I. 서 론
II. 단일 센서 기반 반향음 제어 시스템
2.1 신호분리 알고리즘
2.2 단일 센서 기반 적응 반향음 제어 알고리즘
III. 최적 제어 필터 설계
IV. 실험 및 결과고찰
V. 결 론
I. 서 론
반향음 제어는 원치 않게 발생하는 반향음을 제어하거나 수중 활동 시 소나 신호로부터 잠수함의 피탐 성능을 향상시키는 등 다양한 분야에 활용되고 있는 기술이다. 종래의 반향음 제어 방식으로는 무반향 코팅재를 이용한 수동 제어 방식이 있다. 이 방식은 간단하고 좋은 성능을 지니고 있지만 고주파 신호에 제한적이며, 저주파 신호의 반향음 제어를 위해서는 코팅재의 부피와 질량이 커지는 한계점이 있다.[1]
이러한 한계점을 극복하기 위해 적응 필터를 이용한 능동 반향음 제어 방식들이 연구되어 왔다. 능동 반향음 제어 방식은 수동 제어 방식에 비해 추가적인 부피나 질량의 증가 없이 더 넓은 영역의 주파수 대역에 대한 제거가 용이하다.[2] 특히 적응 필터 기반 능동 반향음 제어 방식은 센서와 제어 신호를 발생시키는 트랜스듀서 사이의 음향 경로 특성이 시간에 따라 변화하는 경우에도 적응적으로 반향음을 감소 시킬 수 있다.[3]
그러나 적응 필터는 초기 수렴시간이 요구되기 때문에 초기 반향음에 대응하기 어려운 한계가 있고, 적합하지 않은 매개변수나 환경 잡음으로 인해 비정상 작동의 우려가 있다.[4]
능동 반향음 제어를 위해서는 반향음 수집을 위한 센서를 트랜스듀서에 근접하여 배치해야 한다. 이러한 환경에서는 입사되는 음향 신호와 반향음 및 제어 신호가 혼재되어 센서에 집음 되게 된다. 따라서 센서신호로 부터 각각의 신호 성분을 분리하는 과정이 필요한데, 이를 위해 여러 가지 방법이 제안되었다. 가장 일반적인 방법은 2개의 센서를 사용하는 빔포밍 기법을 활용하여 입사신호와 반향음을 분리하는 방법인데, 이 방법은 센서 간 충분한 거리를 유지해야하기 때문에 제어 시스템의 부피가 커진다는 단점이 있다.[5] 이런 문제를 극복하기 위한 방법으로 하나의 센서로 각각의 신호 성분을 분리하는 단일 센서 기반 입사 신호 분리 알고리즘이 있다.[3]
일반적으로 컨트롤 시스템의 부피를 줄이기 위해 센서를 트랜스듀서에 근접하여 배치할 필요가 있으며, 이를 위해 센서와 트랜스듀서를 하나의 모듈 안에 몰딩하기도 한다.[6] 이런 환경에서는 센서와 트랜스듀서 사이의 음향경로 특성이 거의 변화하지 않는다.
따라서 본 논문에서는 센서와 트랜스듀서 간 음향 경로가 시불변이라는 가정 하에 최적 반향음 제어 필터를 설계하는 방법을 제안한다. 이 방법은 적응필터링 기법에 비해 초기 수렴시간이 요구되지 않는다는 장점이 있으며, 일반적으로 더 좋은 정상상태 성능을 기대할 수 있다.
I장 서론에 이어 II장에서 단일 센서 기반 반향음 제어 시스템에 대해 설명하고 III장에서 단일 센서 기반 능동 반향음 최적 필터 설계 방법을 제안한다. IV장에서 측정된 신호를 바탕으로 제안 알고리즘의 성능 실험 및 결과를 제시하고, V장 결론으로 끝맺음 한다.
II. 단일 센서 기반 반향음 제어 시스템
Fig. 1은 단일 센서 기반 반향음 제어 시스템의 구조를 예시하고 있다. 제어 시스템은 센서와 반향면, 제어 신호 발생을 위한 트랜스듀서로 구성된다. 이런 환경에서 센서 신호는 입사 신호
과 물체면에 의한 반향음
, 반향음을 감소시키기 위한 제어 신호
가 혼재되어 있게 된다. 따라서 센서 신호로부터 각각의 신호 성분을 분리할 수 있는 방법이 필요하다. 본 논문에서는 [3]에서 제안한 신호 분리 알고리즘을 사용한다.
