I. 서 론
II. 임피던스 연성 해석
2.1 강결합된 경우
2.2 탄성 마운트로 결합된 경우
III. 무한 길이 도파관 구조물의 해석
IV. 임피던스 연성 해석 예
4.1 유한 길이 구조물 간 연성
4.2 무한 길이 원통형 실린더에 대한 WFE 해석
4.3 무한 길이 원통형 실린더와 유한 길이 내부 평판 구조물의 연성 해석
V. 결 론
I. 서 론
구조물의 진동을 해석하기 위한 방법론을 크게 둘로 구분하자면 모드방법(modal approach)과 파동방법(wave approach)으로 나눌 수 있다. 모드 방법은 구조물의 진동을 구조물이 가지는 고유한 진동 모드의 합으로 표현하는 기법이다. 진동 모드는 구조물의 경계 조건에 의해 달라지므로 , 모드 방법은 대상 구조물 전체에 대한 모델링 및 해석이 필요하다. 따라서 모드 방법은 일반적으로 유한한 크기를 가진 구조물의 전역 거동을 해석하는데 사용된다. 모드 방법을 적용한 수치해석 기법으로는 유한요소법(Finite Element Method, FEM)과 통계에너지해석법(Statistical Energy Analysis, SEA) 등을 들 수 있다. 특히, 유한요소법은 연속체인 구조물을 유한개의 요소로 분할하여 응답을 계산하는 수치해석방법으로 구조물의 진동 해석에 널리 사용되고 있다. 그러나, 구조물의 크기가 크고 관심 주파수 대역이 높은 경우, 응답을 계산하기 위해서는 필연적으로 모델의 요소 수가 많아질 수밖에 없어 모델링 및 연산에 많은 시간이 소요된다는 단점을 가진다.
앞서 언급한 것과 같이, 모드 방법을 사용하기 위해서는 구조물이 유한한 크기를 가져야 한다. 그러나 무한 길이 보 또는 무한 평판과 같이 구조물의 영역이 무한한 경우에는 모드 방법을 적용하는데 한계가 있다. 따라서 이러한 경우에는 구조물의 진동을 구조물을 따라 진행하는 파동의 합으로 표현하는 파동 방법을 적용할 수 있다. 즉, 대상 구조물에 존재하는 모든 파동들을 구하고 이들의 중첩으로 진동을 해석한다. 파동 방법에서는 구조물이 무한하다고 가정하므로 구조물 전체에 대한 해석이 요구되지 않는다. 파동 정보만으로 구조물의 진동을 해석하므로 구조물의 국부적 거동과 고주파수 대역 응답을 해석하는데 용이하다. 파동 방법은 파이프, 레일, 평판 등과 같이 단면의 형상이 길이 방향으로 일정하며 무한 길이를 가진다고 가정할 수 있는 도파관 구조물의 진동 및 소음 해석에 적합하다.
파동 방법을 이용한 구조물 진동 해석 수치해석 기법으로는 스펙트럴요소법(Spectral Element Method, SEM),[1,2] 파수유한요소법(Wavenumber Finite Element Method, WFEM),[3,4,5] 파동유한요소법(Wave Finite Element Method)[6]을 들 수 있다. 스펙트럴요소법은 보 이론을 사용하므로 보로 가정할 수 있는 구조물의 해석에만 적용 가능되며, 파수유한요소법은 구조물의 단면을 유한요소를 이용해 모델링 하므로 임의 형상을 가진 도파관 구조물의 진동 해석에 사용된다. 파동유한요소법은 도파관 구조물을 짧은 길이만큼만 FE 모델링한 후 반복구조이론(periodic structure theory)을 이용해 무한 길이 구조물을 구현하는 방법이다.
만약 무한 길이 도파관 구조물에 유한 크기를 가진 구조물이 연성되어 있는 경우에는 전체 구조물을 모드 방법 혹은 파동 방법만으로 해석하기에는 어려움이 따른다. 따라서 무한 길이 구조물에 대해서는 파동 방법을, 유한 구조물에는 모드 방법을 적용하여 두 결과를 연성하는 해석 방법이 적합할 것이다. 본 연구에서는 이와 같이 파동 방법과 모드 방법을 혼합하여, 무한 길이 도파관 구조물에 유한한 크기의 구조물이 연성되어 있는 복합구조물의 진동해석을 시도하였다.
