기존의 하나의 등화기법을 사용하는 경우보다 개선된 비트 오류율을 갖는 것을 보였다.
본 논문의 구성은 다음과 같다. 제 2장에서 기존의 적응형 등화기법에 대해 설명하고, 제 3장에서 제안된 등화 모드 선택 방법에 대해 알아본다. 제 4장에서는 실험 및 결과를 정리하고, 마지막 5장에서 결론을 맺는다.
II. 기존의 적응형 등화기법
수중음향채널의 채널응답은 다중경로 전파 특성으로 인해 일반적으로 수 ms에서 수십 ms의 지연 퍼짐을 갖고, 음향통신의 목적으로 사용할 수 있는 대역폭은 수 kHz로 제한적이기 때문에 채널에 의한 ISI는 수~수십 개의 심볼에 걸쳐 발생하게 된다 [4,5]. ISI가 발생할 경우 통신신호의 전송 출력을 높이더라도 수신된 신호의 간섭성분의 전력 또한 높아져서 SINR이 신호 대 간섭비 (SIR, signal-to-interference ratio)로 수렴하므로 비트 오류율 향상에 한계를 유발한다 [14]. 수중음향채널에서 이러한 ISI를 제거하기 위한 방법으로 적응형 선형 등화와 결정궤환 등화 방법이 제안되었다 [4-13]. 선형 등화 방법은 선형 등화필터를 이용하며 연산량이 적고 주로 ISI의 감소 효과를 얻을 수 있다 [6,9,11,12]. 그리고 결정궤환 등화 방법은 궤환 탭을 갖는 필터를 이용하며 연산량은 상대적으로 많지만 ISI를 효과적으로 제거할 수 있다 [4,5,7,8,10,13].
본 장에서는 이러한 기존의 적응형 선형 및 결정궤환 등화기의 기본적인 동작 방식을 설명한다. 먼저 일반적인 유한한 필터 길이를 갖는 적응형 선형 등화기는 횡단성 필터의 형태로 구현될 수 있으며 그림 1에서 (a) 부분의 구조와 같으며 동작 방식을 식으로 표현하면 다음과 같다 [14].
(1)
여기서
은 등화된 심볼이고,
은
시점에서
번째 등화 탭 계수이며 고정된 탭 계수 갱신 크기를 갖고 수렴하는 최소평균자승 (LMS, least mean square)이나 과거 탭 계수의 정보를 시간에 따라 가중치를 두어 탭 계수를 갱신하는 반복최소자승 (RLS, recursive least square) 알고리즘과 같은 적응 알고리즘에 의해 값이 정해진다. 그리고
는
번째 수신된 샘플을 의미하고,
은 순방향 필터의 탭 길이이다. 수신된 신호 벡터
은 등화기에 입력되어 탭 계수와 곱해진 후 더해져 등화된 심볼
가 되고,
는 심볼 검출기에 입력되어 송신되었다고 추정되는 심볼
로 결정된다. 그리고 등화된 심볼
와 결정된 심볼
의 오차는 적응 알고리즘에 입력되어 탭 계수를 갱신하는 정보로 사용된다.
결정궤환 등화기는 선형 등화기에 궤환 탭과 역방향 필터가 추가된 형태로 그림 1과 같으며 선형 등화기의 (a) 부분에 (b) 부분이 추가된 형태이며, 결정된 심볼값이 궤환선을 따라 역방향 필터로 재입력되는 특징을 갖고 있다.
결정궤환 등화기의 동작을 식으로 표현하면 다음과 같이 쓸 수 있다.
(2)
여기서 우측 두 번째 항의
은
시점의 샘플값에 영향을 미친
번째 채널 탭 계수의 의미를 갖는다. 그리고
은 등화 연산 이후 결정된
번째 심볼값으로 정확히 검출되었다고 가정되며,
는 역방향 필터의 탭 길이이다. 결정궤환 등화기는 결정된 심볼을 되먹임 시켜 나중에 검출되는 심볼에 영향을 미치는 간섭성분을 없애기 때문에 선형 등화 연산에 해당하는 순방향 필터의 연산에서 발생하는 잔여 ISI를 제거하므로 높은 SNR에서는 간섭성분제거가 효과적이다.
