I. 서 론
II. 연구 방법
2.1 탄도형 충격파 발생 방식
2.2 충격파 파형 및 음향 출력 변수
2.3 장비 설정에 따른 음향 출력
2.4 탄도형 ESWT 치료기의 음향 출력 조사
III. 결 과
3.1 설정 변수
3.2 충격파 음향 출력
3.3 설정에 따른 음향 출력의 변화
IV. 토 의
V. 결 론
I. 서 론
체외 충격파 치료(Extracorporeal Shock Wave Therapy, ESWT)는 통증을 유발하는 병변 부위에 체외에서 발생된 충격파를 조사하여 통증 감소 및 치료 효과를 얻는다.[1] ESWT는 다수의 선행 연구를 통해 확인된, 충격파 자극이 통증의 역치를 높여주고 염증을 완화하고 상처를 치유하는 임상적인 효과에 근거한다.[2,3,4] FDA가 2000년 최초로 족저 근막염에 ESWT의 임상 사용을 허가한 후, ESWT는 보존적 치료가 어려운 근골격계 난치성 통증 치료, 즉, 건염,[5] 불유합,[6] 족저근막염,[7] 근손상,[8] 창상[9] 등의 다양한 질환 치료에 처방되고 있다.[10,11,12,13] 최근에는 발기 부전,[14,15] foot ulcer,[16]및 만성 골반 통증 증후군[17,18] 등으로 적응증이 확대되고 있다.
ESWT은 체외충격파쇄석술(Extracorporeal Shock Wave Lithotripsy, ESWL)에서 진화한 기술이다. ESWL은 1980년대에 임상에 도입된 혁신적인 비 침습 결석 치료술로, 체외에서 발생된 충격파를 체내의 결석에 집속하여 결석을 분쇄하여 치료 효과를 얻는다.[10,19,20,21] 초기의 집속형 ESWT는 ESWL에서 사용되는 동일한 방식으로 충격파를 발생한다. 집속형 ESWT의 충격파 발생 장치는 3가지 방식, 즉, (1) 전기수력학 방식,[22] (2) 전자기 방식,[23] (3) 압전기 방식[24]으로 구분되며, 상대적으로 제어가 쉬운 압전기 방식이 많이 사용된다. 그러나 1990년대 말 이후부터 넓은 범위 충격파를 조사하는 방사형(radial) ESWT가 출현하기 시작했다.
방사형 ESWT는 주로 탄도형 방식(ballistic type)으로 충격파를 발생한다. 고압으로 압축된 공기의 힘으로 발사된 탄도가 충격파 변환기(Shock Wave Transmitter, SWT) 후면에 충돌하여 발생된 SWT 표면의 진동이 인접한 인체 조직 내부로 압력파(충격파) 형태로 방사된다. 집속형 충격파와 비교하여, 방사형 충격파의 최대 압력(~10 MPa)은 낮고 충격파의 지속 시간(0.2 ms ~ 5 ms)은 매우 길며 주파수 특성도 다르다.[25,26] 이러한 차이에도 불구하고 일부 적응증에서 탄도형 충격파를 사용한 치료 결과는 집속형 충격파와 유사하며, 임상적으로 종종 집속형과 탄도형을 혼용하여 사용하기도 한다.[27] 탄도형 충격파 발생 장치는 구조적으로 간단하고 제작비용이 저렴하여 최근 탄도형 ESWT 치료기의 임상적인 보급이 크게 늘고 있다.
충격파 치료 효과는 적절한 파워를 가지는 충격파를 통증 및 질환을 유발하는 병변 부위에 조사하여 얻는다. 충격파의 음향 파워가 임계값 이하이면 치료 효과가 없으며, 충격파 초점이 병변에서 벗어나 주변 조직이나 혈관에 조사되면, 조직의 손상이나 출혈을 유발할 수 있다. ESWT는 치료 효과가 입증된 다양한 임상적인 적응증을 가지고 있으나, 아직 ESWT의 물리적인 기전이 명확하지 않으며, 최적화된 충격파 피폭량을 설정하지 못하고 있다. 그럼에도 불구하고 ESWT의 치료 효과는 조사된 충격파의 세기에 좌우되기 때문에, ESWT 치료기의 성능 및 안전성은 주로 발생된 충격파 음향 출력으로 평가한다.
식품의약품안전처(Minster of Food and Drug Safety, MFDS 이하, ‘식약처’)는 ESWT 장비의 임상 사용 허가에 필요한 기술 문서 작성을 위한 가이드라인 Guide-0580-01(2015)을 제공하고 있다.[28] ESWT 치료기의 안정성은 IEC60601-2-36(2014)에 의거하며, 치료기의 음향 출력 측정은 IEC61846(1998)을 따른다.[29,30,31,32] IEC61846은 ESWL에서 사용되는 집속형 충격파 측정을 위한 국제 표준으로, 방사형 또는 탄도형 충격파 측정에는 적합하지 않다. 2020년에 제정된 IEC63045는 방사형 ESWT 출력 측정에 대한 기술적인 내용[33]을 포함하나, 펄스 길이가 긴(~ 1 ms) 탄도형 충격파 측정 표준으로 활용하기 어렵다.
인허가 과정에서 ESWT 장비의 음향 출력에 대한 식약처 심사는 제조사에서 제공하는 기술 문서(시험 성적서)에 의존하고 있다. 탄도형 충격파 시험 방법과 기준은 식약처 가이드라인에서 명확히 규정되어 있지 못하며, 기술 문서에 포함될 시험 항목 및 통과 기준은 제조사가 정하고 있다. 국내 집속형 ESWT 치료기의 음향 출력을 조사한 선행 연구에서, 허가된 일부 치료기의 기술 문서에 기록된 충격파 음향 출력의 신뢰성이 결여되어 있는 것으로 나타났다.[26] 탄도형 충격파를 측정하는 공인된 시험 검사 기관이 없는 상태에서, 탄도형 충격파 치료기의 음향 출력 조사 및 신뢰성 평가는 치료기의 효과 및 안전성을 보증하기 위해 필요하다.
본 연구에서는 국내에서 임상 사용이 허가된 탄도형 ESWT 치료기의 음향학적인 출력을 조사하고 신뢰성을 검증하고자 한다. 식약처에 등록된 기술 문서로부터 수집된 탄도형 ESWT 치료기의 음향 출력 자료를 충격파 발생 방식 및 SWT 별로 분류하고 비교 분석했다. 조사된 충격파의 음향 출력의 분포를 탄도형 ESWT 치료기의 치료 효과 및 안전성과 연관 지어 토의하고, 치료기의 성능 유지를 위한 규제 기관의 역할 및 사후 관리의 필요성을 제안하고자 한다.