해석 대상으로는 무한 길이를 가진 원통형 실린더내부에 유한한 길이를 가진 평판 구조물이 네 지점에서 결합되어 있는 경우를 고려하였다. 수치해석 방법으로 무한 길이 원통형 실린더에는 WFEM을, 유한 길이 평판 구조물에는 FEM을 적용해 연결 지점에서의 모빌리티(또는 임피던스)를 구한 후, 연결 지점에서 힘과 변위의 연속 조건을 이용해 연성하였다. 본 논문에서는 이 방법을 임피던스 연성(impedance coupling)[7] 또는 모빌리티 연성(mobility coupling)이라고 칭하였다.
본 논문은 다음과 같이 구성하였다. II장에서는 임피던스 연성에 대한 방법론을 기술하였으며, III장에서는 도파관 구조물에 대한 파동 방법 수치해석 기법인 파수유한요소법에 관해 서술하였다. 파수유한요소 해석을 위한 수치해석 프로그램으로는 영국 University of Southampton에서 개발한 WANDS (WAve Number Domain Software) 프로그램을 사용하였다.[8,9] 유한요소법은 구조물의 진동 해석에 널리 사용되고 있는 방법이므로 본 논문에서는 정식화에 관한 구체적인 기술을 생략하였다. 마지막으로 IV장에서는 파수유한요소 해석과 유한요소 해석을 이용한 임피던스 연성 해석 예로서, 무한 길이 원통형 실린더와 내부 평판 구조물이 강결합(rigid coupling) 또는 탄성마운트로 결합 된 경우의 진동응답을 구하고 그 결과를 비교하였다.
II. 임피던스 연성 해석
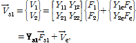
해석하고자 하는 대상 구조물이 여러 개의 하부 구조물로 이루어진 경우, 하부 구조물들의 결합 지점에서는 힘의 작용-반작용 조건과 변위의 연속 조건이 만족되어야 한다. 임피던스 또는 모빌리티 연성 방법은 이처럼 결합된 하부 구조물 간에 만족해야하는 결합 지점의 속도와 힘 상관 관계를 이용하여 전체 구조물 거동을 해석하는 방법이다. 즉, 전체 구조물의 진동을 각 하부구조물 결합 지점의 임피던스 또는 모빌리티로 표현하여 결합 지점에 작용하는 반력을 얻은 후, 하부 구조물 대신 결합 지점에 외력을 작용시킴으로써 응답점이 있는 하부 구조물의 진동 응답을 구하게 된다.
본 장에서는 두 개의 하부 구조물이 점결합(point connection)된 예에 대하여 임피던스 연성 행렬을 구성하고, 결합 지점의 힘을 이용해 응답을 구하는 과정에 대해 기술한다. Fig. 1에는 두 개의 하부 구조물이 두 지점에서 결합된 경우에 대한 단순 모델을 나타내었다. Fig. 1에서 두 개의 하부 구조물은 각각 원통형 실린더, 하부 구조물 2와 내부 구조물, 하부 구조물 1이며, 두 하부 구조물은 두 개의 지지구조를 통해 결합되어 있다. 지지구조 상부와 하부의 결합 지점은 수직 방향 운동에 대해 연성된 상태로 가정하였다. 하부 구조물 1에는 수직 방향 외력 Fe가 작용하고 있으며, 응답을 얻고자 하는 지점은 하부 구조물 2에 있는 임의 지점이다.
본 절에서는 하부 구조물 1과 2를 연결하는 지지지지구조를 두 가지 다른 경우로 가정하였다. 첫 번째는 하부 구조물 1과 2가 강결합된 경우로서, 지지구조는 강체로 간주하였다. 두 번째는 두 하부 구조물이탄성마운트 결합된 경우로서 지지구조는 수직 방향 스프링으로 표현하였다.
