I. 서 론
초음파 영상진단 장치는 CT(Computed Tomography)나 MRI(Magnetic Resonance Imaging)와 더불어 의료영상 진단도구로 널리 사용되고 있다. 초음파 영상진단 장치는 초음파의 발생 및 측정이 가능한 초음파 트랜스듀서와 영상을 표현하는 진단시스템으로 구성되며, 영상 품질의 향상을 위해 트랜스듀서와 진단시스템의 고성능화가 이루어지고 있다. 그 중 초음파 트랜스듀서는 현재 독립소자가 1차원으로 배열되어 단면 영상 획득이 가능한 1D 트랜스듀서가 널리 사용되고 있다. 그러나 1D 트랜스듀서는 폭(elevation) 방향으로 독립소자의 크기가 정해져 있어 초점 거리가 일정하기 때문에 영상을 획득할 수 있는 구간이 제한적이고, 폭 방향으로 다른 단면 영상을 획득하기 위해서는 트랜스듀서를 이동시켜야 하는 한계가 있다. 따라서 폭 방향으로 보다 많은 독립 영상을 획득하기 위해서 폭 방향으로 독립소자를 다시 배열하는 형태의 다차원 배열형 (multi-dimensional array) 트랜스듀서에 관한 연구가 많이 이루어지고 있다.[1-4]
폭 방향으로 독립소자가 배열된 형태의 초음파 트랜스듀서는 1.25D, 1.5D, 1.75D, 및 2D 트랜스듀서로 구분된다. 먼저 1.25D 트랜스듀서는 폭 방향으로 배열된 독립소자의 수가 적고 대칭적으로 구동되어 집속 구간을 개선한 형태이며, 1.5D 트랜스듀서는 폭 방향 독립소자의 수가 1.25D 트랜스듀서보다는 많지만 대칭적으로 구동되어 동적 집속(dynamic focusing)이 가능하다. 그리고 1.75D 트랜스듀서는 폭 방향 독립소자의 수는 1.5D 트랜스듀서와 같으나 각 독립소자들의 비대칭 개별 구동이 가능하여 동적 집속과 부분적 빔 스티어링이 가능하다. 나아가 2D 트랜스듀서는 길이(azimuth)와 폭 방향의 독립소자의 수가 비슷하며 모든 채널이 독립적으로 제어될 수 있어, 완전한 입체영상을 획득할 수 있다.[5]
이상과 같은 다차원 배열형 초음파 트랜스듀서는 일정한 면적 내에 다수의 독립소자가 모여 있기 때문에, 소자 간의 상호간섭이 크고 따라서 개별소자의 주파수 대역폭이 작고 방사패턴이 왜곡되는 등의 단점이 있다. 또한 개개 소자의 높은 입력 임피던스에 의해 신호처리를 위한 전자모듈과의 정합이 어렵고, 신호대 잡음비가 낮으며, 독립소자의 수가 많아 처리해야할 신호가 많아져 전자모듈의 크기가 커지는 문제도 가지고 있다. 이러한 단점들을 해결하기 위하여 여러 연구들이 진행되었는데, 대표적으로 부분구동 배열(sparse array)을 통해 신호처리 채널의 수를 줄이며 적절한 빔 패턴을 발생시킬 수 있는 방안에 대한 연구가 이루어진 바 있다.[6-9] 그러나 보다 좋은 영상정보를 제공하기 위해서는 배열된 독립소자 전체를 구동하는 편이 유리하다. 또한, 기술의 발달로 많은 채널의 신호를 처리할 수 있는 전자모듈이 개발되어 있기 때문에, 현재로서는 전자모듈에 맞추어 각 독립소자의 음향특성이 뛰어난 다차원 배열형 초음파 트랜스듀서가 개발될 필요성이 높아지고 있다.[10]
