I. 서 론
II. 프로펠러의 공력 및 소음 측정
2.1. 대상 모터 및 프로펠러 시스템
2.2 측정 환경
III. 프로펠러의 공력 예측
3.1 공력 예측 기법
3.2 공력 예측 절차
3.3 공력 예측 결과
IV. 프로펠러의 소음 예측
4.1 소음 예측 기법
4.2 소음 예측 결과
V. 결 론
I. 서 론
드론이라는 이름으로 더 많이 알려진 무인항공기는 초기에는 정찰이나 감시 등 군사적인 목적을 위해 개발되었으나, 지금은 영상 촬영을 비롯한 다양한 민간 분야에서도 활용되고 있으며, 가까운 미래에 제품의 주요 운반 수단으로서의 역할을 할 것으로 예상된다. 세계 드론 시장의 규모도 이미 모르는 사람이 없을 정도로 크게 성장하였고, 여전히 높은 성장률을 보이며 2020년에는 시장규모가 지금의 두 배에 달할 것으로 추산되고 있다.[1]
현재 무인기 산업의 가속화에 가장 큰 걸림돌이 되는 문제 중 하나는 빠른 배터리 소모로 인한 비행시간의 제약으로, 이 문제를 해결하기 위해서는 배터리의 단위 무게 당 용량을 높이거나 비행 성능의 개선을 통한 에너지 사용 효율을 높여야 한다. 가장 많이 사용되고 있는 멀티로터형 무인항공기는 소모되는 에너지의 90 % 이상이 추진체인 프로펠러에 사용되므로, 프로펠러의 공력 효율을 향상시키는 형상 설계 기술을 개발하는 것은 무인기 개발에 있어 핵심적인 기술 중 하나라 할 수 있다.
또 다른 문제는 프로펠러에 의한 공력 소음으로, 영상 촬영시 음향 녹취를 방해할 뿐만 아니라 잦은 활용시 환경소음으로 인한 사회적 문제를 발생시킬 우려가 있다. 군사적인 목적에서도 무인항공기의 소음은 발견 및 격추 가능성을 높여 의도한 미션의 실패 확률을 높인다.
따라서 무인항공기의 활용을 위해서는 멀티로터형 무인항공기의 프로펠러의 공력 효율을 높이고 소음을 저감하기 위한 형상 설계 연구가 이루어져야 한다. 그리고 형상 설계 연구는 프로펠러가 놓여진 공력 환경에서의 공력 성능 및 소음도를 예측할 수 있는 기술이 바탕이 되어야만 가능하다.
본 연구에서는 프로펠러의 공력 및 소음 예측 기법을 개발하고, 실험 결과와 비교 검증함으로써 고효율 및 저소음 프로펠러의 개발을 위한 기틀을 마련하고자 하였다.
II. 프로펠러의 공력 및 소음 측정
2.1. 대상 모터 및 프로펠러 시스템
본 연구의 대상으로 선정한 프로펠러는 DJI의 9450 모델로 F450, F550 등 산업용 및 연구용으로 많이 활용되는 드론에서 사용되는 프로펠러이다. 직경은 약 240 mm이며 중량은 13 g이다. 사용한 동력 장치는 DJI 2312E 모터로 단위전압 당 r/min은 960 kV이고 자체 중량은 57 g이다. 사용한 전자 제어 시스템은 DJI 420 LITE로 30에서 450 Hz의 신호주파수를 가진다.
2.2 측정 환경
모터-프로펠러 시스템의 공력 및 소음 측정을 위해 Figs. 1과 2의 구성도와 같은 측정 장치를 구성하였다. 전원 장치를 통해 공급하는 전압을 15 V로 일정하게 유지하고, 아두이노 우노를 사용하여 PWM(Pulse Width Modulation) 신호를 인가하여 모터 r/min을 제어하였다. ATI Industrial Automation 사의 9105 NET Gamma 센서를 사용하여 3 축 방향의 힘과 토크를 측정하였고, B&K 사의 4189 마이크로폰 4 대를 사용하여 소음을 측정하였다. 정밀한 소음 측정을 위해 마이크로폰은 1 kHz 94 dB 톤 소음으로 교정하여 사용하였으며, 측정된 소음 신호의 분석을 통해 BPF(Blade Passing Frequency) 성분을 역산하여 모터-프로펠러 시스템의 r/min을 도출하였다.
