I. 서 론
II. SAVEX15 실험환경
III. 데이터 처리
IV. 예상탐지확률 계산
V. 내부파에 의한 예상탐지확률의 변화
5.1 솔리톤 패킷에 의한 영향
5.2 내부조석에 의한 영향
VI. 결 론
I. 서 론
소나의 탐지성능에 영향을 미치는 요인들은 음원준위(Source Level, SL), 전달손실(Transmission Loss, TL), 소음준위(Noise Level, NL), 지향지수(Directivity Index, DI), 탐지문턱 등이 있고 소나 방정식에 의해 Eq. (1)과 같이 나타낼 수 있다.[1]
. (1)
소나방정식의 입력값 중에 전달 손실과 소음준위는 해양환경에 따라 변하고, 소나의 탐지성능에 많은 영향을 주게 된다. 주어진 해양환경에서 소나의 성능을 예측하기 위한 방법으로는 정확한 모델링을 통한 예측방법과 계측된 전달손실, 소음준위 등을 분포화 하여 확률적 접근을 통해 예측하는 방법이 있다.[2] 이상적인 해양환경의 경우에는 모델링을 통한 예측방법이 가장 효과적이나 복잡한 해양환경 하에서는 다양한 변화 요인들을 모두 고려하여 모델링하는 것이 불가능하다.
SAVEX15(Shallow Water Acoustic Variability EX-periment 2015)는 제주도 서남부 해역에서 2015년 5월 14일부터 28일까지 실시되었다.[3] 제주 해역은 내부파, 조석, 저염분수 등에 의해 복잡한 해수 유동이 존재하는 해역으로,[4] 음파전달에 영향을 미치는 모든 요소를 포함하여 모델링 하는 것이 제한된다. 본 논문에서는 SAVEX15에서 계측된 음향 데이터와 해양환경 데이터를 통하여 전달손실과 소음준위를 산출하고 이를 바탕으로 확률밀도함수(Probability Density Function, PDF)를 계산하였다. 전달손실과 소음준위의 확률밀도함수를 합성곱하여 신호이득에 대한 확률밀도함수를 구하고 , 신호이득의 크기가 0이상인 구간에 대하여 적분함으로써 예상탐지확률을 구할 수 있다.[5] 예상탐지확률 산출시 기계적 특성에 의해 결정되는 음원준위, 탐지문턱, 지향지수 등은 고려하지 않았다.
마지막으로, 내부조석과 솔리톤 패킷의 영향으로 예상탐지확률이 시간에 따라 변화하는 양상을 분석하였다.
본 논문의 구성은 다음과 같다. 2장에서는 SAVEX15 실험환경, 3장에서는 데이터 처리 방법, 4장에서는 예상탐지확률 계산, 5장에서는 내부파에 의한 예상탐지확률의 변화를 다루고 6장에서는 논문의 결론 및 토의에 대한 내용을 다룬다.
II. SAVEX15 실험환경
SAVEX15 는 제주 서남부 100 km 해상에서 실시되었으며,[3] 음향 데이터와 해양 데이터를 계측하였다. 제주 서남부 해역은 동중국해의 양쯔강 하구에서 유입되는 담수량의 급격한 증가로 인해 저염분현상이 발생하여 수중음파채널(Underwater Sound Channel, USC)이 존재하고, 대마난류 및 조석 등의 복잡한 해수유동이 존재하는 해역이다.[4] 실험해역의 크기는 10 km × 10 km이며(Fig. 1), 수심은 100 m 내외이다. 음원과 수신기의 거리는 2.78 km로 고정되어 있다. 음원은 20 m부터 72.5 m 까지 7.5 m간격으로 총 8개가 설치되었으며, 수신기는 24 m부터 80.25 m 까지 3.75 m간격으로 총 16개가 수직으로 총 2 세트가 설치되었다. Fig. 2는 VLA(Vertical Line Array) 1,2에서 계측된 수온 정보를 바탕으로 산출한 음속을 시간에 따라 나타내었다. 수중음파채널이 형성되어 있으며, 솔리톤 패킷이 부분적으로 관측되는 것을 확인 할 수 있다. 또한 Fig. 2(b)의 사각형 실선으로 표시된 부분과 같이 내부조석에 의해서 23일 20~23시경 VLA 1에서 50 m ~ 60 m 사이의 등온 수심이 약 10 m 정도 변화되는 것을 관측 할 수 있다. VLA 1에서 계측된 수온정보는 수심 24 m ~ 80 m 까지만 계측이 되었다. 본 논문에서는 11 kHz ~ 31 kHz 대역의 LFM(Linear Frequency Modulation), MLS (Maximum Length Sequence)신호를 사용하였고 음원준위는 185 dB ± 4 dB의 값을 가진다. 음원은 LFM, MLS 신호를 시간당 8분씩 송신하였으며, 총 8개의 수심에서 송신되었으므로 하나의 수심에서 시간당 1분씩 송신하였다. LFM 신호는 60 ms의 펄스길이를 가지며 분당 457개가 송신되었으며, MLS 신호는 51 ms의 펄스 길이를 가지고 분당 1074개가 송신되었다. 수신신호에 대한 처리과정은 3장에서 자세히 다루겠다.