2.1 신호분리 알고리즘
Fig. 1에서 센서 신호
은 다음과 같이 나타낼 수 있다.
, (1)
은 외부 잡음신호이다. 한편, 반향경로의 임펄스 응답을
라고 할 때, 반향음은 다음과 같이 표현 가능하다.
. (2)
반향신호
은 센서 신호
과 다음과 같은 관계를 가진다.[3]
. (3)
위 식은 오른쪽에 비인과항
을 포함하고 있어서 구현이 불가능한데,
이라고 가정하면 식 (3)은 다음과 같은 인과 방정식으로 정리된다.[3]
. (4)
위 식은 오른쪽 항이
의 지연값만으로 표현되기 때문에 인과 조건을 만족하게 된다. Eq. (4)를 얻기 위해서는
의 첫 번째 샘플값이 영이라는 가정을 만족해야 하나, 일반적으로
은 센서와 트랜스듀서 간의 거리 차이로 인한 초기 지연을 포함하고 있기 때문에 이 조건을 쉽게 만족할 수 있다.
센서에 집음된 제어 신호
은 제어 경로의 임펄스 응답
을 이용하여 다음과 같이 표현된다.
. (5)
위 식에서
은
차 제어필터의 출력을 의미하며,
와 같이 계산된다. 제어필터 출력을 계산하기 위한 입사신호는 Eq. (1)로부터 다음과 같이 추정할 수 있다.[3]
. (6)
그러나 Eq. (6)을 사용하여 추정된 입사신호는 입사신호와 상관성이 없는 외부잡음
을 포함하게 된다. 외부잡음은 시스템의 성능에 영향을 줄 수 있으며, 본 논문에서는 Eq. (6)을 사용하여 추정된 입사 신호를 사용하는 경우에 발생하는 성능 열화를 컴퓨터 시뮬레이션을 통하여 알아본다.
2.2 단일 센서 기반 적응 반향음 제어 알고리즘
Fig. 2는 단일 센서 기반 반향음 제어 알고리즘의 전체 블록도이다.
은 잡음원 신호이며,
,
,
는 각각 입사 경로, 반향 경로, 제어 경로의 전달함수,
는
의 첫 번째 항을 제거한 전달함수,
는 제어 필터를 나타낸다.
반향음 제어를 위하며 추정된 반향음과 트랜스듀서에 의한 제어신호 간의 오차를 최소화하도록 제어 필터의 계수를 적응시킬 수 있다.[3] 이때 오차신호는 다음과 같이 정의된다.
. (7)
위 식에서
과
은 추정된 임플서 응답을 사용하여 Eqs. (4)와 (5)로부터 구한 반향음과 제어음의 추정치를 의미한다.
Eq. (7)과 같이 정의된 오차신호의 자승평균을 최소화하기 위해 FxLMS(Filtered-x Least Mean Square)를 사용할 수 있으며, 이때
차 제어 필터의 계수 벡터
은 다음과 같이 갱신된다.[3]
, (8)
,
,
는
크기를 갖는 제어 경로 임펄스 계수 벡터이며,
는 제어 필터의 차수,
는 수렴상수이다.
III. 최적 제어 필터 설계
반향음 제어 시스템에서 센서를 트랜스듀서와 근접하여 배치함으로써 제어 모듈의 부피를 최소화할 수 있다. 이를 위해 센서와 트랜스듀서를 하나의 모듈 안에 몰딩하기도 한다.[7] 이런 환경에서는 반향음의 반향 경로와 제어 경로 특성이 시불변이라고 가정할 수 있다. 본 논문에서는 이러한 음향 경로의 시불변 가정을 기반으로 최적 필터를 설계하고자 한다. 최적필터 설계를 위해 본 논문에서는 추정된 음향 경로 응답은 정확하며, 센서 잡음은 없다고 가정한다[즉,
].
최적필터는 에러신호와 참조입력 신호를 직교화하는 다음과 같은 조건식으로부터 얻을 수 있다.[7]
. (9)
위 식에서
는 필터링된 참조입력 신호를 나타낸다. 한편 제어신호
은 다음과 같이 표현된다.
(10)



.
Eqs. (7)과 (10)을 이용하면 Eq. (9)는 다음과 같이 다시 표현된 같다.
. (11)
따라서 최적 필터 의계수 벡터는 다음과 같이 얻어진다.