그림 2의 (b)는 적응형 선형 및 결정궤환 등화기의 SNR에 따른 비트 오류 성능의 간단한 예를 나타낸 것이다. 적응형 알고리즘은 RLS를 사용했으며 망각인자는 0.99, 순방향 필터 길이는 7 탭 그리고 역방향 필터 길이는 3 탭을 사용하였고 변조기법은 BPSK를 사용하였다. 사용된 채널은 3개의 탭을 갖는 최대 도플러 주파수 30 Hz의 Rayleigh 채널을 사용하였으며 지연 프로파일은 그림 2의 (a)와 같다. 약 6 dB의 SNR을 기준으로 높은 SNR에서는 결정궤환 등화기의 오류 성능이 좋지만 낮은 SNR에서는 선형 등화기의 성능이 좋은 것을 확인할 수 있다. 이는 결정궤환 등화기가 높은 SNR에서는 정확히 검출된 심볼 을 되먹임시켜 ISI를 효과적으로 제거하지만 낮은 SNR에서는 잡음에 의한 검출 오류로 인해 오류 전파가 발생하여 상대적으로 나쁜 오류 성능을 보이기 때문이다 [13]. 이러한 문제점을 개선하기 위한 방법으로 다음 장에서 제안된 등화 모드 선택 방법을 설명한다.
III. 제안된 등화 모드 선택 방법
본 장에서는 기존의 선형 및 결정궤환 등화기의 장점을 모두 활용할 수 있는 등화 모드 선택 방법을 제안한다. 결정궤환 등화기는 앞서 설명한 바와 같이 ISI를 제거하는 연산을 수행하기 때문에 주로 잡음보다 간섭에 의해 오류 성능이 결정되는 높은 SNR 영역에서 좋은 비트 오류율 성능을 보인다. 그러나 앞 장의 예시와 같이 결정궤환 등화기는 특정 채널에서 SNR이 낮을 때 잘못된 검출값의 궤환으로 인해 선형 등화기보다 좋지 않은 비트 오류 성능을 가질 수 있다. 그러므로 낮은 SNR에서의 성능 향상을 위해 선형 기법을 이용한 등화방법을 선택할 수 있으나 선형 등화기는 ISI를 완벽하게 제거하기 어렵기 때문에 높은 SNR에서 결정궤환 등화보다 나쁜 오류 성능을 갖는다. 이러한 문제를 극복하기 위해 본 논문에서는 훈련 시퀀스를 이용한 프레임별 등화 모드 선택 방법을 제안한다. 제안된 방법은 높은 SNR에서는 결정궤환 등화 연산을 통해 ISI를 제거하여 좋은 비트 오류 성능을 갖게 하고, 낮은 SNR에서는 잘못된 검출의 되먹임이 없는 선형 등화 연산을 통해 비트 오류율을 낮추는 방법이다. 송신 프레임의 길이를 상관시간을 고려하여 설계하고 제안된 알고리즘을 적용하면 채널의 변동성을 반영하여 검출성능을 향상시킬 수 있다.
3.1 등화 모드 선택을 위한 오류 성능 분석
적응형 등화기의 오류 성능은 채널 응답 특성, 탭 계수의 길이와 연산방식, 변조방식 및 심볼 시퀀스, 사용된 적응 알고리즘 등에 의해 결정된다. 그러나 등화연산은 여러 인자들의 조합되고 반복되어 이루어지기 때문에 등화기의 성능에 영향을 미치는 모든 인자들을 반영하여 분석적 오류 성능을 도출하는 것은 어렵다 [14]. 따라서 본 논문에서는 잔여 ISI의 영향에 초점을 두고 식을 단순화하여 오류 성능을 분석한다.
첫째로 적응형 선형 등화기의 성능을 분석한다. 시불변 채널에서 적응 알고리즘이 충분히 수렴했다고 가정하고, M진 심볼이 전송되는 것을 고려할 때 선형 등화기법의 경우 출력되는 등화된 심볼은 다음과 같이 쓸 수 있다.
, (3)
여기서
는 통신신호의 주파수 대역에서의 주변소음과 수신단에서 발생하는 열잡음에 의한 잡음성분이 기저대역 필터링 이후에 표본화된 값을 의미하며 본 논문에서는 해당 대역에서 백색 스펙트럼을 갖는다고 가정한다. 그리고
은 등화기의 응답과 등가 채널 응답
이 길쌈연산된 값으로 식 (4)와 같이 나타낼 수 있고, 등화기의 입력신호는 식 (5)와 같이 쓸 수 있다.
, (4)
. (5)
식 (3)에서 우변의 첫 번째 항은 검출하고자 하는 심볼 성분이고, 세 번째 항은 잡음에 의한 성분이다. 두 번째 항은 잔여 ISI 성분으로 채널응답과 등화 탭 계수 그리고 ISI에 관여하는 심볼들에 의해 값이 결정된다. 따라서
이 고정된 값이라 가정하면 채널 응답의 길이가
심볼 구간과 같을 때 ISI에 관여하는 심볼의 수는
이 되고, 가능한 심볼의 조합은
개가 되기 때문에 가능한 잔여 ISI 값도
개가 된다. 본 논문에서는 가능한 잔여 ISI 값 중 하나의 특정 시퀀스에 의한 잔여 ISI 값을
라 정의한다.