II. 연구 방법
탄도형 ESWT 치료기는 본체 및 핸드피스로 구성되고, 핸드피스 끝단에 피부와 접하는 SWT가 부착되는 구조를 가진다. Fig. 1은 상용 탄도형 ESWT 치료기의 외관 사진을 예시한다. SWT의 전면부는 일반적으로 원형이며, 표면은 평면형 또는 곡면형의 모양을 가진다. 발사된 탄도와 충돌하여 발생한 SWT 전면부 표면의 진동은 충격파 형태로 조직 내의 치료 부위로 전파한다.
본 장에서는 탄도형 충격파 발생의 원리 및 방식을 약술하고, 전형적인 탄도형 충격파 파형을 예시한다. 충격파 파형으로부터 음향 출력과 관련된 측정 변수를 정의하고, 식약처에 등록된 기술 문서를 통해 국내에서 임상 사용이 허가된 탄도형 ESWT 치료기의 충격파 음향 출력 자료를 수집하고 비교 분석했다.
2.1 탄도형 충격파 발생 방식
탄도형 충격파 치료기의 충격파 발생 방식은, 탄도를 발사하는 에너지에 따라 공압식과 전자기식으로 구분한다. Fig. 2는 탄도와 SWT를 포함하는 두 가지 방식의 충격파 발생기의 헤드 부분을 개념적으로 도시한다.
공압식(pneumatic type) 충격파 헤드는 발사체, 발사체 이동 공간, SWT로 구성되며, 압축 공기 챔버와 연결되어 있다. 압축된 공기는 발사체(탄도)를 가속하며, SWT 후면과 충돌하도록 하여 충격파를 발생한다. 충돌 후 탄도는 반발력과 자기력에 의해 발사 전 초기 위치로 돌아온다. 전자기식(electromagnetic type)은 솔레노이드 코일에 전류 펄스를 흘려줄 때 유기된 전자기력이 원통형 실린더 발사체를 가속하게 된다. 충격파 헤드는 2개의 솔레노이드(forward & backward accelerator)로 구성된다. forward accelerator는 원통형 실린더 발사체를 가속하여 SWT 후면과 충돌하도록 한다. 충돌 후 발사체는 backward accelerator에 의해 초기 위치로 돌아온다. 전자기 방식은 제어가 용이하나, 충격파 헤드에서 열이 발생하여 냉각 장치가 요구되고 소음이 크다.
동일한 출력 설정에서 발사된 탄도의 운동에너지는 동일하나, SWT의 모양과 크기, 질량, 재질, 핸드피스와 결합 방식 등에 따라 SWT의 충격 진동 에너지는 달라진다. 동일한 제품 모델에 대해 다수의 SWT를 결합하여 사용하기 때문에, 치료기의 음향 출력은 사용된 SWT를 명시해야 한다.
2.2 충격파 파형 및 음향 출력 변수
Fig. 3은 임상에서 사용되는 2가지 방식의 탄도형 충격파 발생 장치로부터 측정된 전형적인 충격파의 파형 p(t) 및 주파수 특성을 도시한다. 측정에서 사용된 탄도형 ESWT 치료기는 공압식의 경우 Zeus Wave (Weverinstruments, Rep. Korea), 전자기식의 경우 Cenowave-R(HNT Medical, Rep. Korea)이다. 선택된 SWT는 원통형 구조를 가지며, 공압식의 경우 전면부가 직경 15 mm인 원형 평면이며, 전자기식의 경우 SWT의 전면부는 직경이 15 mm인 Convex 모양을 가진다. 제시된 충격파 파형은 수중에서 발생된 SWT 전면부의 충격 진동 속도를 Laser Vibrometer(OFV-5000, Polytec, Germany)로 측정하여 압력으로 변환한 결과이다.

Fig. 3.
(Color available online) Typical shock waves and their frequency spectra, measured in water on the surface of the SWT using a laser Doppler method, for commercial ballistic ESWT devices: (a) pneumatic type (Zeus Wave, Weverinstruments, Rep. Korea) and (b) electromagnetic type (Cenowave-R, HNT Medical, Rep. Korea). Note that the SWTs employed in the shock wave generators have the diameter of 15 mm with a circular flat surface for the pneumatic type and with a circular convex shape for the electromagnetic type.
탄도형 충격파 파형은, 공진 주파수(fc)로 진동하면서 변조 주파수(fm)로 느리게 변화하는 특성을 보인다(Fig. 3). 충격파 발생 방식에 따라 탄도형 ESWT 치료기에서 발생된 충격파의 진동 파형은 매우 다르다. 공압식 충격파의 경우, 공진 주파수(fc = 92.5 kHz) 및 변조 주파수(fm = 3.2 kHz)가 명확하나, 전자기식 충격파는 변조 주파수(fm = 2 kHz)는 명확하나 진동 주파수(fc = ~45 kHz) 성분은 초기 300 µs까지 약하게 존재하다가 사라진다(Fig. 3). 충격파 펄스의 지속 시간은 공압식 보다 전자기식이 3배 ~ 4배 가량 길다.
충격파의 최대 및 최소 음압(peak positive & negative pressures: P+, P-) 및 특성 주파수(fc, fm)는 충격파의 음향 출력을 평가하는 특성 변수이다. P+는 일반적으로 P- 보다 크며, P-는 충격파의 핵심 치료 기전으로 알려진 캐비테이션의 발생과 상관성이 높다. 임상적으로 충격파 피폭량을 표현하는 보편적인 변수로 충격파 에너지 속 밀도(Energy Flux Density, EFD)를 사용한다.
여기서 ρ는 충격파가 전파되는 매질의 밀도, c는 매질에서의 음속, T는 충격파 펄스의 길이, v(t)는 충격파 진동의 속도, t는 시간 변수를 의미한다. 적분 시간 구간 T는 IEC61846에서 정의된 충격파의 유효 펄스의 폭이다(Fig. 3).
2.3 장비 설정에 따른 음향 출력
탄도형 충격파 치료기의 음향 출력은 충격파 발생 장치의 출력 설정을 변경하여 제어한다. 공압식의 경우, 탄도를 발사하는 에어건의 압축 공기 압력을 bar 단위로 출력을 설정한다. 전자기식의 경우, 솔레노이드 코일에 흐르는 전류의 지속 시간으로 출력을 제어한다. Fig. 3에서 고려된 공압식 충격파 발생 장치(Zeus Wave, Weverinstruments, Rep. Korea)는 탄도(3.1 g)를 발사하기 위해 압축 공기압을 1 bar ~ 7 bar 범위에서 설정하고 있다. 전자기식 충격파 발생 장치(Cenowave-R, HNT Medical, Rep. Korea)는 속이 빈 원통형 탄도(17 g)를 발사하기 위해 충격파 헤드에 ~46 V 전압을 인가하고 솔레노이드 코일에 흐르는 전류 시간을 13 단계로 설정하여 출력을 제어한다.