본 연구에서는 능동소자로는 압전단결정을 사용하며, 길이 방향으로 64개 채널, 폭 방향으로 8채널로 구성되며, 각 독립소자는 개별제어가 가능한 총 64×8 채널의 1.75D 초음파 트랜스듀서를 설계 및 제작하고자 하였다. 트랜스듀서의 중심주파수는 3.5 MHz, -6 dB 비대역폭(fractional bandwidth)은 70% 이상, -3 dB 수광각(acceptance angle)은 30° 이상의 성능을 가지도록 하였다. 기존의 다차원 배열형 초음파 트랜스듀서는 독립소자 간의 상호간섭(crosstalk)에 의해 음향특성이 좋지 않은 단점이 있는데, 본 연구에서는 독립소자들 사이에 위치하는 치폭(kerf)의 물성과 치수를 조절하여 상호간섭을 저감시켰다. 또한, 본 연구에서는 초음파를 송수신하는 능동재료로 PMN-PT 압전단결정을 사용하였고, 최적설계를 통해 트랜스듀서의 음향특성을 극대화하였다. 트랜스듀서 개발을 위해 우선 제작이 가능한 기본 구조를 선정하고 그에 맞는 구성소자를 제작하였다. 다음으로 상용 유한요소 해석도구인 PZFlex(Weidlinger Associates, NY)를 이용해 원하는 성능을 구현하기 위한 트랜스듀서의 세부 구조를 설계하였다. 설계 결과를 바탕으로 트랜스듀서 시작품을 제작하고 음향특성을 측정한 다음, 그 결과를 유한요소 해석 결과와 비교하여 개발된 트랜스듀서의 성능을 평가하였다.
II. 1.75D 초음파 트랜스듀서의 설계
본 연구에서 개발하고자 하는 트랜스듀서의 전체적인 구조를 Fig. 1에 나타내었다. 능동소자로는 압전단결정인 PMN-PT를 사용하였으며,[11] 수동소자로는 후면층(backer), 정합층(matching layer), 치폭(kerf) 및 음향렌즈(acoustic lens)를 사용하였다. 소동소자들의 물성은 Desilets공식을 이용하여 결정하였고, 설계 결과에 따라 제작된 각 음향층들의 물성을 Table 1 에 나타내었다.[12] Fig. 1에 보인 바와 같이 1.75D 초음파 트랜스듀서는 길이 및 폭 방향으로 소자들을 독립적으로 분리하여야 하나, 소자들이 평면으로 배열되어 있어서 이들의 전기적인 연결이 어렵다. 선행 연구들에 따르면 전기적 연결을 위하여 다층형 유연 인쇄회로 기판(FPCB: Flexible Printed Circuit Board)을 이용하는 방법과 전도성 후면층(conductive backer)을 이용하는 방법들이 가능하다.[13,14] 본 연구에서는 정밀가공이 가능하고 균일하게 제작이 용이한 다층형 유연 인쇄회로 기판을 사용하였다. FPCB는 하나의 폴리마이드(polyimide)막 위 아래로 구리 층이 각각 형성되어서 마치 두 개의 FPCB를 겹쳐놓은 것과 같은 구조를 가지며, Fig. 1에서 폭 방향으로 8행의 전극 및 길이 방향으로 64열의 전극을 가지는데, 폭 방향 양 쪽으로 각 4×48개 전극을 잇는 신호선이 바이어-홀(via-hole)을 통하여 연결되어 있다. 즉, Fig. 1과 같이 다층형 유연 인쇄회로 기판을 신호선으로 사용하고 GRS(GRound Sheet)를 압전체의 윗면과 아랫면에 연결한 구조로 선정하였다.
|
Fig. 1. Schematic structure of the 1.75D ultrasonic transducer. |
이러한 기본 구조에 대해 상용코드인 PZFlex를 이용하여 유한요소 해석을 수행하였다. 해석 모델은 계산시간을 줄이기 위하여 2개의 대칭면을 가지는 1/4모델로 정하였고, 후면층의 바닥면에 흡수경계조건을 적용하여 불필요한 반사를 방지하였다. Table 1과 같이 선정된 물성을 유한요소 모델에 적용하고 가운데 위치한 압전단결정만을 작동하는 조건으로 유한요소 해석을 진행하였다.