III. 데이터 처리
예상탐지확률을 구하기 위한 과정으로 전달 손실, 소음준위를 실험 데이터를 통해 산출 하였다.
데이터 처리의 첫 번째 과정으로, 실험에서 얻어진 시간영역의 원자료를 정합필터링 처리하였다. Fig. 3은 시간영역의 LFM 신호를 정합 필터링한 결과를 나타낸 것이다. x축은 송신된 하나의 신호에 대한 상대적인 도착시간이고 y축은 정합 필터링한 결과 값 이다. Fig. 3을 보면 직접경로와 다중경로를 통해 수신된 신호들을 확인 할 수 있는데 0.027 s 정도에 직접경로에 의한 강한 신호가 수신되었으며 다중경로에 의해서 나머지 여러개의 신호가 수신된 것을 확인할 수 있다.
본 논문에서 사용된 SAVEX15의 음향데이터는 LFM, MLS의 두 개의 음원을 사용하였는데, 펄스형태와 상관없이 임펄스응답이 가지는 에너지 값을 구하기 위하여 Eq. (2)와 같이 정합 필터링된 신호가 가지는 에너지값에 음원신호의 자기상관함수가 가지는 에너지값을 나누어 주었다.
는 수신된 신호를 정합필터링한 값이고,
는 음원신호의 자기상관함수이며,
는 임펄스 응답이다.
. (2)
또한 음원의 종류와 실험환경에 따라 전달손실을 구하는 방법이 다양하다. 본 논문에서는 음원의 특성을 고려하여 정합필터링을 한 후 임펄스 응답이 가지는 에너지를 준위로 나타내었다. 전달손실은 Eq. (3)와 같이 나타낼 수 있는데,[1]
은 특정 거리에서 음압이 가지는 에너지를 말하며
은 음원이 1 m에서 가지는 에너지를 뜻하는데
에서
을 나눠준 값은 임펄스응답이 가지는 에너지라고 할 수 있다.
. (3)
5월 23일 8시부터 24일 5시까지 총 8개 수심의 음원에서 송신되어 16개의 수신기에서 수신한 모든 신호들을 정합필터링 및 적분하여 전달 손실을 산출하였다. 신호는 음원 수심별로 1분씩 송신되었으며 LFM 신호는 매시 30분부터 38분까지 8분간 분당 수신신호 450개, MLS 신호는 매시 정각부터 8분까지 분당 수신신호 1000개를 전달손실 데이터로 사용하였다.
Fig. 4는 23일 8시부터 24일 5시까지 음원 수심 35 m, 수신기 수심 35.25 m일 때 VLA 1,2에서 계측된 LFM 신호의 전달 손실 값을 나타낸 것이다. 파란색 동그라미는 VLA 1, 빨간색 십자표시는 VLA 2에서 계측된 전달 손실이다. 음원 수심별로 신호가 1시간에 1분씩만 송신되었기 때문에 전달손실 값이 시간에 대해 연속적이지 않으며, 해양 환경(내부파)의 변화에 의해 전달손실 값이 최대 7 dB ~ 8 dB까지 차이나는 것을 알 수 있다. Fig. 4에서 VLA 1의 전달손실을 보면 11시경부터 19시경까지 증가하다가 20시부터 감소하기 시작하여 22시까지 감소하는 것을 볼 수 있으며, VLA 2에서는 약 17시경부터 22시경까지 증가하다가 감소하기 시작하여 04시까지 감소하는 것을 볼 수 있다. 이는 내부조석과 솔리톤 패킷 등이 복합적으로 음속구조에 영향을 미쳐 전달손실이 변화하는 것으로 볼 수 있다.