공력 및 소음 측정은 방사하는 소음이 지면 및 벽면으로부터 반사되는 것을 방지하기 위해 무향실 내에서 진행하였다. 무향실의 크기는 4.1×4.1×3.2 m이고, 배경소음은 23 dB(A) 이하이다. 프로펠러는 힘 및 토크 센서와 결합하여 지면으로부터 1.7 m 높이에 설치하였고, 소음은 로터 중심으로부터 1.5 m 떨어진 거리에서 로터 평면으로부터 0°, 30°, 45°, 60°에 해당하는 위치에서 측정하였다. 공력 및 소음 측정 모습은 Fig. 3에 나타내었다.
2.3 측정 결과
힘/토크 센서를 이용해 측정된 추력과 토크의 결과들을
,
로 무차원화하여 추력 계수
및 토크 계수
를 계산하였다.
는 r/min에 무관하게 약 0.015의 일정한 값을 보이며, 따라서 추력은 팁 마하수
의 제곱에 비례하는 경향성을 보인다.
는 약 0.018 정도로, r/min이 증가함에 따라 서서히 감소하는데,
의 증가에 따라 레이놀즈 수가 증가하여 형상 항력이 상대적으로 감소하기 때문이다. 이 값들로 계산한 FM(Figure of Merit)은 5000 r/min 이상에서 약 0.71의 값을 가지며, 실제 전원 장치가 공급한 소비 전력을 이용하여 계산한 FM은 0.53 정도이다. 따라서 모터 및 전자 제어 시스템에 의한 손실이 상당히 큰 편임을 알 수 있다.
r/min에 따른 각도별 소음 레벨은 Fig. 4와 같이 측정되었다. 소음도는 r/min에 따라 증가하며 측정 범위 내에서 42 dB부터 76 dB까지 넓은 변화폭을 갖는다. 데이터의 로그 회귀 곡선으로부터 압력의 실효값과 팁 마하수 간의 상관관계를 표현하면 Eq. (1)과 같이 표현된다.
. (1)
지수로 나타난 5.2는 monopole source와 dipole source의 중간에 해당하는 수치로, 프로펠러의 소음에서 두 소음이 지배적이라고 알려진 사실과 일치한다.[2]
측정된 신호의 주파수 스펙트럼을 살펴보면 Fig. 5와 같이 BPF와 그 고차 주파수에 대한 선명한 톤 성분을 확인할 수 있다. 톤 성분은 BPF인 약 250 Hz에서 약 7000 Hz까지 강하게 나타나며, 그 이상에서는 광대역 소음이 두드러진다.
III. 프로펠러의 공력 예측
3.1 공력 예측 기법
회전익의 공력 성능을 예측하기 위해 현재 주로 사용하고 있는 방법은 크게 BEMT(Blade Element and Momentum Theory)와 CFD(Computational Fluid Dynamics), 그리고 양력면 이론 이론에 기반한 수치기법들로 구분할 수 있다.
BEMT 기법은 블레이드의 비정상 하중을 예측할 수 없어 주요 소음원 중 하나인 비정상 하중에 의한 소음을 고려할 수 없으며, CFD는 계산비용이 매우 높고 블레이드의 형상을 변경할 때마다 격자를 재생성해야 하므로 최적설계 사용에 부적합하다. 따라서 본 연구에서는 양력면 이론 이론을 기반으로 한 자유 후류 와류 격자 기법을 이용하여 공력 예측을 진행하였다.[3]
자유 후류 와류 격자 기법의 지배방정식은 라플라스 방정식으로, 블레이드 경계와 후류 영역을 제외한 모든 유동 영역을 비압축성, 비점성, 비회전 유동으로 가정한다. Green’s reciprocal theorem을 이용하여 용출과 더블릿 분포의 조합으로 일반해를 구하고, Fig. 6과 같이 블레이드 표면에서의 용출 및 더블릿 분포를 캠버면을 따라 분포된 와류 격자로 치환하면, 블레이드 표면과 후류 경계에서의 속도 포텐셜은 Eq. (2)와 같이 나타낼 수 있다.
, (2)
여기서
는 와류 강도,
은 계산점과 와류격자간의 거리,
는 자유류의 속도 포텐셜을 의미한다. 경계 조건으로서 블레이드 표면에 대한 수직한 방향
의 속도 성분이 0이 되도록 하면 Eq. (3)과 같이 표현되며, 이를 이산화하고 자유류의 속도를 전진속도
, 블레이드 변형 및 피치 움직임에 의한 속도
, 그리고 로터 회전에 의한 속도
로 치환하면 Eq. (4)와 같은 선형 방정식으로 나타낼 수 있다.