충격파 발생 장치의 설정값이 증가하면, 충격파의 음향 출력이 증가한다. Fig. 4는 공압식 충격파 발생 장치의 설정을 증가하면서 음향 출력 변수(P+, EFD)를 측정한 결과 및 두 변수 간의 상관성을 도시하고 있다. 충격파 압력 p(t)은 충격파 진동 속도 v(t)에 비례하고, Eq. (1)로 부터 EFD는 p(t)2에 비례하기 때문에 EFD는 P+가 증가함에 따라 P+의 이차 함수 형태로 증가한다. 충격파 치료기 성능 시험에서는 보통 설정값을 저, 중 ,고 3단계로 구분하여 측정한다.

Fig. 4.
(Color available online) (a) Changes in acoustic outputs (P+, EFD) with the output settings, and (b) correlation between P+ and EFD, measured on the surface of the shock wave transmitter of a commercial ESWT device (Zeus Wave, Weverinstruments, Rep. Korea) using a laser Doppler method (N = 10). Note that the relative P+and EFD are respectively normalized to those measured at the minimum setting level of 1 bar.
2.4 탄도형 ESWT 치료기의 음향 출력 조사
본 연구에서 고려된 탄도형 충격파 치료기는 식약처에서 임상 사용이 허가된 제품이다. 조사된 탄도형 ESWT 치료기는 제조사, 충격파 발생 방식, 제품 모델 및 SWT에 따라 분류한 후(Table 1), 제품 모델과 SWT의 조합으로 결정되는 충격파 치료 장치의 ID를 부여하고, ID별로 기술 문서에 제시된 음향 출력의 값을 수집하여 비교 분석했다(Table 2).
Table 1.
Shock wave production types, manufacturers and product models of the ballistic ESWT systems clinically approved by the MFDS of the Republic of Korea, obtained from the technical documents taken from MFDS website (https://emed.mfds.go.kr). The technical documents are available for the 23 of the 46 product models produced by 17 (11 domestic and 6 foreign) manufacturers. PMID is the product model identification, representing the manufacturer number (M01 ~ 17) followed by the model codes of ‘A ~ E’ for pneumatic types, and ‘a,b’ for electromagnetic types.
(note) The PMIDs in round brackets (M13B, M14A, M15A) represent the single PMID allocated for the different models employing the same ballistic shock wave generataor. The ‘++++’ is for the product model that provides neither technical document nor information sufficient to allocate the PMID, while the ‘****’ is the PMID with technical documents not available for the product models (11 pneumatic and 2 electromagnetic types) approved before May 2012.
Table 2.
Acoustic outputs from the 70 shock wave generators devices (N01 ~ 70) of the 15 pneumatic product models approved by the MFDS (Rep. Korea) (PMID: product model identification code, ID: identification code for a PMID coupled with a SWT, D: diameter, PRF: pulse repetition frequency, P+: positive peak pressure, EFD: energy flux density, E: acoustic energy).
2.4.1 자료 수집 방법
ESWT 치료기는 2004년부터 식약처의 허가를 받기 시작했지만, 기술 문서 또는 성능 시험 자료(이하 ‘기술 문서’라 칭한다)는 2012년 5월 이후 허가된 치료기부터 식약처 홈페이지에서 공개되고 있다. 본 연구에서는 식약처 의료기기 전자 민원 창구(https:// emed.mfds.go.kr/)에서 키워드 ‘체외충격파치료기’로 검색하여 ESWT 치료기 목록을 수집하고, ‘방사형’ 체외 충격파 치료기의 기술 문서를 추출했다. 현재 ‘탄도형’ ESWT 치료기는 모두 ‘방사형’으로 분류되어 있다.
검색 결과, 2022년 7월 기준, 17개 제조사(국내 11개, 국외 6개)의 46개 탄도형 체외 충격파 치료기 제품 모델이 집계되었다(Table 1). 충격파 발생 방식은 4개의 제품 모델(국산 2개, 외산 2개)을 제외하고 모두 공기압 방식(국산 25개, 외산 17개)으로 나타났다. 확인된 총 46개 모델 중 기술 문서가 등록된 제품 23개에 대해 본 논문에서 정의한 제품 모델 구분 코드 Product Model ID(PMID)를 부여했다. Table 1은 조사된 탄도형 ESWT 치료기의 정보를 충격파 발생 방식, 제조사, 제품 모델 PMID 제조국, 등록일 순으로 제시하고 있다.
동일 제품 모델(PMID)은 사용된 SWT에 따라 충격파 음향 출력이 달라질 수 있기 때문에(2.1), 충격파 발생 장치의 기본 단위는 PMID–SWT 조합으로 구분된다(Fig. 5). 본 연구에서는 총 23개의 PMID 중에서, SWT별로 음향 출력을 제시하고 있는 15개의 치료기 제품 모델에 대해 70개의 충격파 발생 장치 ID를 부여하고 충격파 음향 출력 자료를 분석했다(Table 2). 기술 문서에서 음향 출력의 값에 대한 SWT가 명시되지 않아 ID를 부여하지 못한 8개의 제품 모델(M02A ~ B, M10 ~ 12A, M14A, M16 ~ 17a)의 음향 출력은 Table 3에 제시하고 있다. 전자기식 충격파 발생 방식으로 2개의 PMID가 있으나, ID가 부여된 충격파 발생 장치는 없다.
Table 3.
Acoustic outputs from the 8 product models whose PMIDs can not be allocated since it is unclear which SWT was employed for the data, of the commercial ballistic ESWT devices approved by the MFDS (Rep. Korea) (PMID: product model identification code, ID: identification code for a PMID coupled with a SWT, D: diameter, PRF: pulse repetition frequency, P+: positive peak pressure, EFD: energy flux density, E: acoustic energy).
(note) SWT: (a) Peri-Actor (not circular shape) / (b) Spine-Actor (not circular shape) / M,L: middle, large (no information about diameters) / V-Actor (diameters not available)
2.4.2 음향 출력 변수
식약처 가이드라인(Guide-0580-01, 2015)에서 탄도형 ESWT 장비의 음향 출력의 평가 항목을 명확히 제시하지 않고 있어, 국제 표준 IEC61846 및 IEC63045를 참조하여 충격파의 최대 압력(P+,P-), 에너지(EFD, E), 주파수(f)를 고려했다.
III. 결 과
식약처 허가를 받은 탄도형 충격파 치료기의 기술 문서를 통해 수집된 음향 출력은 Table 2에 제시하고 있다. 총 15개의 제품 모델에서 70개의 ID로 구분된 충격파 발생 장치에 대해 충격파의 음향 출력(P+, EFD, E) 값을 보여주고 있다. 충격파의 P-는 제조사 M04의 BTL 6000 SWT Topline(P-: 1 MPa ~ 10 MPa)에서 유일하게 자료가 제시되고 있으나, PMID 번호를 부여할 수 없는 상태이다(Table 1). 모든 기술 문서에서 충격파의 주파수(f)에 대한 정보는 없다.