2.1 강결합된 경우
Fig. 1의 두 하부 구조물이 강결합된 경우에는 지지구조 상하단의 변위가 동일해야하며, 상하단 결합 지점에 작용하는 내력은 작용-반작용에 의해 크기는 같고 방향은 반대가 된다. 즉, 하부 구조물 1과 2의 연결 지점에서는 Eqs.(1)과 (2)의 조건을 만족해야한다.
, (1)
, (2)
여기서
과
는 하부 구조물 1과 2의 지지구조 결합 지점에 작용하는 힘을 나타내는 벡터이며,
과
는 하부 구조물 1과 2의 지지구조 결합 지점의 속도를 나타내는 벡터이다. 즉,
,
(3)
이다. 하부 구조물 1의 두 결합 지점에 대한 속도를 힘과 모빌리티로 표현하면 Eq.(4)와 같다.
(4)
, (5)
여기서
는 모빌리티를 의미하며 두 개의 하첨자는 각각 지지점 및 힘의 작용 지점의 위치를 나타내며,
과
는 각각 하부 구조물 1과 2의 연결점에 대한 모빌리티 행렬을 낸다. 그리고
는 외력에 의해 발생하는 하부 구조물 1의 지지점 속도를 의미한다. Eqs.(1)과 (2), 그리고 Eqs.(4)와 (5)를 묶어 행렬 형태로 표현하면 Eq.(6)과 같이 나타낼 수 있다.
여기서
는 단위행렬을 의미한다. 따라서 하부 구조물의 모빌리티와 외력이 주어지면 Eq.(7)을 이용해 각 결합 지점의 힘과 속도를 구할 수 있다.
여기서
는 Eq.(6)의 임피던스 행렬을 의미한다.
Eq.(7)을 이용해 하부 구조물 2에 작용하는 힘
를 구하면, 하부 구조물 1에 외력
가 작용할 때 하부 구조물 2에 발생하는 응답을
와 두 지지점 3과 4와 응답점 사이의 모빌리티를 이용해 구할 수 있다. 즉, 하부 구조물 1에 의해 하부 구조물 2에 전달되는 힘
을 구하였기 때문에 내부 구조물과 연성되지 않은 하부 구조물 2에 힘
가 작용할 때의 응답을 구하는 문제가 된다. 본 절의 정식화에서는 2 자유도 연성을 가정하였으므로 Eqs.(3) ~ (5)에 정의된 벡터 및 행렬의 크기가 2
2로 표현되었으나, 실제로는 하부 구조물의 연성 자유도에 의해 달라진다. 따라서 n개의 자유도가 연성된 경우, 임피던스 행렬
는 4n
4n 크기의 행렬이 된다.
2.2 탄성 마운트로 결합된 경우
2.1절에서는 두 하부 구조물이 강결합된 경우를 가정하였으나, 진동 절연을 위해서는 탄성 마운트와 같이 탄성 지지구조를 이용한 결합이 보다 일반적이다. 본 절에서는 지지구조가 강성을 가는 경우에 대한 임피던스 연성에 관해 기술하였다.
두 하부 구조물의 수직 방향 운동이 탄성 마운트로 결합된 경우에는 두 가지 방법의 임피던스 연성을 고려할 수 있다. 먼저, 탄성 마운트를 두 하부 구조물 사이에 놓인 단순 스프링으로 묘사하는 방법인데, 이 방법은 저주파수 대역 해석에서는 타당하나 고주파수 대역에서는 탄성 마운트의 동적 강성을 표현할 수 없어 신뢰성이 떨어진다. 탄성 마운트의 동특성을 보다 정확히 반영하기 위해서는 탄성 마운트의 동강성 측정치를 사용하거나 또는 탄성 마운트 상하단의 모빌리티를 이용해 해석하는 것이 필요하다.
Fig. 2에 나타낸 것과 같이, 탄성 마운트를 단순 스프링으로 묘사하는 경우에 결합 지점의 속도와 힘의 상관 관계는 Eqs.(8)과 (9)로 쓸 수 있다.
, (8)
, (9)
여기서
는 탄성 마운트의 스프링 상수
로부터 정의되는 행렬로서 Eq.(10)과 같다.