. (3)
, (4)



우항
내의 와류강도
는 쿠타 조건에 의해 이전 단계의 블레이드 뒷전 와류 강도로부터 얻어진다. Eq. (4)로부터 계산된 와류 강도로부터 Kutta- Jou-kowski theorem을 적용하면 블레이드 표면에 작용하는 하중을 계산할 수 있다.
자유 후류 와류 격자 기법의 계산시간을 단축하기 위해 등와선도 후류 모델을 적용하였다. 등와선도 후류 모델은 블레이드 뒷전에 발생하는 후류를 모사하기 위한 방법 중 하나로, 와류 격자의 위치가 고정되어 있고 각 위치마다 다른 와류 강도를 갖는 일반적인 모델과 달리 강도가 일정한 와류 요소를 와류 강도 분포를 모사할 수 있도록 위치적으로 분포시키는 후류 모사 기법이다.[4,5] Fig. 7과 같이 매 계산 단계마다 변하는 와류 요소의 위치를 연결하여 후류를 모사한다. 이 방법은 와류격자 후류 모델에 비해 후류 형상을 얻기 위해 필요한 격자의 수가 절반 정도이며, 따라서 계산 비용을 현저히 낮출 수 있다.
후류의 와류 요소에 의한 유도 속도의 계산은 Biot-Savart 식을 이용하게 된다. 프로펠러와 같은 회전익의 경우는 후류의 발생 형태가 곡선이 되며, 등와선도 후류 모델의 적용 시에는 더욱 굴곡이 심한 형상으로부터 유도 속도를 계산하여야 하므로, 계산의 정확성 및 효율성을 높이기 위해 Bliss et al.[6]이 제안한 포물선 형태의 요소에 대한 Biot-Savart 식을 적용하였다.
마지막으로 형상 항력을 예측하기 위해, 프로펠러 단면 형상에 대한 2차원 공력 계수 테이블을 만들고, 계산된 국부 마하수와 유효 받음각으로부터 항력 계수 및 모멘트 계수를 참조하여 사용하였다.
3.2 공력 예측 절차
프로펠러의 공력 예측을 위해서는 스팬 방향별 코드 길이, 뒤젖힘각, 비틀림각 등의 형상정보를 수집하여 캠버면 위에 와류 격자를 분포시켜야 하고, 블레이드 단면 익형의 2 차원 공력 계수 테이블을 작성해야 한다. 본 연구에서는 3D 스캔을 활용하여 Fig. 8과 같은 3 차원 형상정보를 수집하였다.
드론 프로펠러는 NACA 시리즈와 같이 정형화된 익형을 사용하지 않으며, 공력 계수의 실험 데이터가 존재하지 않는다. 본 연구에서는 5 개의 단면 익형에 대해 2-D CFD를 통하여 공력 계수 데이터를 생성하고 예측에 참조하였다. 익형 공력 계수의 계산은 정상 상태에서 Navier-Stokes 방정식을 통해 진행하였다. 운동량 방정식에서 압력의 계산은 2 차로 차분하였고, 운동량과 난류 운동 에너지 및 소산율의 차분은 2 차 풍상차분법을 이용하였다. 난류 모델로는 SST k-omega 모델을 사용하였다. 계산에 활용한 격자의 개수는 약 10 만개 정도이고, 익형의 경계면 주위에서는
가 1이 되도록 첫번째 셀의 높이를 조절하여, 경계층에서의 유동을 잘 모사할 수 있도록 하였다. 받음각의 계산은 각 익형에 대해 -6°에서 12°까지 3°간격으로 나누어 진행하였고, 각 받음각에 대해 마하수는 0.1부터 0.5까지 0.1간격으로 진행하였다. 5개의 익형에 대해 위와 같은 35개 경우에 대한 공력 계산을 수행함으로써, Fig. 9와 같이 양력계수, 항력계수, 모멘트계수에 대한 데이터를 수집하였다.
수집한 형상 정보 및 공력 테이블을 바탕으로 자유 후류 와류 격자 기법을 적용하여 프로펠러의 공력 예측을 진행하였다. 블레이드 경계면 위의 와류 격자는 코드 방향으로 6 개, 스팬 방향으로 30 개를 배치하였으며, 격자의 스팬 방향 위치에서의 공력 데이터는 공력 테이블을 선형 보간하여 사용하였다.
후류 와류의 격자 개수는 스팬 방향으로는 14 개를 사용하였으며, 블레이드가 전진함에 따라 떨어져나간 와류 요소들은 100 번째까지의 데이터만을 이용하여 유도 속도를 계산하였다. 프로펠러가 총 10바퀴 회전할 때까지 계산한 후 나타난 공력 결과들을 활용하였다.
3.3 공력 예측 결과
Fig. 10은 r/min에 따른 프로펠러의 추력 및 토크의 예측 결과를 실험값과 비교한 그림으로, 전체 계산 영역에서 실험 결과를 잘 예측하는 것을 확인할 수 있다. 추력 예측 결과는 모든 r/min 구간에서 5 % 이하의 예측 오차를 나타내며, 토크는 낮은 r/min 구간에서는 최대 15 %까지 낮게 예측되었으나 주로 운용되는 5000 r/min 이상의 구간에서는 역시 5 % 이내의 오차범위 내에서 예측되었다. 예측에 의한 추력 계수는 평균 0.0146으로 r/min에 독립적인 것으로 나타났고, 토크 계수는 실험값과 마찬가지로 이 증가함에 따라 형상 항력이 감소하여 줄어드는 것을 확인하였다. r/min이 증가할수록 실험값보다 토크를 높게 예측하는 경향성을 보이는데, 2차원 공력 테이블을 참조하여 형상 항력을 계산함에 있어 높은 마하수에서 항력 계수가 줄어드는 정도가 과소평가 된 것으로 판단된다.
|
Fig. 10. Experimental and predictive values of aerodynamic performance according to propeller r/min. |
프로펠러의 추력과 토크 예측 결과는 연구 대상 프로펠러에 대해 본 연구에서 사용한 공력 예측 기법의 모델이 적합하다는 것을 보여준다.
IV. 프로펠러의 소음 예측
4.1 소음 예측 기법
고정 r/min으로 회전하는 회전체로부터 발생하는 공력 소음은 크게 불연속 주파수 소음과 광대역 소음으로 분류할 수 있다. 불연속 주파수 소음은 두께 소음, 하중 소음, 고속 충격 소음, 블레이드-와류 간섭 소음 등 주기적인 회전에 의해 발생하는 소음이며, 광대역 소음은 난류 유입 소음이나 익형 자체 소음에 의해 발생한다.[7]
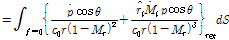
불연속 주파수 소음은 블레이드의 표면 압력 분포에 대한 정보로부터, Ffowcs Williams-Hawkings 방정식을 통해 얻을 수 있다. Ffowcs Williams와 Hawkings는 임의의 움직이는 물체에 대해 그 경계면은
, 내부는
, 외부는
으로 정의하고 Lighthill의 음향상사 이론을 적용하여 Eq. (5)와 같은 방정식을 제안하였다.[8,9]