3.1 설정 변수
충격파 발생 장치의 출력 설정(output setting)은 제품 모델(PMID)별로 정해진다. Fig. 6은 Table 1에서 PMID가 부여된 총 23개의 제품 모델(공압식 21개, 전자기식 2개)에 대해 설정값의 분포를 보여 준다. 공압식의 경우 설정값은 에어건의 공기압을 기준으로 최대값이 4 bar ~ 7 bar 범위의 값을 가지며(평균 5.48 bar) 최소값은 0.3 bar ~ 1.5 bar에서 변화한다(평균 0.94 bar). 공기압의 최소 조절 단위는 제품 모델별로 다르며, 0.1 bar ~ 1 bar 사이에서 변화하고 있다. M14에서 0.2 bar, M13A 및 M13B에서 0.5 bar, M10A에서 1 bar를 제외하고 모두 0.1 bar의 값을 가진다. M04B(N08 ~ 14)는 1.5 bar ~ 4 bar의 범위를 가지나 N08에서만 1.5 bar ~ 3.5 bar로 표기되어 있고, M02A 및 M02B는 핸드피스 V-actor를 연결하는 경우 공기압의 최소값이 달라지고 있어, PMID 별로 결정되는 설정값의 특성을 고려할 때 확인이 필요하다. 전자기식 방식에서 출력은 발생될 충격파의 에너지(60 mJ ~ 185 mJ, 10 mJ 간격)로 설정하고 있다(M16b, M17a). M16b는 발생될 충격파의 에너지가 60 mJ ~ 185 mJ 범위의 값을 가지도록 출력 설정 번호(1 ~ 13, 간격 1)를 설정하고 있다.

Fig. 6.
Ranges of the output settings (in mJ for M16b and M17a, and in bar for the others) ballistic ESWT devices approved by the MFDS (Rep. Korea). The dotted line is drawn from zero for the M05A where there is the only maximum output setting provided in the technical document. There are transitional settings between the minimum and maximum values (not shown here) and the minimum increments are different among product models.
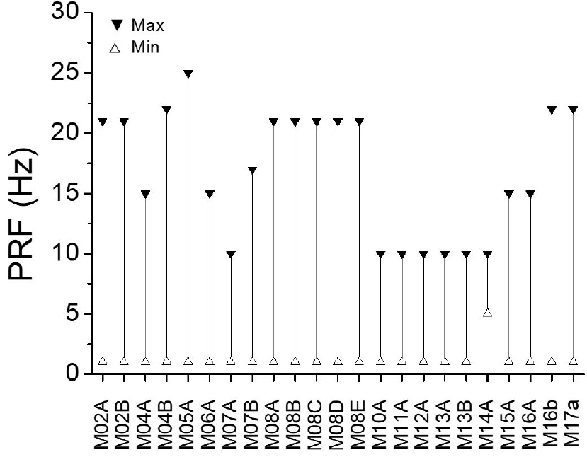
충격파 조사 주파수(Pulse Repetition Frequency, PRF)는 1초당 조사하는 충격파의 수(최소~최대)로 Hz를 단위로 표기한다. 집계된 23개의 PMID에 대해 설정할 수 있는 PRF의 최대값은 10 Hz ~ 25 Hz(평균 16.74 Hz)로 제품 모델별로 편차가 크며, 최소값은 M14A(5 Hz)를 제외하고 모두 1 Hz로 나타났다(Fig. 7). M02A 및 M02B의 PRF는 (1 Hz ~ 21 Hz)이나 V-actor 핸드 피스를 사용하는 경우 PRF가 1 Hz ~ 31 Hz(그림에서 표기되지 않음)로 변경되고 있다. 출력 설정과 같이 PMID에 따라 결정되는 PRF의 속성을 고려할 때, 핸드피스 선택으로 PRF가 변경될 수 있는지 확인이 필요하다.

Fig. 7.
Ranges of the pulse repetition frequency (PRF) of the clinical ballistic ESWT devices approved by the MFDS (Rep. Korea). There are transitional settings and the minimum increments are different among product models. Note that, when the M02A and the M02B employ V-actor, their PRFs are 1 Hz ~ 31 Hz (not shown here).
3.2 충격파 음향 출력
충격파의 P+는 2개의 제조사(M07 ~ 08)의 6개의 모델(M07A, M08A ~ E)에서 29개 충격파 발생 장치 ID에 대해 자료가 제시되어 있다. 통상적으로 P+의 값은 압력의 단위 ‘Pa’를 사용하나, 제시된 모든 기술 문서에서는 ‘bar’ 단위로 표기하고 있다. Table 2에서는 bar로 표기된 P+의 값을 MPa로 변환하여 표기했다.
Fig. 8은 제품 모델별 및 ID별로 P+의 값의 변화를 도시하고 있다. M07A는 4개의 SWT(D = 15(2 ea), 20, 40 mm)에 대해 P+의 최소값이 0.1 MPa로 모두 동일하며, 최대값은 N26에서 0.35 MPa을 제외하고 모두 0.4 MPa로 같은 값을 가진다. M08A ~ E의 5개 모델은 각각 5개의 크기가 다른 SWT(D = 6 mm, 10 mm, 15 mm, 20 mm, 35 mm)를 사용하는데, P+의 최대값은 SWT 직경이 10 mm, 15 mm, 20 mm로 증가할 때 감소하나, 직경이 6에서 10 mm, 직경이 20에서 35 mm로 증가할 때는 증가하고 있다. SWT에 따른 P+ 값은 M08A를 제외한 동일 제조사의 모든 모델(M08B ~ E)에서 같은 값을 가지며, M08A도 다른 모델과 거의 같은 값을 가진다. 요약하면, M07A에서는 SWT와 상관없이 P+의 값이 동일하고, M08A ~ E에서는 제품 모델과 상관없이 P+의 값이 동일하다.

Fig. 8.
(Color available online) Ranges of the peak positive pressures (P+) for the ballistic ESWT devices (29 IDs of 6 PMIDs) clinically approved by the MFDS (Rep. Korea). The values (in MPa) were converted from those provided in units of bar in the technical documents, and there are transitional data between the minimu and maximum values (not shown here) presented in the technical documents.
