I. Introduction
II. Channel Coherence Bandwidth in UWA Communication
III. Experimental Procedure
IV. Results and Discussion
V. Conclusions
I. Introduction
UWA communication system is highly sensitive to channel characteristic which depends on environmental parameters such as background noise, sea surface state, and depth dependent sound speed profile.[1-4] Special emphasis on the BER has been given to the effect of time-varying signal fluctuation due to sea surface roughness, which results in severe degradation of system performance by causing time and frequency spread of the transmitted signal. This is the fact that multipath time spread between the first and the last arrival path may span very much long comparing to bit interval and leads to severe Inter-Symbol Interference (ISI). In addition, all the paths but the paths propagating through the medium experience boundary reflection effects such as scattering at the sea surface and energy loss at sea bottom.
Special emphasis on the BER has been given to the statistics of time-varying signal fluctuation due to acoustical variation of the sea, which gives severe degradation of the communication system performance by causing time and frequency spread of the transmitted signal.[5-8] A frequency shift and an average reflection coefficient of a signal scattered by sea surface is given as a function of frequency and subtended angle.[9]
In previous study,[7,10] time-variant sea surface scattering is shown to be Rayleigh fading model and if there is a dominant direct path signal, then the equivalent low-pass received signal is modeled as Rice fading. However, it has been known to be very difficult to reproduce the statistical estimation by real experimental evaluation. In our previous experiment of 9 m depth river, BER and the received image quality were strongly dependent on the bottom path grazing angle and found to match well the channel coherence bandwidth of the multipath structure.[11] In general, a vertical and a horizontal channels are classified by a relative contribution of boundary reflected path intensity. The boundary reflected path of the former in which a transmitter and a receiver are located vertically, experiences high loss due to high grazing angle in boundaries but the boundary reflected path of the latter in which a transmitter and a receiver are located horizontally, experiences relatively low loss due to low grazing angle in boundaries. However it is not conclusive how each path contribute to channel coherence bandwidth considering transmitter- receiver range and receiver depth variations for a given transmitter position.[11]
In this study, image transmission performance of BFSK in 26 m depth of very shallow littoral is examined to figure out how the sea surface and the bottom boundaries affect the UWA channel and these are related to channel model. It is anticipated that transmitter-receiver range dependent acoustic channel performance is more clearly verified.
II. Channel Coherence Bandwidth in UWA Communication
In the time invariant discrete multipath channel, the channel’s impulse response
for carrier frequency
is given as[8]
. (1)
The
is the nth multipath signal’s amplitude which depends on boundary reflection loss, path loss, and absorption loss, and
is the nth multipath’s delay time. In the time variant discrete multipath channel, the channel’s impulse response
is given as[8,12]
. (2)
The autocorrelation function of
is defined as
. (3)
where
is an observation time difference between two different time instant
. If the observation time difference
is set to be 0, then
becomes a Multipath Intensity Profile (MIP). Using the MIP, a channel coherence bandwidth
is evaluated.
A Root Mean Square (RMS) delay spread
is first calculated as
. (4)
The average delay
and
are given as
,
. (5)
where,
is an intensity of a kth path. The relationship between the effective delay spread
, and the
, is given as
. (6)
For a given digital signal transmission rate. The multipath frequency selectivity is evaluated by comparing the signal bandwidth
to channel coherence bandwidth
. If
is greater than the signal bandwidth
, the channel is defined as a frequency non selective channel which gives an error-free, stable signal transmission under no channel noise condition.
III. Experimental Procedure
Figure 1 shows a schematic layout of the experimental geometry for grazing-angle dependent boundary reflection effects on UWA communication. The experiment was conducted in 18 and 28 October 2011 in the bay of the Gwangan beach, which is located in east side of Busan city, Korea.
|
Fig. 1. Experimental configuration of underwater acoustic communication. |
The effective surface wave height is about 0.7 m. Bottom sediment is sandy mud in experimental site. The tidal current flow is about 0.5 m/s. The bottom is sandy mud with a density and velocity of sound of 1567 kg/m3, and 1540 m/s, respectively. CTD (instrument for con-tinuous conductivity, temperature, and depth of ocean waters) is casted to measure water column properties during experiment. Two vessels of transmitter and receiver side are tethered to fix the transmitter-receiver range (Tx-Rx range). Therefore Doppler spread is ignored in data analysis. The range between the transmitter (ITC 1001) and receiver (B&K 8106) is set to be 50, 100 and 200 m and the depth of receiver is set as 5 and 20 m at each range. Transmitter depth is set as 7 m.
A noncoherent BFSK modem of 20 and 22 kHz carrier frequencies, is implemented for image transmission because of its robustness and implementation simplicity. The transmitted image is the standard Lenna image. It consists of 50 x 50 pixels and 8 bits per pixel, which therefore amounts to 20,000 bits of data.
Before transmitting BFSK image signal, 4 ms Linear Frequency Modulated (LFM) ping signal is emitted to measure the channel impulse response. at each range and depth. Its start and stop frequencies are 16 and 24 kHz, respectively. The LFM ping is emitted 30 times with interval of 1 s to get a stationary average result. MIP is obtained by matched filtering the received signal with emitting ping signal. It is also used for time synchronization of the received signal for demodulation.