. (5)
이때 모든 비선형 항은 세 번째 항의 Lighthill stress tensor
에 포함되어 있으며 quadrupole source의 형태로 나타난다. 비선형 항의 계산을 위해서는 블레이드 주변 음장의 공력 계산이 수반되어야 하나, 본 연구에서 공력 예측에 사용한 자유 후류 와류 격자 기법으로는 블레이드 표면과 후류를 제외한 주위 유동의 정보를 얻을 수 없다. 따라서 본 연구에서는 Ffowcs Williams-Hawkings 방정식을 통해 두께소음과 하중소음에 해당하는 선형항의 해만을 예측하고, 비선형 항에 의한 영향은 이후 언급하는 광대역 소음 예측을 위한 실험식을 통해 보정하였다. Lighthill stress tensor에 의한 quadrupole source는 낮은
에서 소음 방사 효율이 매우 낮으므로 다른 선형 항들에 비해 소음 레벨에 미치는 영향이 미미하며, quadrupole source 항에 의해 계산되는 고속 충격 소음은 드론의 운용 환경에서는 발생하지 않는다.[2]
Eq. (5)의 우변의 앞선 두 항은 각각 두께 소음과 하중 소음에 해당하는 항이며, 이를 수치적으로 구현하고 프로펠러의 소음 예측에 적용하기 위해 Eq. (6)과 같은 Farassat이 제안한 formulation 1A의 형태를 사용하였다.[10] 수식의
는 각 소음원마다 수음점에 도달하는 지연시간을 고려하여 적분 계산을 수행함을 의미한다.