충격파의 EFD는 7개 제조사(M04 ~ 07,13,15,16)의 9개 모델(M04A ~ B, M05A, M06A, M07A ~ B, M13B, M15A, M16A)의 41개 ID(전체 장비의 58.6 %)에 대해 비교 가능한 자료가 제시되고 있다. 기술 문서에 자료가 제시된 충격파 음향 출력 변수 중에서 가장 많은 비율이다. IEC61846에서 EFD 값은 단위 면적당 에너지(mJ/mm2)로 표기되나, 제조사 M08의 25개 ID(N30 ~ 54)는 단위 체적당 에너지(J/m3)로 표현되어 있다. M08A~E의 EFD는 별도의 설명이 없이 단위가 달라 타 모델과 비교가 어려워 Fig. 9에서는 제외했다.

Fig. 9.
(Color available online) Acoustic energy flux density (EFD) from the ballistic ESWT devices (41 IDs of 9 PMIDs) clinically approved by the MFDS (Rep. Korea). There are transitional data (not shown here) presented in the technical documents for the IDs with the solid lines connecting the minimum and maximum values, whereas the dotted lines are drawn when the only maximum and minimum values are available. When there are maximum values provided, the strait lines start from zero without open triangles. The 20 IDs of 4 PMIDs (M08A ~ C,E) are excluded in this figure since their values are provided in the unusual unit of energy per volume.
Fig. 9는 41개의 충격파 발생 장치에 대한 EFD의 최저-최대값의 범위를 비교하고 있다. 충격파 발생 장치의 EFD는 평균적으로 0.121 ~ 0.465 mJ/mm2 범위에서 변하고 있다. 그림에서 볼 수 있듯이, EFD의 값은 장비 ID 별로 매우 큰 차이를 보인다. EFD의 최소값은 0.0011 mJ/mm2(N26) 최대값은 0.97 mJ/mm2(N04) 범위에서 변하고 있다. 최소값 대비 최대값은 881.8배로 매우 크기 때문에 Fig. 9에서 EFD의 크기는 로그 스케일로 도시했다. M05A은 EFD의 최소값이 제공되지 않고 있어, Fig. 9에서는 0의 값으로(로그 스케일에서는 0과 근접한 1E-4로) 간주하여 도시했다. 최대 설정에서 EFD는 0.013(N26) ~ 0.97 mJ/mm2(N04)에서 변하며 장비 간 최대 74.6배의 차이가 난다. 최소 설정에서 EFD 값은 0.0011(N26) ~ 0.62 mJ/mm2(N01)에서 변하며 장비 간 최대 563.6배의 차이가 나고 있다. 최대 설정에서 EFD의 최저값 0.013 mJ/mm2(N26)은 최저 설정에서 EFD의 최대값 0.62 mJ/mm2(N01) 보다 훨씬 낮은 것(2.1 %)으로 나타났다.
대체적으로 EFD의 최소 ~ 최대값의 범위는 PMID별로 유사하며, EFD의 값은 SWT의 크기가 커지면 감소하고 있다. M04A ~ B 및 M07A ~ B는 SWT의 직경이 커질수록 EFD의 값이 감소한다. 반면 M05A는 SWT의 직경이 증가하면 오히려 EFD의 최대값이 증가한다. M13B는 SWT의 선택에 상관없이 EFD 최대값이 거의 유사하다.
제품 모델간 및 동일 제품 모델에서 SWT 선택에 따른 음향 출력(P+ , EFD)의 변동성(R,r)은 각각 Table 4 및 5에서 비교하고 있다. 치료기 제품 모델 사이의 변동성(R)은, P+의 경우 최소 설정에서 최대 16.08배, 최대 설정에서 최대 13.19배의 차이를 보이고 있다(Table 4). EFD의 모델간 변동성(R)은 최소 설정에서 최대 45.45배, 최대 설정에서 최대 30.77배의 차이를 보이고 있다(Table 5). 동일 제품에서 SWT에 따른 변동성 (r)은 P+의 경우 최소 설정에서 최대 4.33 배(M08A), 최대 설정에서 최대 2.42배(M08B ~ E) 차이를 보이고 있다(Table 4). EFD의 값은 동일 제품에서 SWT에 따라 최소 설정에서 최대 81.82배(M07A), 최대 설정에서 최대 46.15배(M07A) 차이를 보이고 있다(Table 5).
Table 4.
Largest variability (r,R) of the ranges of the P+ values at the minimum and maximum output settings for the various SWTs employed in the 6 product models (M07A, and M08A ~ E).
| PMID | ID | P+ (MPa) | |||||
| Min setting | Max setting | ||||||
| from (A) | to (B) | r (=B/A) | from (A) | to (B) | r (=B/A) | ||
| M07A | N23 ~ 26 | 0.1a | 0.1a | 1 | 0.35a | 0.40a | 1.14 |
| M08A | N30 ~ 34 | 0.357 | 1.546 | 4.33 | 2.242b | 5.223 | 2.33 |
| M08B ~ E | N35 ~ 54 | 0.38b | 1.608b | 4.23 | 2.178 | 5.275b | 2.42 |
| R (=b/a) | 3.80 | 16.08 | - | 6.41 | 13.19 | - | |
Table 5.
Largest variability (r,R) of the ranges of the EFD values at the minimum and maximum output settings for the various SWTs employed in the 8 product models (M04A ~ B, M05A, M07A ~ B, M13B, and M15A). M06A (N22) and M16A (N70) were exlcuded since they use the only one SWT.
| PMID | ID | EFD (mJ/mm2) | |||||
| Min setting | Max setting | ||||||
| from (A) | to (B) | r (=B/A) | from (A) | to (B) | r (=B/A) | ||
| M04A | N01 ~ 07 | 0.02 | 0.62b | 31.00 | 0.06 | 0.97b | 16.17 |
| M04B | N08 ~ 14 | 0.02 | 0.61 | 30.5 | 0.05 | 0.81 | 16.20 |
| M05A | N15 ~ 21 | *** | *** | *** | 0.38 | 0.95 | 2.50 |
| M07A | N23 ~ 26 | 0.0011a | 0.09 | 81.82 | 0.013a | 0.6 | 46.15 |
| M07B | N27 ~ 29 | 0.05b | 0.15 | 3.00 | 0.25 | 0.7 | 2.80 |
| M13B | N59 ~ 66 | 0.02 | 0.07a | 3.50 | 0.4b | 0.53a | 1.33 |
| M15A | N67 ~ 69 | 0.023 | 0.07a | 3.04 | 0.123 | 0.56 | 4.55 |
| R (=b/a) | 45.45 | 8.86 | - | 30.77 | 1.83 | - | |
충격파의 에너지(E)는 유일하게 M13A에서 최대 설정에서의 4개의 SWT(D = 15 mm(2 ea), 20 mm, 35 mm)에 대한 값을 (0.345 mJ ~ 0.587 mJ) 제시하고 있다(Table 2). SWT의 크기가 증가할수록 E가 증가하는 것으로 나타났으나, 동일한 SWT 직경(15 mm)에서 E의 변동성이 상대적으로 크게 나타났다.