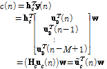
. (12)
위 식에서
와
는 Eqs. (13)과 (14)로 표현되는 자기 상관 행렬과 상호 상관 벡터이다.
, (13)
. (14)
한편
의 관계식으로부터 자기상관행렬
는 다음과 같이 정리된다.
. (15)
는 입사신호
의 자기상관 행렬을 나타낸다.
Eq. (15)는 최적필터 계수 설계를 위해서는 입사하는 음향신호의 통계적 특성 혹은
를 알고 있어야 함을 의미한다. 만약 입력 신호의 주파수나 대역폭을 알고 있다면 해당 주파수 대역 신호의 이론적인 자기 상관행렬을 이용하면 된다. 그러나 입사 신호의 주파수 대역이 제한되어 있지 않다면 전대역에 균일한 에너지를 갖는 신호의 자기 상관행렬을 사용해야 한다. 따라서 위너-킨친 정리에 따라 입사 신호의 자기 상관 값은 크기가 1인 임펄스의 형태를 갖는다.[8] 결과적으로 자기 상관행렬은
즉,
크기를 갖는 단위 행렬이 된다. 따라서 참조신호의 자기 상관 행렬
는 다음과 같이 단순화된다.
. (16)
한편 반향 음향 신호는 반향경로의 임펄스 응답
을 이용하여 다음과 같이 표현된다.
, (17)
,
.
Eq. (17)을 이용하면 Eq. (14)에 주어진 상호 상관벡터
는 다음과 같이 정리된다.
. (18)
Eq. (16)의 경우와 동일하게 입사 신호
의 주파수 대역이 제한되어 있지 않기 때문에,
는
크기의 행렬로서 다음과 같이 주어진다.
. (19)
와
은 각각
, 

크기를 갖는 영 행렬을 의미한다.
최종적으로 최적 필터 계수 (12)를 자기 상관 행렬 Eq. (16)과 상호 상관 Eq. (18)로 다시 정리하면 아래 와 같다.
. (20)
는 역행렬 연산 시 발생할 수 있는 수치적인 문제를 방지하기 위해 추가한 작은 크기를 갖는 정형화 상수이다. 결과적으로 Eq. (20)은 단일센서 기반의 반향음 제어 시스템에서 최적필터는 반향 경로의 임펄스 응답
과 제어 경로의 임펄스 응답
로부터 구해질 수 있음을 보여준다.
IV. 실험 및 결과고찰
제안한 최적 반향음 제어 필터의 성능을 확인하기 위해 Fig. 3과 같은 1차원 음향 덕트 환경에서 측정된 신호를 사용하여 컴퓨터 시뮬레이션을 시행하였다.
덕트의 크기는
로 5 mm 두께의 아크릴로 제작되었다. 제어 트랜스듀서에서 센서(마이크로폰)까지의 거리는 40 cm이다. 센서는 AKG사의 C417 핀 마이크로폰을, 앰프는 behringer사의 TUBE ULTRAGAIN MIC100을 사용하였다.
Fig. 3과 같은 환경에서 단일센서 기반의 최적 반향음 제어 필터를 설계하기 위해서는 반향 경로(
혹은
)와 제어 경로(
혹은
)의 임펄스 응답을 독립적으로 측정해야 한다. 제어 경로 응답 특성은 제어 스피커에 백색잡음 혹은 스윕 사인 신호를 제어용 트랜스듀서에 인가하여 측정이 가능하다. 그러나 센서와 제어 트랜스듀서 간에 형성되는 반향 음향경로는 직접 측정이 불가능하다.
먼저, 소음원(Fig. 3의 왼쪽 스피커)과 센서 마이크로폰 간의 임펄스 응답을 측정하면, 입사 경로와 반향경로의 혼합된 형태인
로 구해진다(Fig. 1 구조 참조). 다음으로 측정된 소음원과 센서 간의 임펄스 응답을 주경로
의 응답으로 디컨벌루션함으로써 반향경로 응답
를 얻을 수 있다.[3] 이를 위해서는 음향 반향이 발생하지 않는 환경에서 주경로
의 임펄스 응답을 별도로 측정해야 한다.