VLA 1, 2에서 전달손실이 차이가 나는 이유는 내부파의 전파방향에 따라 VLA 1, 2 부근의 음속변화에 미치는 영향이 틀리므로 전달손실도 다르게 나타난다. 전달손실의 평균값과 개별 전달손실 값의 차이의 분포는 표준편차와 평균으로 나타낼 수 있으며 해양환경에 의한 불확실성을 나타내는 지표이다.
소음준위는 매시간 55 min ~ 00 min까지 5 min동안 VLA 1, 2에서 계측되었으며, 11 kHz ~ 31 kHz 대역통과 필터를 적용한 신호를 사용하였다. Eq. (4)와 같이 소음준위를 구하였으며 적분구간을 LFM 신호의 펄스길이와 같은 크기인 0.06 s로 설정하여 소음준위 값을 산출하였다. 그러므로 매 시간당 5,000개의 소음준위 데이터를 확률밀도함수 산출시 사용하였다.
(4)
이렇게 산출된 전달손실과 소음준위 데이터들은 다음 단계에서 신호이득의 확률밀도 분포를 산출시 사용되는데 이 부분은 다음장에서 언급하겠다.
IV. 예상탐지확률 계산
3장에서 계측된 데이터를 처리하여 얻은 전달손실, 소음준위 값을 분포화 하고 확률밀도 함수를 구할 수 있다. Fig. 5은 VLA 1에서 음원 수심이 35 m일 때 수신기 수심 35.25 m에서 계측된 30,250개의 LFM 신호의 전달손실 분포이며, Fig. 4에서 시간에 따라 나타낸 전달손실과 동일한 데이터이다.
x축은 각각의 전달손실에 평균을 빼준 값이며 y축은 해당 데이터들(각각의 전달손실 값에 평균을 빼준 값)의 분포수를 전체 데이터 개수로 나눈 값이다.
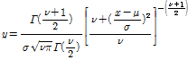
축 값의 의미는 전달손실 값이 일어날 확률이고, 전체 범위에 대해 적분한 값은 1이 된다. 실선은 히스토그램을 t 위치-척도(t location-scale) 분포로 최대우도법으로 피팅(fitting)하여 얻어진 전달손실의 확률밀도함수이다. t 위치-척도 분포는 정규분포보다 두꺼운 꼬리 분포를 가지는 데이터들을 피팅할 때 유용하며, 확률 밀도 함수는 Eq. (5)와 같다.
. (5)
는 감마함수,
는 형상 모수,
는 위치 모수,
는 척도 모수이다.
총 데이터 개수는 30,250개이며 표준편차는 1.25 dB로 이 시간대 전달손실의 변동성을 뜻한다. 전달손실의 확률밀도함수는 해당 시간대 해양환경이 가지는 불확실성을 수치화 하였다고 할 수 있다. 내부파에 의한 변동성이 커지면 표준편차가 커지고, 평균값에도 영향을 미치게 된다.
소음준위도 전달손실과 마찬가지로 히스토그램으로 나타내고 t 위치-척도분포로 피팅하여 확률밀도함수를 구할 수 있다. 단 소음준위의 경우 매시간당 5분씩 계측되었고 윈도우의 크기를 60 ms으로 하였으므로 데이터 개수는 185,000개이다. 소음준위의 표준편차는 3.68 dB이다.
소나방정식에 의해 전달손실과 소음준위, 음원준위의 확률밀도함수를 합성곱하면 신호이득에 대한 확률밀도 함수를 구할 수 있다.[2] 왜냐하면 확률밀도함수의 랜덤변수의 합은 각각의 확률밀도함수의 합성곱으로 나타낼 수 있기 때문이다. X는 TL에 대한 독립변수, Y는 NL에 대한 독립변수라고 하면, TL과 NL의 두 개의 독립적인 변수의 합인 Z = X + Y에 대한 분포는 Eq. (6)와 같고, TL과 NL에 대한 확률밀도함수를
,
이라 하면, Z에 대한 확률분포는 Eq. (7)와 같이 나타낼 수 있다.
. (6)
(7)
.