3.3 설정에 따른 음향 출력의 변화
충격파 발생 장치의 설정에 따라 발생된 충격파의 에너지가 달라진다. 모든 설정값에 대해서 충격파의 출력을 측정하는 것은 시간과 비용이 많이 소요되기 때문에, Figs. 8 및 9에서 도시하는 것처럼 최소 및 최대 설정에서만 충격파의 출력 정보를 제공하는 경우가 많다. 그러나 조사된 상당수의 기술 문서가 다수의 설정에서 측정된 값 즉 최대-최소값 사이의 전환기적(과도기적) 데이터(transitional data)를 제공하고 있다. Fig. 10은 PMID 별로 설정값에 따른 발생된 충격파 음향 출력의 변화를 도시하고 있다.
Fig. 10a는 설정값에 따른 P+의 값의 변화이다. P+를 제공하는 모든 기술 문서(6 PMID, 29 ID)는 5 ~ 6개의 설정에서 P+의 값을 제시하고 있다. 예상할 수 있듯이, 설정이 증가하면 P+의 값이 증가한다. 증가율은 제조사별로 다르다. 제조사 M07의 제품 PM07A는 4개의 SWT를 가지며(Table 2), 모든 SWT에 대해 설정값에 따른 P+의 값의 변화가 거의 동일하다. 제조사 M08의 제품 M08A ~ E는 각각 5개의 SWT를 가지나(Table 2) 동일한 SWT에 대해 제품 모델과 상관없이 설정값에 따른 P+의 값이 동일하다.
Fig. 10b는 제품 모델별로 설정값에 따른 EFD의 변화를 보여준다. 7개의 PMID(31 ID)에 대해 설정값에 따른 EFD의 변화를 도시한다. M013B는 가장 넓은 설정 범위 0.5 bar ~ 7 bar를 가지며, M04A 1.5 bar ~ 6 bar, M07A 1 bar ~ 5 bar M4B 및 M15A 1 bar ~ 4 bar 순으로 설정 범위의 폭이 좁아지고 있다. P+와 마찬가지로, 설정이 증가하면 EFD의 값이 증가한다. EFD 값의 범위 및 증가율은 PMID별로, 동일 PMID에서는 사용된 SWT(즉 ID)별로 다르다. 제품 모델 M07A는 EFD가 가장 작은 구간에서 변화하나, 설정 증가에 따른 상승률은 타 모델에 비해 상대적으로 가장 크다. M04A, B는 동일 제조사의 다른 모델로, EFD가 가장 높은 상단에 위치하며, 상승률은 상대적으로 낮다.
Fig. 10은 PMID별로 그룹화하여 구분된 그림이라, 동일 PMID에서 SWT에 의한 차이를 구분하기는 어렵다. Fig. 11은 동일 제품 모델(PMID)에 대해 설정에 따른 EFD의 변화를 SWT 별로 구분하여 도시하고 있다. Fig. 10에서 도시된 7개 PMID 중 SWT가 1개인 M06A 및 M16A를 제외한 5개 PMID에 대해 도시하고 있다. 그림에서 볼 수 있듯이, 동일 제품에 대해 SWT의 선택에 따라 EFD 값의 변화가 매우 크다. 모든 PMID에 대해 SWT의 크기(직경이) 커질수록, EFD의 값이 작아지고 있다. 설정에 따른 EFD의 상승 추이는 M13B 및 M15A의 N69를 제외하면, 모든 PMID에서 SWT 별로 유사하다. M13B는 최저 설정에서는 SWT별로 EFD의 값의 차이가 크지만, 설정값이 증가하면서 점점 차이가 작아지고 있다.
IV. 토 의
본 연구에서는 장비의 성능 즉 치료 효과 및 안전성을 좌우하는 탄도형 충격파 치료기의 음향 출력의 기본 특성을 제시하고, 식약처에서 수입 및 제조 허가를 받은 치료기의 기술 문서에서 제시된 음향 출력의 분포 및 특성을 조사했다. 탄도형 충격파 치료기는 2022년 7월 기준 17개의 제조사(국내 11개, 국외 6개) 46개의 제품 모델이 등록되어 있다. 등록된 46개중 23개 모델의 기술 문서가 식약처 홈페이지에 공개되어 있고, 그중 15개 모델이 사용된 SWT에 따라 구분된 70개의 충격파 발생 장치(N01 ~ 70)에 대한 음향 출력 정보를 제공하고 있다.
2개의 제조사 6개 제품(M07A, M08A ~ E)에서 제공된 P+의 분포는 제품별(PMID) 및 충격파 발생 장치(ID) 별로 차이를 보이고 있다. 최대 설정에서 P+의 값은 0.4 MPa(N23 ~ 25) ~ 5.275 MPa(N36,41,46,51)에서 변하며, 충격파 발생 장치별로 최대 13.19배 차이가 나고 있다. 임상에서 충격파 피폭을 정량화하기 위해 가장 흔히 사용하는 EFD의 값은 2개의 모델(M08D, M13A)을 제외한 모든 제품에서 값을 제공하고 있다. P+와 마찬가지로, EFD 역시 제품별 충격파 발생 장치별로 매우 큰 차이를 보인다. 최대 설정에서 EFD는 0.013(N26) ~ 0.97 mJ/mm2(N04) 범위에서 충격파 발생 장치별로 최대 74.62 배 차이가 난다. 충격파 에너지는 유일하게 M13A에서 값을 제시하고 있으며, 0.345 mJ ~ 0.587 mJ 범위의 값을 가진다.
측정 방법이 표준화되어 있을 경우, 측정된 충격파의 출력의 차이는 충격파 발생 장치의 음향 출력의 차를 의미한다. 탄도형 충격파의 측정 표준이 없는 상태이기 때문에, 본 연구에서 확인된 큰 음향 출력의 차이는 치료기의 성능 차이 뿐 아니라 사용된 측정 방법과도 관련된다. 탄도형 충격파는 기존 집속형 충격파와 물리적인 특성 즉 발생 원리, 파형, 주파수 등이 매우 다르며 하이드로폰을 이용한 기존 집속형 충격파의 측정 표준 IEC61846을 적용하기 어렵다. 식약처에서 2011년 발행한 ‘의료기기 성능시험 길라잡이’는 공압식 체외충격파치료기의 시험 항목, 기준 및 방법 등을 제시하고 있으나, 충격파 측정 부분은 IEC61846의 집속형 충격파 측정 규격과 큰 차이가 없다. 비 집속형 초음파의 측정 표준인 IEC60345는 펄스폭을 25 µs 이하로 제한하고 있어, 긴 펄스 폭(~ 1 ms)을 가지는 탄도형 충격파(Fig. 3) 측정에 적용하기 어렵다. YY0950에서 제시하는 DTB (Dry Test Bench)는 임상적 환경이 아닌 공기 중에서 측정이 이루어지며, 에너지만을 추정하기 때문에 다양한 출력 변수를 평가하는 탄도형 ESWT 치료기 시험 검사에 적용하기 어렵다.[34] 최근 Laser Doppler Method(LDM)를 이용한 방법이 탄도형 충격파 측정을 위한 대안으로 제안되고 있으나[35] 아직 탄도형 충격파 측정 표준으로 확립되지 못한 상태이다. Fig. 3은 LDM을 이용하여 측정된 충격파 파형이다.