IV. Results and Discussion
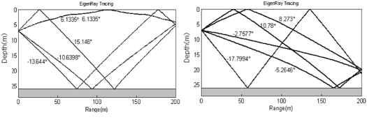
Fig. 2 and Fig. 3 show the sound velocity profile and the eigenray trace results, respectively. In Fig. 3, the numerical value of each eigenray means grazing angle with respect to boundary plane. The angle of direct path ray is measured to horizontal direction. Only the first five arrivals which could show high signal amplitude, are shown in Fig. 3.
|
Fig. 2. Temperature and sound velocity profiles of experimental site. |
The measured MIPs for corresponding receiver depths and transmitter-receiver ranges are shown in Fig. 4. In the measured MIP's, the simulated 5 eigenrays are not clearly shown except the direct path due to scattering and energy loss in boundaries. Surface wave height and a critical angle of bottom are about 0.7 m and 15o[6], respectively.
At 5 and 20 m receiver depths in 50 m Tx-Rx range, only the direct and the surface reflected path signals are shown. This explains that grazing angles of bottom path signals are greater than the critical angle and highly attenuated in sandy mud bottom.
In 100 m Tx-Rx range, only direct and surface reflected path signals are shown. at 5 m receiver depth but the bottom reflected signals are also shown at 20 m receiver depth since grazing angles of bottom reflected path signals are less than or not much greater than the critical angle.
In 200 m Tx-Rx range, all the grazing angles of bottom reflected path signals are less than or not much greater than the critical angle. Therefore, all the 5 eigenray path signals are shown at 20 m depth but not at 5 m depth due to highly scattering in the sea surface. The direct and the first arrival surface reflected eigenrays are congested together and other surface reflected signals are highly scattered due to high grazing angle to rough sea surface.
The MIPs in Fig. 4 are evaluated using eqn. (4)-(6). Figure 5 shows five MIPs samples at 5 m receiver depth in Tx-Rx range 50 m. The 30 pings' MIPs are averaged and dominant paths are selected by -6 dB threshold to ignore the low level scattered signal. Table 1 shows RMS delay spread
and channel coherence bandwidth
of two different receiver depths and three different Tx-Rx ranges.
|
Fig. 5. Five MIPs samples at 5 m receiver depth in Tx-Rx range 50 m. |
As shown in Tab. 1,
is dependent on both Tx-Rx range and receiver depth. At the deeper receiver,
is the narrower due to high absorption at bottom and more scattering at sea surface.
Figures 6-11 are the received images for three different Tx-Rx ranges and two different receiver depths. To change the channel's frequency selectivity for given
, four different transmission bit rates such as
100, 200, 500, and 1000 bps are used. The signal bandwidths
are equal to 100, 200, 500, 1000 Hz since BFSK is adopted in modem.
In Fig. 6 for 5 m depth receiver, the images of 100, 200, and 500 bps are better than that of 1000 bps. The
of 1000 bps is greater than
as shown in Tab. 1. In Fig. 7, however, only the image of 100 bps is better than other since the
of other three are greater than
of 180 Hz in this channel.
In Fig. 8 for 5 m depth receiver, all the images of 100, 200, 500 and 1000 bps have similar quality. Since the
in this channel is 1100, each
are less than
of 1100 in the channel. In Fig. 9, however, the image of 100 bps is the best since
in this channel. is 320 Hz.
In Fig. 10 and 11 for 5 and 20 m depth receiver, all the images have a similar quality. The
of the former is 1820 Hz and that of the latter is 600 Hz.
In Figs. 8-11, each image quality is also highly affected by background noise by long Tx-Rx range.
Considering Tx-Rx range with respect to image quality, images at shorter range are more dependent on receiver depth. The quality of images in 200 m range is less dependent on the receiver depth. This could be explained by the fact that the effective delay spreads of both receiver depths are similar to each other since grazing angle of each dominant eigenray to bottom and sea surface are similar to each other due to long Tx-Rx range. This is confirmed in Tab. 1 in which
of 200 m range is smaller than those of 50 and 100 m range.
The BER of transmission rate of each experimental condition is summarized in Tables 1 and 2.
V. Conclusions
Underwater image transmission performance of BFSK is examined in very shallow littoral zone and analyzed to evaluate the grazing-angle dependent boundary reflection effects on underwater acoustic communication.
The received image quality is highly dependent on the transmitter-receiver range and receiver depth which characterize the channel coherence bandwidth.
The higher grazing-angle reflection eigenrays induce high absorption at bottom and severe scattering at rough sea surface. This gives the better image quality. The lower grazing-angle eigenrays at the longer transmitter-receiver range gives the higher signal amplitude and the image quality is not degraded since they are congested to give shorter delay spread. Image quality or BER in shorter range is more receiver depth dependent than that in longer range.




