, (10)
여기서
는 파수,
는 각주파수를 나타내며,
는
허수를 의미한다. Eqs.(8)과 (9), 그리고 하부 구조물의 모빌리티 상관 관계를 나타내는 Eqs.(4)와 (5)를 묶어 하나의 행렬로 표현하면 Eq.(11)과 같다.
Eq.(7)과 같이 Eq.(11)로부터 하부 구조물 결합 지점의 힘
를 구할 수 있으므로, 하부 구조물 2에 힘
가 작용할 때의 하부 구조물 2의 응답을 얻을 수 있다.
탄성 마운트를 단순 스프링이 아닌 또 하나의 하부 구조물로 간주하여 해석하고자 할 경우에는 탄성 마운트 상하단의 모빌리티를 정의하여 임피던스 연성식에 포함시킬 수 있다. Fig. 3에는 하부 구조물 1과 2를 연결하는 탄성 마운트를 상하단의 임피던스(또는 모빌리티)로 연성하기 위한 개념도를 나타내었다. Fig. 3에 보인 것과 같이 탄성 마운트 상단과 하단의 힘과 속도 관계를 탄성 마운트의 모빌리티로 정의하여 하부 구조물 1과 2의 결합 관계를 행렬로 표현하면 Eq.(12)와 같이 쓸 수 있다.
여기서
,
,
,
는 탄성 마운트 상하단의 모빌리티로 구성된 행렬이다. 탄성 마운트 상단 및 하단에서 6개의 자유도가 연성된 경우에는 각각의 모빌리티 행렬은 6
6의 크기를 갖는다.
III. 무한 길이 도파관 구조물의 해석
단면의 형상이 길이 방향으로 일정한 무한 길이 도파관 구조물의 경우, 일반적인 FE 해석을 적용하는 데는 한계가 있다. 이를 극복하기 위한 대안으로써 짧은 구간만 FE 모델링 한 후 반복구조이론을 적용하는 파동유한요소법과, 단면만을 FE 모델링 한 후 길이 방향으로는 조화 진동 이론해를 사용하는 파수유한요소법을 들 수 있다. 본 연구에서는 무한 길이 도파관 구조물 해석에 파수유한요소법을 적용하였다.
WFE(Wavenumber Finite Element) 방법은 도파관 구조물을 따라 진행하는 파동을 구하고, 그 파동들의 합으로 응답을 계산하는 수치해석 방법이다. 즉, 도파관 구조물의 단면 모드를 갖는 파동들이 길이방향으로 조화 진동하며 전파한다고 가정한다. 이를 위해 구조물의 2차원 단면만을 유한요소로 모델링하고 길이 방향의 파동 전파는 복소지수 함수,
를 이용하여 표현한다. 여기서
는 도파관의 길이방향 좌표축,
는 길이방향으로 전파하는 파동의 파수이다. 2차원 단면만을 유한요소 모델링하고 길이 방향으로는 이론적 파동 전파를 가정하므로 2.5차원 유한요소(2.5D FE) 기법이라고도 칭한다.
WFE 운동 방정식에 대한 이론적 정식화는 여러 References [3] ~ [5]에 자세히 설명되어 있으므로 본 논문에서는 식의 유도를 생략하였다. WFE 해석을 위한 운동 방정식은 Eq.(13)과 같다.
(13)
여기서
,
,
,
는 구조물의 강성행렬이며,
은 질량행렬,
는 단면의 변위 벡터, 그리고
는 외력 벡터이다.
Eq.(13)의 WFE 운동방정식은 두 개의 변수, 즉, 파수
와 주파수
를 가지고 있으므로, Eq.(13)로부터 해를 구하기 위해서는 이 두 변수의 값이 주어져야 한다. Eq.(13)의 WFE 운동방정식에서 외력이 없는 경우에는 자유진동에 대한 식이 되며, 주어진 파수 κ에서의 주파수 ω를 구하는 고유치 해석을 통해 구조물을 따라 진행하는 파동의 분산선도를 구할 수 있다.
가진력에 의한 도파관 구조물의 응답은 WFE 운동방정식 좌변의 역행렬을 양변에 곱하여 Eq.(14)와 같이 구할 수 있다.