다양한 충격파 출력 변수(P+, P-, 주파수, 펄스 폭, 유효 방사면적, EFD, E, stability 등)를 정의하는 국제 표준(IEC61846, 60345)과는 다르게, 식약처에 등록된 기술 문서에서 제시된 충격파 출력 변수는 P+, EFD, E에 국한되고 있다. 제조사 M04의 BTL 6000 SWT Topline 만에 유일하게 P-(= 1 MPa ~ 10 MPa) 값을 제시하고 있으나, PMID를 부여할 수 없어 본 연구의 분석에서는 제외했다(Table 1). 충격파 치료기는 초음파의 역학적인 효과에 기반하며 충격파에 의해 발생된 캐비테이션이 중요한 치료 기전으로 알려져 있다.[36,37,38,39] 주파수가 낮을수록, P-가 낮을수록 캐비테이션의 강도가 높아진다. Fig. 3에서 도시하는 것처럼, 충격파 발생 방식별로, 주파수 특성이 상이하다. 충격파가 동일한 압력 (P+, P-)을 가지더라고 주파수가 다를 경우 충격파의 생물학적 효과는 달라진다.[40,41] 충격파 치료의 범위를 좌우하는 유효 방사 면적은 임상적으로 중요하다. 식약처에 등록된 기술 문서에 포함된 성능 평가 항목은 국제 표준에 비교하여 누락된 부분이 많다.
조사된 기술 문서는 3개의 음향 출력 변수(P+, EFD, E)로 국한되어 있기도 하지만, 기술 문서별로 제시된 변수 및 데이터의 질이 많이 다르다. Table 6은 음향 출력 자료 분석에 사용된 총 15개 모델 70개 충격파 발생 장치(N01 ~ 70)의 기술 문서에 대해 음향 출력 항목(P+, EFD, E) 별로 데이터 포함 여부를 표시하고 있다. 음향 출력 3가지 변수의 값을 모두 제시하는 기술 문서는 하나도 없으나, 모든 기술 문서는 최소 1개 이상의 음향 출력 변수의 값을 제공하고 있다. 총 70개의 기술 문서 중 24개(34.3 % )는 2가지 변수의 값을 제공하고 있다. EFD는 총 70개 중 87.1 %인 61개 기술 문서에서 자료가 제공되고 있어, 음향 출력 변수 중에서 가장 많은 기술 문서에서 자료가 제공된다. 제공된 EFD의 28.6 %에 해당하는 제조사 M08의 4개 모델(M08A ~ C,E) 20개의 기술 문서(ID30 ~ 44, ID50 ~ 54)는 IEC61846에 부합하지 않는 단위(J/m3)의 값을 제시하고 있어 본 연구의 분석에서는 제외되었다. P+는 70개 ID중 29개(41.4 %)의 기술 문서에서 자료를 제공하고 있으나, bar 단위로 표기되어, 데이터의 신뢰성에 대한 검증이 필요하다. 충격파 에너지 E는 1개의 제품 4개(N55 ~ 58, 5.7 %)의 기술 문서만 자료를 제공한다. 기술 문서별로 제공된 음향 출력 변수와 값들의 상태가 다르기 때문에, 기술 문서에서 제공된 자료를 이용하여 치료 장비의 기술적 동등성 및 차별성을 평가하기는 어려운 상태이다.
Table 6.
Acoustic output parameters provided in the technical documents of the 70 shock wave generators (N01 ~ 70) of the ballistic ESWT devices approved by the MFDS (Rep. Korea) (PMID: product model identification code, ID: identification code for a PMID coupled with a SWT, P+: positive peak pressure, EFD: energy flux density, E: acoustic energy).
| PMID | ID |
P+ (MPa) |
EFD (mJ/mm2) |
E (mJ) |
| M04A | N01 ~ 07 | X | O | X |
| M04B | N08 ~ 14 | X | O | X |
| M05A | N15 ~ 21 | X | O | X |
| M06A | N22 | X | O | X |
| M07A | N23 ~ 26 | Oa | O | X |
| M07B | N27 ~ 29 | X | O | X |
| M08A ~ C | N30 ~ 44 | Oa | Ob | X |
| M08D | N45 ~ 49 | Oa | X | X |
| M08E | N50 ~ 54 | Oa | Ob | X |
| M13A | N55 ~ 58 | X | X | O |
| M13B | N59 ~ 66 | X | O | X |
| M15A | N67 ~ 69 | X | O | X |
| M16A | N70 | X | O | X |
| % | 41.4 | 87.1 (28.6) | 5.7 | |
핸드피스의 끝단에 위치하여 피부에 접하는 SWT는 치료 목적에 부합하는 다양한 크기와 모양을 가진다. SWT의 전면부의 모양(평면, 볼록(오목)곡면 등)에 따라 방사형, 평면형, 집속형 충격파를 조사할 수 있다. 동일한 제품 모델의 동일한 출력 설정에서 SWT와 충돌하는 탄도의 운동 에너지는 동일하지만, SWT의 질량 및 핸드피스와의 SWT의 결합 조건 등이 달라지면, SWT의 진동에너지 즉 음향 출력이 달라진다. 따라서 2.1에서 전술한 바와 같이 충격파 출력 값을 제시할 때는 선택된 SWT를 명시해야 한다. 그러나 조사된 7개 제조사 8개 모델은 다양한 SWT를 사용하지만 제품 모델에 단일 충격파의 출력 정보만을 제시하고 있다(Table 3). 이런 경우는 2.4.1에서 기술한 것처럼, 충격파 발생 장치의 ID를 부여할 수 없고 분석에서 제외했다.
