I. 서 론
최근 신호의 음압만을 측정할 수 있는 기존 음향 센서의 한계를 극복하기 위해, 음압과 음원의 방향을 동시에 측정할 수 있는 다양한 종류의 벡터 하이드로폰(vector hydrophone)에 관한 연구들이 진행되었다.[1-8] 벡터 하이드로폰은 작동 방식에 따라 다양한 형태로 구현이 가능한데, 그 중 다중모드(multimode) 벡터 하이드로폰은 음압 센서만을 이용하여 구현이 가능한 이점이 있어 최근 이에 관한 여러 연구가 진행되었다.[1-3] 다중모드 벡터 하이드로폰은 벡터를 직접 측정할 수 없으므로 무지향성 모드(omni-directional mode)와 쌍극자 모드(dipole mode)를 조합하여 심장형(cardioid) 빔 패턴을 형성해야 하는데, 이를 위해 조향 벡터(steering vector)나 센서간의 시간 지연을 이용하는 방법들이 널리 사용되어져 왔다.[5-10] 조향 벡터를 이용하는 경우 주파수별 최적 가중치를 구할 필요가 있으며,[11] 시간 지연을 이용할 경우 시스템의 시간 해상도에 따라 각 해상도가 좌우되는데 최근에 개발된 다중모드 벡터 하이드로폰과 같이 단일 센서를 분할해 센서간의 간격이 매우 짧은 경우에는 심장형 빔 형성을 위해 높은 시간 해상도가 요구되는 난점이 발생한다.
이러한 문제를 해결하기 위해 본 논문에서는 압력 구배와 가속도간의 관계를 이용하여,[12] 다중모드 벡터 하이드로폰의 각 전극에서 측정되는 음압으로부터 가속도 벡터를 직접 산출함으로써 가속도계형 벡터 하이드로폰과 같이 벡터 변환만으로 음원의 방향 추정을 가능하게 하였다. 제안된 방법의 검증과 성능 분석을 위해 링형 다중모드 벡터 하이드로폰 모델을 이용하여 시뮬레이션을 수행하였으며, 제작된 링형 다중모드 벡터 하이드로폰을 이용한 수조시험을 통해 제안된 방법이 유효함을 입증하였다.
II. 압력 구배-가속도 관계를 이용한 가속도 벡터 및 도래각 추정 방법
음향 매질에서 평면파가 전파되는 상황을 가정하면 위치 (x, y, z)와 시간 t에서의 음압 P와 입자 속도의 크기
는 다음과 같은 관계를 가진다.[12]
, (1)
여기서 ρ와 c는 각각 음향 매질의 밀도와 매질에서의 음속을 의미한다. Fig. 1에 도시된 바와 같이 링형 다중모드 벡터하이드로폰은 4개의 노드로 구성되는데, 각 노드는 압력만 측정할 수 있는 무지향성 센서이므로 단일 노드에서는 입자의 속도를 측정할 수 없다. 하지만 이격된 두 노드의 음압 차, 즉 압력 구배는 측정할 수 있으므로 이를 구하기 위해 Eq.(1)을 x에 대해 편미분하면 다음과 같으며
. (2)
Eq.(2)의 우측 항은 다음과 같이 정리할 수 있다.
. (3)
Eq.(3)을 Eq.(2)에 대입하고, 다른 방향에 대해서도 동일하게 고려하면 다음과 같은 결과를 얻을 수 있다.
. (4)
Eq.(4)는 압력 구배를 통해 가속도 벡터 a를 구할 수 있음을 의미하며, 속도는 가속도를 적분하여 얻을 수 있으므로 다중모드 벡터하이드로폰에서 속도의 측정이 가능함을 알 수 있다.
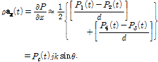
압력 구배를 구하기 위해 Fig. 1(b)의 P1과 P2에서 측정되는 신호를 두 노드의 중심 P12에서 측정되는 신호에 대한 위상 차로 표현하면 다음과 같으며
(5)
여기서 k는 파수를, d는 노드간 거리를, θ는 y축에 대해 시계 방향으로 측정된 음원의 회전각을 의미한다. Eq.(5)을 이용하면 P1 노드와P2 노드 간의 음압 차는 다음과 같다.
. (6)
kd가 매우 작은 경우 Eq.(6)에 작은 각 근사(small-angle approximation)를 적용할 수 있으며, 이를 적용해 P1과 P2의 압력 구배를 구하면 다음과 같다.