Fig. 4는 입사 경로와 반향 경로 측정한 결과를 보여주고 있다. Fig. 4(a)는 제어용 트랜스듀서(Fig. 3의 오른쪽 스피커)를 장착한 상태에서 측정한 임펄스 응답이며, Fig. 4(b)는 제어용 트랜스듀서 위치에 흡음재로 채워진 덕트를 연결하여 측정한 소음원과 센서 간 입사 경로
의 임펄스 응답이다. Fig. 4(c)는 디컨벌루션 과정을 거쳐 최종적으로 얻어진 반향 경로의 임펄스 응답이다. 각 경로 응답특성은 잡음이 없는 이상적인 환경에서 백색 잡음을 사용하여 측정한 결과이다.
Fig. 5는 Fig. 3 환경에서 얻어진 단일 센서 기반 반향음 제어 시스템의 임펄스 응답으로, (a)는 추정된 반향 경로 임펄스 응답[Fig. 4(c)와 동일], (b)는 측정된 제어 경로 임펄스 응답, (c)는 Eq. (20)을 사용하여 설계된 512차 최적 필터의 계수를 보여준다.
Fig. 5(c)에서 확인할 수 있는 것처럼 반향음 제어를 위해서는 비교적 높은 차수의 제어 필터가 필요하다. 그러나 실시간 반향음 제어 시, 최소한의 필터 차수로 적절한 성능을 얻을 수 있어야 한다. 적절한 필터 차수를 결정하기 위해 다음 실험에서는 최적 필터 차수에 따른 ER 향상값을 측정하여 비교하였다.
제어 성능을 좀 더 객관적으로 측정하기 위해 ER (Echo Reduction) 향상값을 측정하였다. ER은 입사 신호대비 반향음의 크기 차이를 기반으로 제어 신호로 인해 반향음의 크기가 얼마나 감소되었는지를 측정하는 분석 지표이다. Eqs. (21)과 (22)은 ER 향상값의 계산식이다.
,
, (21)
. (22)
와
는 입사 신호와 반향음의
대역 주파수 신호 세기를 의미한다.
는 반향음 제어기를 작동시켰을 때와 작동 시키지 않았을 때의 감소율을 나타낸다.
Fig. 6은 제어 필터의 차수에 따른 ER 향상값을 보여준다. 필터 차수와 ER 향상값을 고려하여 128차 제어 필터를 사용하여 적응 필터 기반 제어 알고리즘과 제안 최적 필터 기반 알고리즘의 성능 차이를 비교하였다.
Reference [3]에서 제시된 적응 필터 기반 알고리즘과 본 논문에서 제안한 최적 필터 기반 알고리즘의 제어 결과를 Fig. 7에서 시간에 따른 NMSE(Normalized Mean Square Error)값으로 비교하고, 제안한 최적 필터 기반 알고리즘의 제어 결과를 Fig. 8에서 비교하였다. Fig. 7(a)의 입사신호는 연속적인 1 kHz 정현파, Fig. 7(b)의 입사 신호는 1 kHz를 중심으로 500 Hz의 대역폭을 갖는 핑크 잡음을 사용하였다. 실험에 사용한 샘플링 율은 16000 Hz, 최적 필터와 모델링한 반향 경로 및 제어 경로의 길이는 128, 적응 필터 수렴 계수
는 0.06이다.
Fig. 8에 나타난 적응 필터 기반 알고리즘은 정상 상태까지 입사 신호에 따라 각각 3, 5 s정도의 초기 수렴시간이 요구되었지만, 제안 최적 필터 기반 알고리즘은 입사 신호와 독립적으로 초기 수렴 시간 없이 최적의 성능을 내는 것을 확인할 수 있다.
Fig. 8은 입사 신호에 따른 최적 필터의 제어 결과를 나타낸다. (a)의 입사신호는 연속적인 1 kHz 정현파, (b)의 입사 신호는 핑크 잡음을 사용하였다. 반향음(실선)과 제어 신호(파선)이 상쇄됨으로써 반향음이 제어되는 것을 확인할 수 있다.
Fig. 9는 최적 필터 기반 제어 알고리즘의 신호 대 잡음비(Signal to Noise Ratio, SNR)에 따른 ER 향상값을 보여주고 있다. 40 dB SNR 이상의 경우에는 ER 향상값이 37 dB 이상으로 측정되었고, 10 dB SNR 에서도 17 dB 수준의 ER 향상값을 확인할 수 있다. 결과적으로 센서에 외부잡음이 존재하는 환경에서도 우수한 반향음 제어 결과를 확인할 수 있다.









) of the control filter.