SWT의 형상, 핸드피스와 결합 조건 등이 동일할 경우, SWT의 크기 즉 질량이 커지면, 동일한 설정에서 발생된 충격파의 출력은 감소해야 한다. M04A ~ B, M07A ~ B, M13A는 SWT의 직경이 커질수록 EFD값이 감소하고 있다. 반면 M05A는 SWT의 직경이 증가하면 efd도 증가한다. M13B는 SWT의 선택에 상관없어 거의 유사한 EFD를 가진다. P+의 경우 M07A와 4개의 SWT(D = 15 mm(2개), 20 mm, 40 mm)가 연결된 4개의 충격파 발생 장치 ID23 ~ 26에서 보여주듯이, SWT의 직경의 변화에 따라 P+의 값이 거의 변화가 없다(Table 2, Fig. 10). 직경이 다른 5개의 SWT(D = 6 mm, 10 mm, 15 mm, 20 mm, 35 mm)와 연결된 M08A ~ E에서는, SWT의 직경이 10 mm, 15 mm, 20 mm로 증가할 때는 P+가 감소하지만, 직경이 6에서 10 mm로, 그리고 20에서 35 mm로 증가할 때는 증가하고 있다. 동일 제품, 동일 설정에서 SWT의 크기에 따른 충격파 출력(EFD, P+)의 값이 서로 상치되고 있어, 데이터의 신뢰성에 대한 검증의 필요성이 제기된다. 신뢰성 검증을 위해 SWT의 형태, 크기, 질량, 결합 조건 등에 대한 정보가 필요하나, 이러한 정보는 기술 문서에 대부분 누락되어 있다.
기술 문서별로 음향 출력 변수가 상이하고, 음향 출력의 값이 충격파 치료기 제품 모델별로 차이가 크며, 신뢰성을 부여하기 어려운 데이터를 포함하고 있는 이유는, 표준화된 탄도형 충격파 측정 기술이 확립되어 있지 못하고, 공인된 시험 검사 기관이 없는 상태에서, 제조사가 자율적으로 성능 시험을 수행하거나 기술 문서 작성하기 때문이다. 따라서 기술 문서를 근거로 객관적인 치료기의 성능 검증 및 비교는 어려운 상태이다.
기술 문서에 제시된 음향 출력 데이터의 신뢰성은 음향 출력의 변수 간의 상관성 평가로 부터 부분적으로 자체 검증이 가능하다. 2.3에서 전술한 바와 같이, P+와 EFD는 Fig. 4에서 도시하는 예측된 상관성을 가진다. 본 연구에서 수집된 기술 문서에서 분석이 가능한 P+와 EFD를 동시에 제공하는 M07A에 대해, P+와 EFD의 상관성을 도시하면 Fig. 12와 같다. 그림에서 데이터는 M07A의 4가지 SWT에 대해 제공된 것이며, 실선은 Fig. 4에서 도시하는 측정치이다. M07A의 데이터는 측정치와 유사한 경향을 보이나, 설정이 증가할수록 N025를 제외한 3개의 SWT에서는 측정치에서 멀어지고 있다. 성능 시험 측정 표준이 확립되고 공인된 시험 검사 기관이 확보되기 전까지 제조사 제시한 음향 출력의 신뢰성은 객관적으로 보증하기 어려운 실정이다.

Fig. 12.
(Color available online) Correlation between P+ and EFD for the 4 SWTs employed in the M07A in which both P+ and EFD are provided in their technical documents. The solid line (‘measured’) was reconstructed from Fig. 4b measured on a commercial ESWT device (Zeus Wave, Weverinstruments, Rep. Korea) using a laser Doppler method (N = 10). Note that the normalization (in P+ and EFD) was made to the values measured at the minimum setting level of 1 bar.
동등한 치료 목적으로 허가된 치료 장비의 출력은 일정 허용 범위 내에서 유지되어야 한다. 기술 문서로 부터 확인된 탄도형 충격파 치료기의 음향 출력은 제조사, 제품 모델, SWT에 따라 큰 차이를 보이고 있다. 예를 들어, EFD 값은 최소 설정에서 0.0011 ~ 0.62 mJ/mm2 범위에서 최대 563.64배 크기로 변하며, 최대 설정에서는 0.013 ~ 0.97 mJ/mm2 사이에서 충격파 발생 장치 간 최대 74.62배 차이가 나고 있다. 최대 설정에서 EFD의 최저값 0.013 mJ/mm2이 최저 설정에서 EFD의 최대값 0.62 mJ/mm2 보다 훨씬 낮은 것(2.1 %)으로 나타났다. 동일 제품 모델에서 SWT의 선택에 따라 충격파의 음향 출력이 크게 변하고 있다(Fig. 11). 치료기 모델 M07A에서 EFD의 값은 최소 설정에서 최대 81.82 배가 차이가 나며, 최대 설정에서 최대 46.15배 차이를 보이고 있다(Table 5). 동일한 적응증으로 허가받은 치료기의 음향 출력이 수백 배 차이가 난다는 기술 문서의 자료는 허가된 탄도형 치료기의 치료 효과 및 안전성을 보증하기 어렵다는 것을 시사한다.
성능 시험 검사를 위해 샘플링된 제품과 시장에서 유통되는 치료기와 성능의 차이가 날 수 있다. 탄도형 충격파 치료기의 기술적인 특성상 사용 시간에 따라 치료기의 충격파 출력이 변할 수 있다. 사용 중인 치료기 성능과 기술 문서와 일치성을 파악하는 현황 조사 및 임상 사용 중인 치료기의 성능에 대한 규제 기관의 사후 관리가 요구된다.
V. 결 론
식약처에 등록된 탄도형 ESWT 치료기의 기술 문서를 조사한 결과, 치료기의 성능을 좌우하는 충격파의 음향 출력은 치료기 모델 및 SWT의 선택에 따라 크게 차이가 나고 있다. 임상에서 보편적인 피폭 변수로 사용되는 EFD는 치료기의 충격파 발생 장치에 따라 최소 설정에서 최대 563.64배, 최대 설정에서 최대 74.62배까지 차이가 난다. 동일 모델 제품에서 SWT 선택으로 EFD의 값은 최소 설정에서 최대 81.82배, 최대 설정에서 최대 46.15배 차이를 보인다. 동등한 치료 목적으로 허가된 치료 장비의 출력은 일정 허용 범위 내에서 유지되어야 한다. 식약처의 허가로 임상에서 사용 중이나, 충격파 음향 출력의 차이가 지나치게 크다면 탄도형 ESWT 치료기의 치료 효과 및 안전성은 보증하기 어렵다.
표준화된 충격파 측정 기술이 확립되어 있지 못하고, 공인된 시험 검사 기관이 없는 상태에서, 제조사가 자율적으로 작성한 기술 문서는 제조사 별로 제시된 출력 변수가 상이하고 신뢰성을 부여하기 어려운 상태이다. 임상적인 사용이 급격히 증가하는 탄도형 ESWT 치료기의 치료 효과 및 환자의 안전을 보증하기 위해, 사용 중인 치료기 성능과 기술 문서와 일치성을 파악하는 현황 조사가 필요하다. 아울러, 성능 시험 기술 표준 확립, 임상 사용 허가 및 동등성에 대한 명확한 성능 기준 제시 등을 포함하는 식약처 가이드라인 개정 및 임상에서 사용 중인 치료기의 성능에 대한 규제 기관의 사후 관리가 요구된다.