. (7)
같은 절차를 통해 P3 노드와P4 노드 간의 압력 구배를 구할 수 있으며, 신호 대 잡음 비(signal-to-noise ratio, SNR)를 향상시키기 위해 두 압력 구배간의 평균을 사용하면, 센서 중심 Pc에서의 x축에 대한 가속도 벡터는 다음과 같이 표현할 수 있다.
(8)
y축에 대한 가속도 벡터는 x축에 대한 가속도와 동일한 방법을 통해 다음과 같이 구할 수 있으며
(9)
가 된다. Eqs.(8)과 (9)로부터 각 축의 가속도 벡터의 지향성 패턴을 그려보면, Fig. 2와 같이 축 방향을 따라 쌍극자 빔 패턴을 형성함을 알 수 있다.
심장형 빔은 쌍극자 모드에 무지향성 모드를 더해 형성할 수 있으며,[4] 쌍극자 모드가 가속도 벡터인 경우 이에 대응하는 무지향성 모드를 찾아야 한다. Eq.(1)에서 위치가 센서의 중심 Pc라면, 양변을 시간에 대해 미분하면 다음과 같다.
. (10)
Eq.(10)으로부터 가속도 벡터에 대응하는 무지향성 모드는 센서의 중심에서 측정되는 음압의 시간 미분이라는 점과, 심장형 빔 형성을 위해서는 두 모드간의 물리량을 맞추기 위한 계수 ρ c가 필요함을 알 수 있다. 센서의 중심에서 측정되는 음압 Pc(t)는 다음과 같이 모든 노드의 합으로 근사적으로 표현할 수 있다.
. (11)
이를 이용하여 가속도 벡터에 대한 심장형 빔 형성식을 정리하면 다음과 같다.
(12)
Eq.(12)에서
와
는 음원의 방향을 찾기 위한 벡터 변환을 의미하며,
는 벡터 변환의 회전각이다. Eq.(12)를 살펴보면
는
일 때 최대값을,
일 때 최소값을 가지므로, 심장형 빔 패턴이 됨을 알 수 있다.
가속도계를 사용하는 벡터 하이드로폰의 경우 가속도와 음압을 별도의 센서에서 측정하므로 주파수별로 센서간의 감도 차를 보상하기 위한 계수가 필요하나, 링형 다중모드 벡터 하이드로폰은 단일 센서 내에서 가속도 벡터와 음압을 동시에 측정하므로 Eq.(12)에서 보는 바와 같이 음속만 알면 각 노드에서 측정되는 음압만으로 주파수에 관계없이 심장형 빔을 형성할 수 있는 이점이 있다.
가속도 벡터를 이용하여 심장형 빔을 형성하는 경우 미분 연산에 의해 잡음의 고주파 성분이 강조되므로, 이를 완화시키기 위해 다음과 같이 가속도 벡터를 적분하여 속도 벡터를 구하면 다음과 같다.[4]
(13)
Eq.(13)을 살펴보면 Eq.(12)와 같이
일 때 최대값을,
에서 최소값을 가지므로, 심장형 빔 패턴을 가짐을 알 수 있다.
잡음 수준이 낮은 경우에는 가속도 벡터나 속도 벡터를 통해 구한 빔 형성 결과에 큰 차이가 없으나, 속도 벡터를 구하기 위해서는 적분 연산이 추가로 필요하므로 상황에 따라 가속도 또는 속도 벡터를 선택적으로 사용하는 것이 유리하다.
심장형 빔을 이용한 음원의 방향 추정은 다음과 같이 모든
에 대해 시간에 대한
또는
의 평균 파워를 구한 후, 최대 크기를 갖는
를 찾음으로써 가능하다.
|
|
(a) | (b) |
Fig. 3. Directivity pattern of cardioid beam. | |
| |
(a) geometrical view | |
|
|
(b) velocity vector case | (c) acceleration vector case |
Fig. 4. Cardioid beam pattern for dual sources. | |
여기서 argmax는 주어진 함수가 최대값을 갖는
를 찾는 연산자이며, E[ ‧ ]는 기댓값을 의미한다. 제안된 방법을 확인하기 위해 Eq.(12)를 이용해 지향성 빔 패턴을 확인한 결과는 Fig. 3에 도시되어 있다. Fig. 3에서 보듯이 빔 패턴이 음원의 방향
에서 최대값을 가지고 반대 방향(
°)에서 최소값을 가지므로, 제안된 방법을 이용해 도래각(Direction-of- Arrival, DoA) 추정이 가능함을 알 수 있다.