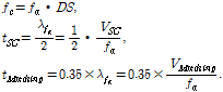
의료용 트랜스듀서는 초음파를 발생시켜 측정물체에서 반사되어 오는 파동을 감지하여 측정신호로 만들어내므로, 트랜스듀서의 중심주파수는 압전단결정의 공진 주파수와 반공진 주파수 사이에 있다. 중심주파수를 반공진 주파수로부터 보정계수를 통해 식(1)과 같이 구할 수 있는데, 이 때
는 압전단결정의 두께이고,
는 정합층의 두께,
는 압전단결정의 음속,
는 정합층의 음속,
는 반공진 주파수에서의 파장,
는 중심주파수,
는 반공진 주파수, 그리고 DS는 주파수 보정계수로서 0.56의 값을 가진다.[15]DS는 치폭, 후면층, 정합층, 음향렌즈 및 전기회로의 영향을 반영하기 위한 계수이며, 중심주파수는 반공진 주파수에 DS가 곱해진 형태로 정해진다. 구성소자의 기본 두께는 압전단결정의 반공진 주파수를 기준으로 식(1)과 같이 선정하였고, 소자 간격은 330 μm, 치폭의 너비는 40 μm를 기본 치수로 정하였다.
| (1) |
이러한 기본 규격을 바탕으로 소자간격, 치폭의 너비, 치폭의 물성을 조절하여 채널간 상호간섭을 저감하고, 나아가 주어진 중심주파수 사양을 만족하면서 최대 주파수 대역폭을 구현할 수 있는 압전단결정 및 정합층의 최적 두께를 결정하였다.
소자간 간섭도는 압전단결정의 크기 및 간격과 치폭 내의 재료에 영향을 많이 받는다. 그 외 상호간섭은 정합층, 후면층, 음향렌즈, GRS 및 신호선의 경로로 발생될 수 있으나 치폭을 통하는 것보다는 영향이 적다. 따라서 치폭의 너비와 물성은 기본모델과 동일하게 하고 유한요소 해석을 하였다. 또한 현재 소자간격이 330 μm로 되어 압전단결정의 종횡비가 1.25인데, 선행연구에 따르면 종횡비는 0.5~0.6의 값을 가지는 것이 좋다.[15] 압전단결정의 두께와 폭이 비슷하게 되면 모드 결합에 의해 정합층으로 전달되어야 할 에너지가 감소하고 폭 방향인 인근소자에 에너지가 전달되어, 소자간 상호간섭이 커지고 감도가 낮아진다. 따라서 본 연구에서는 기존 치폭에 더하여 2차 치폭을 추가로 설치하여 종횡비를 낮추어서 소자간 상호간섭이 감소하도록 하였다. 이 때 감도와 소자간 상호간섭도(crosstalk level)는 식(2)와 같이 정의하였다. 식(2)에서
는 수신시 배열구조 가운데에 위치한 소자에서의 최대 출력전압이고,
는 구동전압,
는 송신시 구동소자 바로 옆 소자의 출력전압이다.
| (2) |
2차 치폭의 최적 너비를 결정하기 위해서 치폭의 너비를 20~60 μm의 범위에서 10 μm 간격으로 변화시키며 그 영향을 해석하였고, 결과는 Fig. 2와 같다. 치폭의 너비가 40 μm일 때 소자간 상호간섭이 최소가 되어 수광각이 최대가 되므로 치폭의 너비는 40 μm로 선정하였다.
또한 치폭 재료의 물성의 영향을 음향 임피던스 1~2 Mrayl의 범위에서 0.25 Mrayl 간격으로 변화시키며 해석하였고, 결과는 Fig. 3에 나타내었다. 치폭 재료의 음향 임피던스가 1.25 Mrayl일 때 상호간섭이 가장 작고 수광각이 가장 큰 값을 가지므로, 최적 음향 임피던스를 1.25 Mrayl로 설정하였다.