위 Eq. (7)은 TL과 NL이 독립적일 때 성립하는데, 두 변수의 상관계수를 모든 수신기 수심에 대하여 산출해 보았을 때 낮은 상관관계를 보이므로 식이 성립할 수 있다. 그러므로 소나방정식에 의해 SL, TL,NL의 분포를 합성곱 하고, 신호이득이 0 dB 이상인 구간에 대하여 적분하면 예상탐지확률을 산출 할 수 있다. 단, 본 논문에서는 음원준위는 일정하다고 가정하고 확률분포로 고려하지 않았으며, 전달손실과 소음준위만을 고려하였다. Fig. 6(a)는 음원의 수심이 35 m이고 수신기의 수심이 35.25 m일 때 VLA 1에서의 전달손실과 소음준위의 확률밀도함수를 나타내고 있으며, 전달손실의 표준편차는 1.25 dB이며, 소음준위의 표준편차는 3.68 dB이다. 이러한 값들은 음원과 수신기의 수심, 해양환경의 변화에 따라 달라지며 음파전달 특성을 표현하는 값이라고 할 수 있다. Fig. 6(b)는 전달손실과 소음준위의 확률밀도함수를 합성곱 했을 때 얻어지는 신호이득의 확률밀도 함수 이다. 신호이득의 확률밀도 함수를 0 dB 이상인 구간으로 적분하면, 예상탐지확률이 산출 되며 Fig. 6(b)에서 보는 바와 같이 음원의 수심이 35 m, 수신기의 수심이 35.25 m일 때 예상탐지확률은 0.79이다. 다만, 여기서 산출된 예상탐지확률은 탐지문턱, 지향지수 등은 고려하지 않았기 때문에 소나의 기계적 특성에 해당되는 항목들을 제외한 예상탐지확률이라고 할 수 있다. 소나의 기계적 특성들은 해양환경의 영향과 무관하며 성능지수의 한 부분이므로 일정하기 때문에 본 연구에서는 고려하지 않았다.
V. 내부파에 의한 예상탐지확률의 변화
내부파에 의해 해양환경이 변화하고, 전달손실과 소음준위 값도 변하게 되어 예상탐지확률도 변하게 된다. 예상탐지확률을 전체 음원과 수신기의 수심에 대해 계산할 수 있고, 시간을 변화해 가면서 계산 하여 음속의 변화와 비교하면 내부파에 의한 예상탐지확률을 분석할 수 있다. Fig. 7(a), (b)는 등온수심의 변화를, (c), (d)는 13° 등온수심의 평균값과 표준편차를 나타낸 것이다. Fig. 7(a), (b)에서 실선으로 표시된 부분을 보면 솔리톤패킷에 의해 20 m ~ 30 m 부근의 등온수심이 진폭이 크지는 않지만 비주기적으로 변화하는 것을 확인 할 수 있으며, Fig. 7(c), (d)에서 동일시간대의 등온수심의 표준편차가 큰 것을 확인 할 수 있다. 또한 내부조석에 의해 50 m ~ 60 m 부근의 등온수심이 10 m 내외로 반일주기로 변화하는 것을 알 수 있다.
전달손실과 소음준위 데이터의 확률밀도함수를 산출할 때 중심극한정리에 의해 충분한 수의 데이터가 있을 때 평균을 중심으로 일정한 분포를 구할 수 있다.[6] 그러므로 데이터 확보를 위하여 해당시간 앞 뒤 한시간의 전달손실 및 소음준위 데이터를 포함하여 총 3시간의 데이터를 이용하여 전달 손실 및 소음준위에 대한 분포를 구하였다. 이를 합성곱하여 신호이득에 대한 확률밀도함수를 구한 후, 0 dB 이상의 구간에서 적분하여 시간에 따른 예상탐지확률을 구하였다.