(14)
즉, WFE 운동방정식에 주파수 ω와 파수 κ 값을 변화시켜가면서 매 주파수와 파수에 대해 Eq.(14)를 푼다. 따라서
는 주파수와 파수의 함수이다. Eq.(14)로부터 공간 영역의 응답을 구하기 위해서는 Eq.(15)와 같이 파수에 대한 역푸리에 변환을 수행한다.
, (15)
여기서
는 파수에 대한 적분 범위를 나타내는데, 분산선도 해석을 통해 해당 주파수에 존재하는 파동의 가장 큰 파수보다 큰 값으로 설정하여야 한다.
구조물의 변위는 시간에 대해 조화진동을 하므로 구조물의 속도는
이므로 가진력과 구조물의 속도를 이용해 모빌리티를 얻을 수 있다.
IV. 임피던스 연성 해석 예
본 장에서는 임피던스 연성을 이용한 결합 구조물의 진동 응답 해석 예로서 무한 길이 원통형 실린더와 그 내부에 설치된 유한 길이 평판 구조물의 연성을 다루고자 한다. 이에 앞서 임피던스 연성을 이용한 결합 구조물 진동 해석의 타당성을 확인하기 위해 내부 평판 구조물과 결합된 유한 길이 원통형 실린더에 대해 해석을 수행하고 유한요소해석 결과와 비교하였다.
4.1 유한 길이 구조물 간 연성
먼저 임피던스 연성을 이용한 결합 구조물 해석의 타당성을 확인하기 위하여 유한 길이를 갖는 결합 구조물에 대한 FE 해석을 수행하고 그 결과를 임피던스 연성 해석 결과와 비교하였다. 즉, 결합된 전체 구조물을 FE로 해석하여 구한 응답과 임피던스 연성을 이용해 구한 응답을 비교한다.
해석 모델로는 내부에 사각 평판 구조물을 갖는 원통형 실린더로 하였으며, 모델의 물성치 및 제원은 Table 1에 나타내었다. Fig. 4에는 결합된 구조물의 형태를 나타내었으며, 원통형 실린더는 내부 사각 평판 구조물의 네 꼭지점에서 세 개의 병진 방향 자유도가 강결합 되어 있다고 가정하였다. 내부 평판구조물에는 Fig. 4(b)에 표현된 위치에 수직 방향 가진력이 작용하며, 원통형 실린더에 위치한 응답점의 (X, Y, Z) 좌표는 (4 m, -0.191 m, -0.462 m)이다. FE 해석은 상용 FE 프로그램인 ANSYS를 이용하였다.
Fig. 5에는 전체 구조물에 대한 FE 해석으로부터 구한 응답을 임피던스 연성 해석을 통해 구한 응답과 비교하여 나타내었다. Fig. 5(a)는 응답점의 길이 방향(x 축 방향) 응답, (b)는 반경 방향 응답, 그리고 (c)는 원주 방향 응답을 각각 나타내었다. Fig. 5의 비교를 통해 임피던스 연성 해석 결과가 전체 구조물을 FE 해석한 것과 동일함을 확인 할 수 있다. 이로부터, 결합 구조물의 진동 해석에 임피던스 연성 방법이 적용 가능함을 확인하였다.
4.2 무한 길이 원통형 실린더에 대한 WFE 해석
4.1절의 유한 길이 구조물에 대한 연성 해석으로부터 임피던스 연성 해석 방법의 신뢰성을 확인하였으므로 본 절에서는 무한 길이 구조물과 유한 길이 구조물에 대하여 임피던스 연성 해석을 수행하였다. 내부 사각 평판 구조물과 길이를 제외한 원통형 실린더의 제원 및 물성치는 Table 1과 동일하다.
파동 방법을 이용한 무한 길이 구조물 진동 해석에서는 먼저 구조물에 존재하는 파동의 특성을 파악하는 것이 필요하므로, Eq.(13)의 운동방정식에서
인 경우에 대한 고유치 해석을 통해 분산선도를 구한다.