음원이 하나만 존재하는 경우 제안된 방법을 사용하여 시간에 따른 음원의 방향을 추정할 수 있으나, Fig. 4와 같이 복수의 음원이 존재하는 경우 심장형 빔의 출력은 두 벡터의 합으로 표현되므로 심장형 빔 출력만으로는 방향을 추정하기 어렵다. 만약 두 음원의 주파수가 다르다면 주파수 별로 도래각을 분석함으로써 다중 음원에 대한 모호성을 배제할 수 있으며, 이는 다음과 같이 Eq.(12)를 푸리에 변환(Fourier transform)함으로써 가능하다.
. (15)
|
(a) velocity vector case |
|
(b) acceleration vector case |
Fig. 5. Frequency-azimuth domain analysis for dual sources. |
Fig. 5는 두 개의 음원이 존재하는 경우에 대해 Eq.(15)를 이용하여 주파수-방위영역에서 분석을 수행한 결과를 도시한 것으로, 그림에서 우측의 컬러 바는 최대값에 대해 정규화된 심장형 빔 출력의 크기를 나타낸다. 그림에서 보는 바와 같이 4 kHz인 경우 90°에서 6 kHz인 경우 270°에서
의 크기가 최대가 되므로 음원의 방향이 정확하게 추정됨을 알 수 있다.
III. 시뮬레이션을 통한 도래각 추정 성능 분석
|
(a) velocity vector case |
|
(b) acceleration vector case |
Fig. 6. Frequency dependency analysis. |
|
Fig. 7. RMS value of ( |
실제 센서가 운용되는 환경에서는 순수한 신호만이 존재하지 않으므로, 다양한 잡음이 신호와 혼재되어 측정된다. 이러한 환경 하에서 제안된 가속도 및 속도 벡터 추정 방법을 이용한 링형 다중모드 벡터 하이드로폰의 도래각 추정 방법이 어떠한 영향을 받는지 살펴보기 위해 시뮬레이션을 수행하였으며. 시뮬레이션 시 잡음은 가산성 백색 가우시안 잡음(additive white Gaussian noise)으로 가정하였다.[13] 우선 입력 주파수 변화가 도래각 추정에 미치는 영향을 분석하기 위해 음원의 주파수를 10 Hz부터 10 kHz까지 변경하면서 각 주파수에 대해 10회 반복 시뮬레이션을 수행하였다. 각 주파수에 대해 SNR은 20 dB로 고정하였으며, Fig. 6은 음원이 θ = 180°에 위치한 경우에 대한 도래각 추정 결과를 도시하고 있다. 그림에서 점은 추정 방위의 평균값을, 에러 바는 방위 추정 오차의 표준 편차를 의미하며, 우측의 컬러 바는 각 주파수 또는 SNR별로 최대값에 대해 정규화된 심장형 빔 출력의 크기를 나타낸다. 그림에서 보는 바와 같이 속도 벡터와 가속도 벡터를 사용하는 경우 모두 저주파영역에서는 도래각 추정 시 오차가 발생하고 추정오차의 편차도 큰 것을 확인할 수 있으며, 주파수가 높아질수록 추정 정확도가 증가함을 볼 수 있다. 저주파 영역에서 도래각 추정성능이 낮은 것은 Fig. 7에 도시된 바와 같이 주파수가 낮을수록 노드 간의 압력 차가 감소해 잡음에 민감해지기 때문이다. Fig. 6에서 속도 벡터와 가속도 벡터를 사용하는 경우의 결과를 비교해 보면 속도 벡터를 사용하는 경우의 성능이 상대적으로 나은 것을 볼 수 있는데, 이는 가속도 벡터를 적분해 속도 벡터를 구하는 과정에서 백색 가우시안 잡음이 브라운 잡음(Brownian noise)로 변하면서 동일한 주파수에 대한 잡음의 영향이 감소하기 때문이다.
다음으로 SNR이 도래각 추정에 미치는 영향을 분석하기 위해 음원의 주파수가 1 kHz인 경우에 대해, SNR을 -10 dB부터 30 dB까지 변화시켜가면서 시뮬레이션을 수행하였다. Fig. 8은 SNR별로 10회 반복수행한 후 결과를 평균한 것으로, 그림에서 보는 바와 같이 속도 벡터는 약 5 dB, 가속도 벡터는 약 10 dB 정도까지는 안정적으로 θ = 180°에 위치한 음원의 위치를 추정함을 볼 수 있다. 속도 벡터를 사용하는 경우가 가속도 벡터를 사용하는 경우에 비해 성능이 상대적으로 우수한 것은 앞서 설명한 바와 같이 적분으로 인한 잡음 특성 변화에 기인한 것이며, 백색 가우시안 잡음 환경 하에서는 속도 벡터를 이용하여 도래각 추정을 수행하는 것이 유리함을 알 수 있다.