5.1 솔리톤 패킷에 의한 영향
Fig. 8(a), (b)는 VLA 1, 2에서 음원의 수심이 35 m일 때 시간에 따른 예상탐지확률의 변화를 나타낸 것이다. 수중음파채널이 형성되어 있고 채널 내에 갇혀있는 음선들이 직접경로로 수신기에 도달하게 되어 채널 내(30 m ~ 60 m 부근)에서 예상탐지확률이 높은 것을 확인 할 수 있다. 그런데 Fig. 8(b)에서 23일 19시에서 22시 사이의 예상탐지확률이 전체 수심에 대하여 실선부분과 같이 현저히 줄어드는 것을 확인할 수 있다. 예를 들면, VLA 2의 수신기 수심 35.25 m의 예상탐지확률은 수중음파채널의 영향으로 19시까지는 0.9 이상의 높은 값을 가지다가 19시 이후 급격히 감소하기 시작하여 21시경에는 0.1926까지 감소한다. 이러한 현상은 솔리톤 패킷에 의해 수온약층이 변화하고, 음선들이 하향굴절 하여 발생한다. Fig. 7(d)의 13° 등온수심의 변화를 보면 23일 18시에서 19시 사이에 솔리톤 패킷에 의해 등온수심의 평균값이 26 m정도에서 33 m로 가장 깊게 내려와 있고, 표준편차 또한 3.25 m로 다른 시간대에 비해 큰 것을 확인할 수 있다. 이로 인하여 채널내의 음선들이 하향굴절하게 되고, 채널 내에 갇혀있던 직접경로 음선들이 채널바깥으로 빠져나와 바닥에 의한 감쇄가 생겨 전달손실이 커지게 되고, 예상탐지확률이 줄어들게 된다. 또한 Fig. 8(a)의 VLA 1에서도 14~16시 사이에 빨간색 실선부분과 같이 수중음파채널 내에 예상탐지확률이 감소하는 것을 알 수 있는데, 예상탐지확률이 12시경 0.9181의 높은 값을 가지다가 14시 이후 감소하기 시작하여 0.2591까지 낮아진다. Fig. 7(c)에서 14~15시 사이의 13° 등온수심의 표준편차가 5.84 m로 큰 것을 확인 할 수 있고 이는 이시간대에 솔리톤 패킷에 의해 예상탐지확률이 감소하였다고 볼 수 있다. 이와 같이 솔리톤 패킷에 의한 예상탐지확률의 변화는 비주기성을 가지며 솔리톤 패킷이 관측되는 특정시간대에 크게 감소하는 특성을 가진다. 또한 이때의 등온수심의 표준편차가 3.25 m ~ 5.84 m까지 커지는 특성을 가진다.
5.2 내부조석에 의한 영향
Fig. 8(a)에서는 내부조석에 의한 예상탐지확률의 변화를 확인 할 수 있다. 23일 18시부터 24일 3시까지 50 m ~ 60 m 부근의 예상탐지확률이 표시된 부분과 같이 급격히 작아졌다가 다시 커지는 것을 확인할 수 있다. VLA 1의 수신기 수심 54 m에서의 예상탐지확률은 18시경 0.7186에서 19시경 0.4465로 감소하기 시작하여 24일 01시에는 0.1654로 최저값을 가지다 다시 증가하기 시작한다. Fig. 7(a)의 50 m ~ 60 m 사이의 14° 등온수심의 변화를 관찰해보면 23일 19시경부터 24일 3시경까지 등온수심이 60 m에서 50 m까지 약 10 m정도 상승한 것을 확인할 수 있다. 이러한 등온수심의 변화가 수중음파채널의 크기를 작게 만들어 동일한 수심에서의 예상탐지확률이 감소되었으며, 수중음파채널이 커지면 다시 예상탐지확률이 커지는 주기성을 가진다.
VI. 결 론
제주서남부 해역은 내부조석 및 솔리톤 패킷 등 에 의해 복잡한 해수유동이 존재하는 해역이다. 제주서남부에서 실시된 SAVEX15에서 계측된 데이터를 바탕으로 전달손실과 소음준위를 산출하고 분포화 하여 확률밀도 함수를 구하였다. 전달손실과 소음준위의 확률밀도함수를 합성곱 하여 신호이득에 대한 확률밀도함수를 구하고, 신호이득의 크기가 0 이상인 구간에 대하여 적분하여 예상탐지확률을 산출하였다.
시간에 따른 예상탐지확률을 산출하여 분석한 결과, 솔리톤 패킷이 발생할 때 등온수심의 표준편차가 3.25 m ~ 5.84 m으로 커지며, 수중음파채널내의 음선이 하향굴절하여 채널 바깥으로 빠져나와 바닥에 의한 감쇠가 증가하게 된다. 이로 인하여 전달손실이 감소함에 따라 수중음파채널내의 예상탐지확률을 크게 저하시키며, 비주기성을 가진다. 내부조석은 수중음파채널의 크기를 변화시켜 등온수심이 약 10 m 정도 변화 되었으며, 약 반일주기를 가지고 예상탐지확률을 감소시키는 것을 확인하였다.
이와 같이 예상탐지확률을 시간의 변화에 따라 산출하여 솔리톤 패킷과 내부조석에 의한 영향을 분석하였다. 그러나 본 논문에서 산출한 예상탐지확률은 기계적 특성이 포함된 부분이 제외된 부분이며 특정소나에 대한 예상탐지확률의 산출을 위해서는 해당 소나의 기계적인 특성을 추가하여 예상탐지확률을 산출해야 한다.