. (6)


.
광대역 소음의 주 소음원은 난류 유입 소음과 익형 자체 소음으로 구분된다. 난류 유입 소음은 대기의 난류와 블레이드와의 상호 작용을 통해 발생하며, 익형 자체 소음은 유입류와는 무관하게 익형의 경계층에서 형성된 난류나 와류에 의해 발생한다. 익형 자체 소음에는 경계층 내의 난류가 익형 뒷전을 지나며 발생하는 TBLTE(Turbulent Boundary Layer Trailing Edge noise), 날카롭지 않은 익형 뒷전에서의 작은 유동 박리로 인한 와류 발산에 의해 발생하는 Bluntness noise 등이 있다.
난류 유입 소음은 대기 중의 난류가 유입되어 익형 표면에 국부적인 하중의 변화를 일으켜서 발생하며, 따라서 하중 소음과 같은 dipole의 방사 특징을 갖는다. 본 연구에서는 난류 유입 소음의 예측을 위해 Eqs. (7)과 (8) 같은 Lowson에 의해 제안된 실험식을 사용하였다.[11,12]
. (7)

(8)
.
는 저주파 보정 상수이며,
는 정규화된 파수이다.. 대기 난류의 길이 척도
와 난류 강도
는 Eqs. (9)와 (10)에 나타난 실험식을 사용하여 결정하였다.[13]
. (9)

. (10)
익형 자체 소음의 예측에는 Brooks, Pope, Marcolini가 익형 자체 소음의 측정을 통해 제시한 반실험식을 사용하였다.[14] TBLTE는 익형의 흡입면과 압력면의 소음, 그리고 실속 이후에서의 소음도로 나누어 예측하며, 각각의 계산을 위한 식은 Eqs. (11)에서 (14)와 같다.