IV. 수조시험 및 결과 고찰
|
(a) the snapshot of test #1 |
|
(b) sensor configuration of the test #1 |
|
(c) sensor configuration of the test #2 |
Fig. 9. An outline of water tank tests. |
제안된 음원의 도래각 추정 방법이 실제 링형 다중모드 벡터 하이드로폰에 적용가능한지의 여부를 검증하기 위해, 단일 주파수에 대한 도래각 추정 성능 검증시험(Test #1)과 다중 주파수에 대한 도래각 추정 성능 검증시험(Test #2)을 실시하였다. Test #1의 시험 전경 및 센서 배치는 Fig. 9(a)와 (b)에 도시되어 있으며, 시험 시 도래각 추정 성능 분석을 위해 음향 송신기는 고정시킨 상태로 벡터 하이드로폰을 회전봉에 연결하여 2°단위로 360°회전시켰다. 시험에 사용한 음원의 송신주파수는 6 kHz였으며, 시험을 통해 획득된 신호는 신호 품질 향상을 위한 전처리 수행 후 도래각 추정을 수행하였다. Fig. 10은 회전봉의 회전각(θR)이 0°인 경우에 대해, 주파수-방위영역에서 분석을 수행한 결과이다. 여기서 방위(azimuth or bearing)는 추정된 음원의 도래각을 의미하며, 그림에서 보는 바와 같이 속도/가속도 벡터에 관계없이 송신 주파수 6 kHz, 추정 방위각 0°에서 최대값을 가지므로 음원의 방향을 정확하게 추정됨을 볼 수 있다. Fig. 11은 회전각(센서에서 바라보는 신호의 입사각)에 대하여 전처리를 통해 잡음 성분을 제거한 후 도래각 추정을 수행한 결과를 도시한 것이다. 도래각 추정결과의 정확도는 입사각과의 일치여부를 통해 판단할 수 있으며, Fig. 11에서 보는 바와 같이 속도/가속도 벡터에 관계없이 추정된 도래각이 점선으로 표시된 실제 입사각을 대체적으로 추종함을 볼 수 있다. 그러나 입사각 120°이상부터 입사각과 추정된 도래각의 편차가 증가함을 보이는데, 이는 시험 시 발생한 측정오차에 의한 것으로 추정된다.
Test #2는 다중 주파수에 대한 도래각 추정 성능을 검증하기 위한 것으로, Fig. 9(c)에 도시된 바와 같이 정 반대의 위치에 두 개의 음원을 위치시킨 상태로 도래각 추정이 가능한지 여부를 확인하였다. Test #2는 Test #1과 달리 4 kHz (θ = 180°)와 6 kHz (θ = 0°) 음원을 연속으로 송신하였으며, 회전봉을 약 6.5°/s로 연속 회전시키면서 시험을 수행하였다. Fig. 12는 획득된 데이터를 이용하여 속도 벡터를 이용해 도래각 추정을 수행한 결과를 도시한 것으로, Fig. 12(a)에서 보는 바와 같이 다중 주파수를 수신하는 경우에도 도래각의 추정이 가능함을 확인할 수 있다. Fig. 12(b)와 (c)는 시간에 따른 방위 추정 결과를 도시한 것으로 주파수별 방위 추정 결과가 시간에 대해 180°차이를 보이므로 제안된 방법이 링형 다중모드 벡터 하이드로폰에 적용 가능함을 알 수 있다.
V. 결 론
링형 다중모드 벡터 하이드로폰에서 도래각 추정을 위해, 본 논문에서는 개별 노드에서 측정되는 압력 신호를 이용하여 속도 벡터 및 가속도 벡터 성분을 추정하는 방법을 유도하였다. 유도된 식을 이용해 심장형 빔을 형성함으로써 도래각 추정이 가능함을 보였으며, 제안된 방법은 시뮬레이션 및 수조 시험을 통해 링형 다중모드 벡터 하이드로폰에 도래각 추정이 적용 가능함을 보였다. 본 논문에서 제안된 방법은 다중 주파수 환경에서도 동작이 가능하며 적은 연산량으로도 도래각 추정이 가능하므로, 단일 선배열과 같이 좌/우 분리가 요구되는 시스템이나 실시간 지향성 빔 형성이 필요한 여러 응용분야에 활용될 수 있을 것으로 기대된다.







-axis component
-axis component


= 150°
= 300°







-
) by the frequency.