잡음의 분산값은 전력 스펙트럼 밀도를
라 할 때 선형등화기 출력단에서 다음과 같이 구해진다.
. (6)
위에서 정리한 식을 바탕으로 특정
를 가질 때 선형 등화기의 오류 확률을 표현하면 다음과 같다.
(7)
여기서
는 가우시안 확률 변수에 관련된 함수로 식 (8)과 같이 정의된다.
. (8)
둘째로 결정궤환 등화기의 성능분석을 한다. 결정궤환 등화기의 경우 출력되는 등화된 심볼은 다음과 같이 쓸 수 있다.
.
(9)
식 (9)의 우변의 첫 번째부터 세 번째 항은 식 (3)에서 갖는 의미와 동일하다. 그러나 네 번째 항은 역방향 필터를 통해 되먹임되는 값으로 심볼이 정확히 검출되었을 경우 두 번째 항과 상쇄되고, 잘못된 검출이 발생했을 경우 추가적인 간섭영향을 가져오는 성분이다. 이전에 검출된 특정 심볼 시퀀스에 관련하여 추가 간섭 성분을
라 정의하면 특정
에 관한 결정궤환 등화기의 오류 확률은 식 (10)과 같이 근사화시킬 수 있다.
![]()
.
(10)
식 (10)의 우변 대괄호 안의 첫 번째 항은 순방향 필터에서 정확한 결정을 내려 역방향 필터에서 잔여 ISI를 완벽히 제거할 경우의 오류 확률이고, 두 번째 항은 순방향 필터에서 잘못된 결정을 내려 잔여 ISI 뿐만 아니라 오류 전파까지 발생했을 경우의 오류 확률을 나타낸다. 그리고
와
의 값이 영보다 클 때 식 (7)과 식 (10)에 사용된 Q 함수의 값을 비교하면 다음과 같이 정리할 수 있다.
.
(11)
가 SNR 증가에 따라 단조 감소하는 점과 식 (10)의 관계를 근거로 하여
와
를 비교하면
는 높은 SNR에서 첫 번째 항의 영향이 지배적이기 때문에
에 비해 작은 값을 가질 가능성이 높고, 낮은 SNR에서는 두 번째 항의 영향이 지배적이기 때문에 상대적으로 큰 값을 가질 가능성이 높다는 점을 알 수 있다. 이에 대한 판별식은 식 (12)와 같이 쓸 수 있다.
. (12)
식 (12)를 근거로 하여 SNR에 따라 등화모드를 선택하게 되면 더 낮은 오류성능을 보이는 등화기법이 동작하므로 하나의 등화기법을 사용할 때 보다 오류 성능을 개선할 수 있다.
3.2 제안된 등화 모드 선택 과정
제안된 방법의 동작과정을 그림 3에 나타내었다. 제안된 방법은 데이터 시퀀스 앞부분에 송수신단에서 모두 알고 있는 훈련 시퀀스를 삽입하여 하나의 프레임으로 구성하여 전송하고, 수신단에서는 수신된 훈련 시퀀스로부터 SNR을 산출한다. 본 논문에서는 SNR에 따른 등화기별 비트 오류율 성능 정보를 수신단에서 알고 있다고 가정하고 산출된 SNR에 따라 낮은 비트 오류율을 갖는 등화방법을 선택한다. 그리고 훈련 시퀀스 이후에 들어오는 데이터 시퀀스는 선택된 방법에 의해 등화된다. 등화기는 선형과 결정궤환 등화기를 각각 구현할 필요가 없이 그림 4와 같이 기존의 결정궤환 등화기의 되먹임 라인을 조정함으로써 결정궤환 등화기가 선형 또는 결정궤환 등화기로 동작하도록 한다.
3.3 훈련 신호 기반 SNR 산출 방법
등화 모드를 선택하는 SNR은 수신된 훈련 시퀀스로부터 최소 자승 추정 (LSE, least square estimation) 기법을 통해 얻은 채널 벡터에서 구할 수 있다. 이에 대한 시스템 모델은 식 (13)과 같다.
, (13)
여기서
는
시점에 수신된 신호 벡터,
는 수신신호의 전력이고,
는 정규화된 전력을 갖는 채널 벡터,
는
시점에 더해진 백색 가우시안 잡음 벡터이다. 그리고
는
에 상응하는 훈련 시퀀스 벡터의 열로 이루어진 참조행렬로 식 (14)와 같이 정의한다.