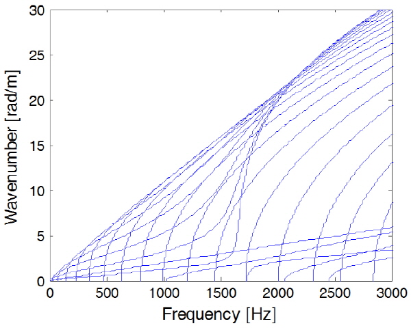
Table 1의 무한 길이 원통형 실린더에 대해 고유치 해석을 통해 얻은 분산선도는 Fig. 6에 나타내었다. Fig. 6의 분산선도는 3 kHz 이하 주파수 대역에 모두 23개의 파동이 대상 원통형 실린더에 존재함을 보이고 있으며, 그 각각의 파동은 서로 다른 단면 변형 모드와 전파 특성을 갖는다.
3 kHz에서 파수가 약 6 rad/m인, 직선으로 표현된 비분산파는 비틀림파(torsional wave)이며, 3 kHz에서 약 3 rad/m이 되는 비분산파는 종파(longitudinal wave)이다. 원통형 실린더에 존재하는 모든 비틀림파와 종파는 주파수가 증가함에 따라 이 두 기울기를 갖는 분산선으로 수렴해 간다. Fig. 6에서 구한 비틀림파와 종파의 전파속도는 각각 약 3100 m/s 그리고 6300 m/s이다.
Fig. 6에서 그 외의 곡선으로 표현된 분산선들은 모두 굽힘파(bending wave)를 나타낸다. Fig. 7에는 WFE 해석으로 구한 몇 개 굽힘파의 단면 변형 형태를 파수가
인 경우에 대해 나타내었다. Fig. 8에서 점선은 원통형 실린더의 초기 단면 형상이며, 실선은 해당 파동이 가지는 원통형 실린더의 단면 변형 형상이다. Fig. 7의 단면 변형 형상으로부터, 이들 파동은 단면의 1차 ~ 4차 모드를 가지는 파동이며 주파수가 증가함에 따라 단면 모드의 차수가 증가함을 알 수 있다. Fig. 7의 분산곡선과 대응시켜 보면, 단면 모드의 차수가 낮은 굽힘파들은 초기에는 비분산파의 특성을 보이다가 약 1600 Hz의 링주파수 부근에서 급격히 분산파, 굽힘파로 특성이 변화함을 알 수 있다. 이것은낮은 차수의 단면 모드에서는 원통형 실린더의 면내 진동 특성이 주요하게 작용하기 때문이다.
WFE 해석으로부터 원통형 실린더의 가진점 및 응답점 임피던스를 얻기 위해서는 Eq.(15)와 같이 파수 영역 응답을 공간 응답으로 변환해 주어야 한다. 즉, Eq.(14)를 이용해 파수 영역에서 원통형 실린더의 파수 응답을 구하고, 이를 Eq.(15)의 역퓨리에 변환을 이용해 공간 영역 응답으로 바꾼다. WFE 해석으로 구한 공간 응답의 예를 보이기 위해, Fig. 8에는 원통형 실린더 내부에 270 Hz의 수직 방향 단위 하중이 작용할 때에 대한 원통형 실린더 응답을 나타내었다. 가진점의 위치는
인 단면에서 (Y, Z)의 좌표가 (-0.354 m, -0.354 m )인 지점으로 설정하였다. Fig. 8에서는 원통형 실린더의 변형 모습이 선명히 드러나도록 하기위해 변위를 실제보다 크게 과장하여 표현하였다. Fig. 6의 분산선도를 보면, 단면의 5차 모드를 가지는 파동이 274 Hz에서 시작되고 있으므로 이 파동이 270 Hz의 공간 응답에 가장 크게 기여할 것으로 예상할 수 있으며, 이는 Fig. 8에 나타난 원통형 실린더의 단면 변형 형상을 통해 확인할 수 있다. 또한 270 Hz에 대한 Eq.(15)의 파수 적분 구간은
6 rad/m로 설정하여 270 Hz에 존재하는 파동이 해석에 모두 포함될 수 있도록 하였다.