선정된 기본치수와 기본물성을 적용한 유한요소 모델을 이용하여 주파수 대역폭 개선을 위한 압전단결정 및 정합층의 두께를 정하였다. 압전단결정과 정합층의 두께 변화는 중심주파수와 대역폭에는 큰 영향을 미치지만 빔 패턴에는 영향이 미미하기 때문에, 중심주파수와 대역폭을 기준으로 압전단결정 및 정합층의 두께를 선정하였다. 먼저 정합층의 두께를 고정하고 압전단결정의 두께를 245~285 μm의 범위에서 10 μm 간격으로 변화시켜 펄스 반사신호에서 중심주파수를 맞추었다. Fig. 4와 같이 압전단결정의 두께가 두꺼워질수록 중심주파수가 감소하였으며, 압전단결정의 두께가 275 μm일 때 대역폭은 66.1%로 가장 높았다. 따라서 압전단결정의 두께는 275 μm로 결정하였다.
압전단결정 두께를 275 μm로 고정하고 정합층의 두께를 조절하여 대역폭을 향상시켰다. 정합층의 두께 변화에 따른 중심주파수와 대역폭의 변화경향을 확인한 후, 반응표면계획법에 따라 정합층 변화에 따른 중심주파수와 대역폭의 결과를 회귀분석으로 함수화하고, 유전 알고리즘(genetic algorithm)에 의한 최적화를 통해 대역폭을 최대화하였다.[16]
첫 번째 정합층의 두께를 100~240 μm 범위에서 35 μm 간격으로 변화시키며 트랜스듀서 특성을 해석한 결과, Fig. 5와 같이 두께가 두꺼워질수록 대역폭이 크게 향상이 되었다. 두 번째 정합층의 경우 두께를 89~129 μm 범위에서 10 μm 간격으로 변화시킨 결과도 Fig. 6과 같이 두께가 두꺼워질수록 대역폭이 향상되는 것으로 나타났다.
변수 간의 상호효과를 고려하기 위해 각 정합층의 두께를 8가지 조건으로 해석하여 다중 회귀분석법을 통해 식(3)과 같이 2차 회귀모형으로 함수화하였는데, 분석에는 상용 통계 프로그램 SAS를 이용하였다. 식(3)에서 y는 중심주파수와 대역폭의 성능함수이며, a1, a2, b1, b2, c, d는 회귀 계수, x1은 첫 번째 정합층의 두께, x2는 두 번째 정합층의 두께이다.
|
(a) |
|
(b) |
Fig. 7. Pulse-echo response of the optimized model: (a) wave form in time domain, (b)frequency spectrum. |
| (3) |
함수화된 회귀식을 바탕으로 대역폭을 최대화하기 위한 두 정합층의 두께의 최적값을 도출하였는데, 최적화에 사용된 목적함수는 식(4)와 같이 대역폭을 최대화하되 제한조건으로 중심주파수가 3.5 MHz기준으로 ±7.5% 이내에 들도록 하였다. 도출된 정합층의 최적 두께는 첫 번째 정합층의 경우 240 μm이고, 두 번째 정합층은 108 μm이다.
목적함수 : Maximize 대역폭 제한조건 : 중심주파수 ≤ 3.5 MHz ± 7.5% | (4) |
도출된 정합층의 최적 두께를 적용하여 유한요소 해석을 진행한 결과, 중심주파수는 3.7 MHz이고, 대역폭은 80.2%로 나타났다. 또한 상호간섭도가 –30.6 dB로 저감되고, 감도가 -62.6 dB 그리고 수광각이 40.9°로 향상되었다. 최적모델의 펄스 반사신호와 폭 방향 빔 패턴은 Fig. 7, 8과 같다. 이상의 모든 최적화 결과들을 Table 2에 정리하여 나타내었다.