, (14)
여기서
는
번째 훈련 심볼이다. 채널 벡터에 대한 LSE의 해는 식 (15)와 같이 수신 벡터
에 참조행렬의 역행렬을 곱함으로써 구할 수 있다.
. (15)
LSE의 해는 식 (15)에서
항으로 인해 오류를 갖고 있기 때문에 본 논문에서 제안하는 방법에서는 식 (16)과 같이 훈련 시퀀스의 길이 M만큼 평균을 취하여 해로 사용한다.
. (16)
식 (16)에서
는 정규화된 전력을 갖고 있기 때문에 Euclidean norm을 취함으로써 간단히
를 구할 수 있다.
. (17)
잡음 전력
은 실제 통신시스템에서 신호가 수신되지 않는 시간 구간에서 구해질 수 있으므로 훈련 시퀀스로부터 구해지는 SNR은
이 된다.
IV. 실험 및 결과
4.1 채널 측정 해상 실험
제안된 방법의 성능을 검증하기 위해 해상실험을 통해 얻은 수중음향 통신신호로부터 수중음향 채널응답을 구하였다. 해상실험은 2010년 10월에 평균 수심 약 350 m의 동해시 인근 해역에서 수행하였으며 송신기와 수신기 수심은 각각 60 m, 100 m이고 수평거리 약 500 m와 4000 m에서 표류상태로 실험을 진행하였다. 전송신호는 4 kHz의 대역폭을 갖는 roll- off 지수 0.25의 raised-cosine 펄스를 갖는 BPSK 변조 신호로 6 kHz의 반송파를 사용하여 전송하였다. 수신기에서 65536 Hz의 표본화율로 표본화된 데이터는 복조와 동기화 과정을 거쳐 기저대역 이산신호로 변환하고 이로부터 최소자승추정 (LSE, least square estimation) 기법을 이용하여 기저대역 이산 등가 채널 응답을 구하였다. 구해진 채널 응답 샘플들은 잡음의 영향이 남아있으므로 약 1600개 샘플을 평균하고 전력을 정규화하여 그림 5와 같은 평균 채널 응답으로 구하였다. 그림 5의 (a)는 500 m에서 얻은 결과이며 도달한 응답성분들이 첫 번째와 두 번째로 크게 구분되고, (b)는 4000 m에서 얻은 결과로 처음 도달한 응답성분들의 전력이 지배적인 형태를 갖고 있다. 그림 6은 그림 5의 채널 응답을 주파수 응답으로 나타낸 것이며 상관대역폭이 전송대역폭에 비해 매우 좁기 때문에 이에 대한 채널 보상 기법이 필요한 것을 알 수 있다.
| ||
(a) 500 m | (b) 4000 m | |
그림 5. 평균된 기저대역 이산 등가 채널 응답 Fig. 5. Averaged discrete baseband equivalent channel response. | ||
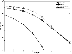
4.2 전산모의실험
앞서 4.1절에서 설명한 채널 응답을 이용하여 전산모의실험을 수행하였다. 실측 데이터신호를 이용하지 않고 얻어진 채널 응답만을 이용하여 실험한 이유는 실측값의 경우 특정 SNR에서의 결과만 얻을 수 있고 SNR 변화에 따른 비트 오류 성능을 산출할 수 없기 때문이다. 사용된 통신신호는 해상실험에서 사용한 신호와 동일한 4~8 kHz의 BPSK 변조신호이며, 하나의 프레임은 1000개의 심볼로 구성하고 그 중 100개의 심볼을 훈련신호로 할당하였다. 사용된 적응 알고리즘은 RLS 기법이고 망각인자는 0.999를 사용하였다. 제안된 등화기의 순방향 필터 탭 수는 60이고, 역방향 필터 탭 수는 40으로 지정하였다. 그림 6의 (a)와 (b)는 각각 그림 5의 (a)와 (b)에 나타낸 채널 응답을 이용하여 얻은 결과이다. 500 m 채널에서는 선형 등화와 결정궤환 등화의 비트 오류 성능이 약 8.1 dB의 SNR에서 교차되며 제안된 방법은 모든 SNR 범위에서 더 좋은 비트 오류 성능을 등화기법의 성능을 보인다. 4000 m 채널에서는 기존의 두 등화기법의 비트 오류 성능이 약 12 dB의 SNR에서 교차되며 제안된 방법이 효과적으로 더 좋은 비트 오류 성능을 등화기법의 성능을 가짐을 보였다.