4.3 무한 길이 원통형 실린더와 유한 길이 내부 평판 구조물의 연성 해석
본 절에서는 무한 길이 구조물과 유한 길이 구조물이 결합된 경우의 진동 해석을 위해, 무한 길이 원통형 실린더에 대한 WFE 해석과 내부 사각 평판 구조물에 대한 FE 해석결과를 임피던스 연성 방법을 이용해 결합하였다. 내부 사각 평판 구조물과 무한 길이 원통형실린더의 제원은 4.1절의 Table 1에 제시된 것과 동일하다. 단, 원통형 실린더는 무한 길이를 갖는다. 두 구조물의 결합 지점은 내부 사각 평판 구조물의 네 꼭지점으로 동일하며, 각 결합점에서는 세 개의 병진 방향(x, y, z 방향) 자유도를 연성시켰다.
내부 사각 평판 구조물과 원통형 실린더의 결합은 두 가지 경우로 설정하였다. 첫 번째는 두 구조물이 결합점에서 강결합되어 있는 경우이며, 두 번째는 두 구조물이 결합점에서 탄성마운트 스프링으로 연결되어 있는 경우이다. 본 해석은 특정 탄성 마운트를 대상으로 한 것이 아니므로 스프링 상수는 임의로 세 방향 모두 100 kN/m 또는 10 kN/m의 두 가지 조건으로 설정하였다.
내부 평판 구조물에 대한 FE 해석과 원통형 실린더에 대한 WFE 해석으로 구한 결합 지점의 모빌리티를 Eq.(6) 그리고 Eq.(11)에 대입해 네 결합 지점에서의 내력을 구하고, 그 내력을 원통형 실린더에 작용시켜 구한 응답점의 모빌리티는 Fig. 9에 나타내었다.
Fig. 10의 결과를 보면, 내부 평판 구조물이 원통형 실린더와 강결합된 경우와 비교해 탄성 마운트로 연결된 경우 전반적으로 고주파수 대역 응답이 낮게 나타남을 알 수 있다. 특히 높은 주파수 대역에서 탄성 마운트에 의한 진동 저감 효과가 크게 나타남을 알 수 있다. 또한 탄성 마운트의 강성이 100 kN/m에서 10 kN/m로 낮아지면서 원통형 실린더의 응답이 고주파수 대역에서 약 20 dB 정도 감소하는 것으로 나타났다.
Fig. 10에서 탄성 마운트의 스프링 상수가 10 kN/m와 100 kN/m인 경우의 결과를 비교해 보면, 첫 번째 공진 주파수가 각각 약 4 Hz와 13 Hz 부근에서 발생하는데, 이는 탄성 마운트로 연결된 내부 평판 구조물의 수직 방향 강체 고유진동수에 의한 것으로 판단된다. 내부 평판 구조물이 탄성마운트로 지지되어 강체 바닥에 놓여있다고 가정하면, 탄성마운트의 스프링 상수가 10 kN/m와 100 kN/m 일 때 수직 방향 강체 고유 진동수는
4.3 Hz 또는 13.4 Hz이다. 이 두 공진 주파수는 Fig. 10의 결과와 잘 일치함을 볼 수 있다.
내부 평판 구조물의 공진이 Fig. 9의 응답에 미치는 영향을 보다 상세히 살펴보기 위해 Fig. 10에는 원통형 실린더와 연성되지 않은 내부 평판 구조물에 대한 FE 해석 결과를 나타내었다. 내부 평판 구조물이 탄성마운트에 의해 강체 바닥에 고정되어 있는 경우 탄성 마운트가 연결되는 평판의 한 꼭짓점에서 수직 방향 응답을 FE 해석으로 구하여 나타내었다.