III. 트랜스듀서의 제작 및 성능 평가
II장에서 설계된 것과 동일한 구조를 가지는 1.75D 초음파 트랜스듀서 시편을 제작하였다. 트랜스듀서의 제작공정은 소자제작 및 접착, 정밀 절삭, 치폭 충진 및 음향렌즈 주조 공정으로 구분된다. 먼저 소자 제작 및 접착 공정은 능동소자, 수동소자, 및 전기연결 소자를 Table 1과 같은 물성을 가지도록 제작한 다음 접착하는 공정이며, 각 채널들이 균일한 특성을 나타낼 수 있도록 취구를 이용해 구성소자들 간에 얇고 균일한 접착층(Dow Corning, Low Viscous Epoxy)이 형성되도록 하였다. 능동소자로는 (주)아이블포토닉스에서 성장한 압전단결정 PMN-PT를 사용하였다. 후면층과 정합층은 Epoxy (3M, DP460)와 텅스텐 파우더(Buffalo Tungsten Inc., NY)를 혼합하여서 Table 1의 물성을 가지도록 제작하였고, 음향렌즈로는 Dow Corning사의 실리콘 고무(Silicone Rubber)를 사용하였다. 정밀절삭 공정은 압전단결정과 정합층을 절삭하여 채널을 분리하는 것이며, 절삭 깊이와 절삭 너비를 제어하는 것이 중요하다. 치폭 충진 공정은 정밀절삭 공정을 통해 분리된 소자 간에 고분자재료를 충진하고 경화하는 공정을 의미하며, 치폭에 기포와 충진이 되지 않는 부분이 없도록 하였다. 음향렌즈 주조 공정은 정합층 윗면에 음향렌즈 재료를 주조하여 형성시키는 공정으로 기포가 없이 균일한 두께로 제작이 되도록 하였다. Fig. 9는 제작된 1.75D 초음파 트랜스듀서로서 음향렌즈, 보호용 덮개(nosepiece), 다층형 유연 인쇄회로 기판으로 구성되며, 보호용 덮개 내부에는 정합층, 압전단결정 및 후면층이 있다. 음향렌즈는 기포가 없이 균일한 두께로 제작되었으며 다층형 유연 인쇄회로 기판의 끝면에 총 512개 채널의 전극면이 형성되어 측정장치와 결합된다.
|
Fig. 9. Photograph of the fabricated 1.75D ultrasonic transducer. |
총 512개의 채널로 구성된 1.75D 초음파 트랜스듀서는 폭 방향으로 채널이 분리되어 독립적으로 작동하여 동적 집속과 부분적인 빔 스티어링을 할 수 있다. 트랜스듀서의 모든 채널이 균일 음향특성을 가지는 것을 확인하여야 하므로, 총 512개 채널의 펄스 반사신호를 MUX(multiplexer)를 사용하여 측정하였다. Fig. 10과 같이 트랜스듀서를 MUX(National instruments PXI-2575)에 연결한 후 수조에서 반사판과 음향렌즈의 면이 평행하도록 위치시키고, MUX를 pulser- receiver(Olympus 5800)와 오실로스코프(Agilent DSO 6012A)에 연결하여 펄스 반사신호를 측정하였다.
|
Fig. 10. Equipment setup for the pulse-echo measurement. |
펄스 반사신호의 측정결과 중 채널별 감도분포는 Fig. 11과 같고, 평균 감도는 -88.2 dB, 표준편차는 1.0 dB로 측정되었다. 이 때 채널별 감도는 식(2)와 같으며 평균 감도는 전체 채널별 감도의 평균값이다. 통상 제품화된 배열구조 트랜스듀서의 감도 균일도의 양호도를 판단하는 기준이 표준편차가 1.0 dB를 넘는 여부라는 점에서, 본 연구에서 제작된 1.75D 트랜스듀서는 총 512개의 채널이 비교적 균일한 감도를 가진다고 할 수 있다. 여기서 Fig. 11의 감도분포에서 트랜스듀서 중앙에 위치한 채널의 감도가 모서리 부분 채널의 감도보다 전반적으로 높은 것을 확인할 수 있는데, 이것은 트랜스듀서의 경계조건에 의한 영향으로 파악되었다. 즉, 트랜스듀서의 보호용 덮개에 인접한 채널들의 소자가 덮개의 구속력에 의해 작동에 영향을 받아 수신감도가 상대적으로 낮게 나타났다.