Fig. 10에서 첫 번째 공진 주파수는 수직 방향 강체 진동수이며, 탄성 마운트의 강성이 10 kN/m인 경우 평판의 Y 방향과 X 방향 강체 회전에 대한 고유진동수는 각각 7.3 Hz와 7.33 Hz이므로 Fig. 10에서는 하나의 피크로 표현되고 있다. 또한 48 Hz는 평판의 비틀림 모드가 발생하며 53 Hz 부터는 평판의 굽힘 모드가 나타남을 확인하였다.
|
Fig. 10. Mobilities of the inner rectangular plate supported by resilient mounts on a rigid floor. |
|
Fig. 11. Mobilities of the cylindrical shell uncoupled. |
또한 내부 평판 구조물과 연성되지 않은 원통형 실린더 자체의 진동 응답을 살펴보기 위해 Fig. 11에는 내부 평판 구조물이 연성되는 원통형 실린더의 한 지점에 단위 하중을 주고 구한 가진점 및 응답점의 수직 방향 모빌리티를 나타내었다. Fig. 11의 모빌리티와 Fig. 6의 분산선도 그리고 Fig. 7의 시작 주파수(cut-on frequency)를 통해 내부 평판 구조물과 연성되는 않은 원통형 실린더의 공진 주파수는 Fig. 6의 시작 주파수임을 알 수 있다.
하부 구조물 각각의 비연성 응답을 나타낸 Fig. 10과 Fig. 11의 결과를 Fig. 9의 결합 구조물 응답과 비교하면 결합 구조물의 응답에 기여하는 하부 구조물들의 영향을 파악할 수 있다. 즉, Fig. 9의 응답에서 탄성 마운트의 강성 변화에 관계 없이 일정한 주파수에서 발생하는 공진은 원통형 실린더에 존재하는 파동에 의한 것이며, 탄성 마운트 강성에 따라 주파수가 변화하는 공진 주파수들은 내부 평판 구조물에서 기인하는 진동 들이다.
V. 결 론
본 논문에서는 무한 길이 구조물에 유한 길이 구조물이 결합되어 있는 경우, 이 결합 구조물의 진동 응답을 해석하기 위해 임피던스 연성 방법을 적용하고 그 결과를 검토하였다. 즉, 무한 길이 구조물에 대해서는 파동 방법을, 유한 길이 구조물에 대해서는 모드 방법을 각각 적용하여 모빌리티를 구하고 그 결과를 연성하여 전체 구조물의 응답을 해석하였다.
임피던스 연성을 위해서는 각 하부 구조물간 결합 지점에서의 임피던스 또는 모빌리티가 필요하므로 유한 길이 구조물의 경우에는 유한요소법을, 무한 길이 도파관 구조물의 경우에는 파수유한요소법을 적용하여 이를 구하였다.
먼저 임피던스 연성 해석 방법의 타당성을 확인하기 위해 유한 길이 원통형 실린더와 사각 평판 구조물이 결합된 경우에 대한 전체 구조물 FE 해석을 수행하고, 그 결과를 임피던스 연성 해석 결과와 비교하였다. 이를 통해 임피던스 연성 해석이 결합 구조물의 진동 해석에 적용 가능함을 확인하였다.
마지막으로, 무한 길이 원통형 실린더 내부에 사각 평판 구조물이 결합된 경우에 대해 임피던스 연성 해석을 수행하였다. 무한 길이 원통형 실린더의 모빌리티는 WFE 방법으로, 유한 길이 사각 평판 구조물의 모빌리티는 FE 방법으로 구하였다. 또한 두 구조물이 탄성 마운트로 연결된 경우에 대한 해석을 통해 탄성 마운트에 의한 진동 차단 효과를 확인하였다.
본 연구를 통해 무한 길이 하부 구조물과 유한 길이 하부 구조물로 이루어진 결합 구조물의 진동 해석에 파동 방법과 모드 방법을 이용한 임피던스 연성 해석이 유용함을 확인하였다. 본 연구에서는 단순한 형태의 구조물들이 적은 수의 자유도로 연성된 경우에 대한 예를 다루었지만, 다수의 결합 지점을 갖는 복잡한 구조물에 대해서도 임피던스 연성 방법이 적용 가능할 것으로 판단된다.






















=0 rad/m). (a) 0 Hz, (b) 30 Hz, (c) 86 Hz, (d) 167 Hz. (Dotted line, undeformed cross section; solid line, deformed cross section).