|
Fig. 11. Sensitivity distribution over the transducer channels. |
|
(a) |
|
(b) |
Fig. 12. Comparison between measured and calculated pulse-echo responses: (a) wave form in time domain, (b) frequency spectrum. |
펄스 반사신호의 파형과 주파수 스팩트럼은 Fig. 12에 나타내었다. 이 때 중심주파수는 3.64 MHz이고 대역폭은 81.8%로 목표사양을 만족시켰으며, 유한요소 해석 결과와 일치하므로 초음파 트랜스듀서의 제작이 잘 이루어진 것을 확인할 수 있다.
1.75D 초음파 트랜스듀서는 Fig. 1에서 폭(elevation) 방향으로 배열된 독립소자를 제어하여 동적 집속과 부분적 빔 스티어링을 수행하여야 한다. 따라서 폭 방향의 독립소자를 조합하여 구동하였을 때 빔 패턴의 조절여부를 확인하여야 하므로, 트랜스듀서의 폭 방향 빔 패턴을 측정하였다. 측정된 결과는 Fig. 13(a)와 같으며 수광각이 37.7°로 측정되었다. 또한 빔 패턴 조절여부를 확인하기 위하여 폭 방향으로 4개의 채널에 임펄스 신호를 동시에 인가하여 초음파를 발생시켰을 때의 빔 패턴을 측정하였으며, 측정결과는 Fig. 13(b)에 나타나있다. 동시에 구동되는 독립소자의 수가 많아질수록 방향성을 가지는 것으로 확인되었으며, 유한요소 해석을 통해 얻은 빔 패턴과 수광각이 잘 일치하므로, 트랜스듀서의 제작은 정확하게 이루어진 것으로 확인할 수 있다. 단, 유한요소 해석시 방사 매질인 물의 감쇄가 고려되지 않아 측정결과와 달리 null이 분명하게 보이며, 실험에서는 트랜스듀서를 회전하여 측정하므로 회전각도가 커질수록 수면의 영향을 받아 측정오차가 발생하는 것을 고려하여야 한다.
|
(a) |
|
(b) |
Fig. 13. Comparison between the measured and calculated beam patterns: (a) 1 channel operation, (b) 4 channel operation. |
IV. 결 론
본 논문에서는 압전단결정을 이용하여 길이 방향으로 배열된 64채널이고 폭 방향으로 8채널인 1.75D 초음파 트랜스듀서를 설계하였다. 설계된 구조를 따라 트랜스듀서 시편을 제작하고, 그 성능을 실험적으로 측정한 후, 그 결과를 유한요소 해석 결과와 비교함으로써 개발된 트랜스듀서의 성능을 평가하였다. 먼저 펄스 반사신호에서 총 512개 채널의 감도가 평균 -88.2 dB이고 표준편차가 1.0 dB로 균일하였으며, 파형과 주파수 스팩트럼이 유한요소 해석 결과와 일치하는 것으로 확인되었고, 중심주파수와 대역폭이 각각 3.64 MHz 및 81.8%로 목표사양을 만족시켰다. 그리고 빔 패턴의 경우 1개의 독립소자를 구동하여 수광각이 37.7°인 결과를 얻었으며, 폭 방향으로 4개의 채널을 동시에 구동하여 빔 패턴의 조절여부를 확인하였다. 그 결과 해석 결과와 측정 결과가 잘 일치하는 것을 확인하였다.
제작된 1.75D 트랜스듀서는 보다 양질의 초음파 영상 획득을 위해 사용이 가능하며, 본 제작 기술은 차후 본격적인 입체 영상을 위한 2D 초음파 트랜스듀서의 개발에 직접 응용될 수 있을 것으로 기대된다.





