. (11)

. (12)

. (13)
. (14)
여기서
는 난류 경계층의 변위 두께,
와
는 실험에 의한 주파수 스펙트럼의 형상 함수,
과
는 주파수 스펙트럼의 변위 함수를 의미하며, 아래 첨자
,
,
는 각각 흡입면, 압력면, 실속 이후를 나타낸다. 또한 스트롤 수와 소음의 방향성 함수
는 Eqs. (15)에서 (19)와 같이 정의된다.
. (15)
. (16)
. (17)
. (18)
. (19)
또한, Bluntness noise의 예측을 위한 반실험식은 Eq. (20)과 같다.

.
(20)
이때
는 흡입면과 압력면 경계층 두께의 평균값을 의미하며,
는 Eq. (19)의 방향성 함수와 동일하다.
는 익형 뒷전의 길이,
는 익형 뒷전의 사이각을 나타내며,
와
는 앞에서와 마찬가지로 실험에 의한 주파수 스펙트럼의 형상 함수이다.
는 익형 뒷전의 길이를 바탕으로 한 스트롤 수이다.
앞선 식들에서 알 수 있듯이 실험식을 이용한 프로펠러의 익형 자체 소음 예측을 위해서는 익형 주위의 난류 경계층의 두께를 정확히 예측하는 것이 필요하다. 본 연구에서는 3.2.에서 진행한 익형의 2차원 CFD 해석 결과를 바탕으로, 주어진 레이놀즈 수에서의 각 익형별 경계층 두께를 계산하였다. 레이놀즈 수 및 블레이드의 스팬 방향 위치에 대한 경계층 두께를 선형 보간하여 소음 예측에 활용하였다.
4.2 소음 예측 결과
3 장에서 예측한 공력 데이터를 이용하여, 프로펠러의 고정 r/min에서의 소음을 불연속 주파수 소음과 광대역 소음으로 나누어 예측하고, 2 장에 제시한 실험 데이터와 비교하였다.
Fig. 11은 로터 평면으로부터 0°, 30°, 45°, 60°에서 r/min에 따른 소음 레벨의 측정 및 예측 결과를 나타낸다. 소음의 예측 레벨이 실험 결과를 잘 따라가는 것을 확인할 수 있으며, 예측 오차는 로터 평면에서의 결과를 제외하면 모두 3 dB 이내의 범위에 들어온다. 예측에 사용한 소음원 중에는 5000 r/min 이상에서는 모든 각도에 대해 하중 소음이 지배적인 것으로 나타났으며, 다음으로 TBLTE가 중요한 역할을 하는 것으로 나타났다. 난류 유입 소음은 로터 평면으로부터의 각도에 따라 점점 증가하여 60°에서는 TBLTE와 거의 같은 영향을 보이며, dipole source의 방사 특징을 잘 보여준다. 프로펠러의 익형이 매우 얇고 뒷전의 두께 또한 짧기 때문에 두께 소음과 Bluntness noise의 영향은 크지 않은 것을 확인할 수 있다.
Fig. 12에는 5250 r/min, 6968 r/min, 8707 r/min에서의 로터 회전 평면 아래에 발생하는 소음도의 크기 및 방향성을 나타내었다. 전체 소음도의 예측 결과는 r/min별 레벨과 마찬가지로 실험 결과를 잘 설명하는 것을 확인할 수 있다. 프로펠러 소음의 측정 및 예측 결과는 방사 방향별로 소음 레벨의 차이가 크지 않은 것을 보여주며, 로터 평면으로부터 약 30° 위치에서 최대 소음도를 나타낸다. 헬리콥터 소음과 방사 패턴이 다른 이유는 프로펠러의 스팬 방향별 비틀림 각이 상대적으로 크기 때문에 하중 소음이 분산되어 방사된다는 점과, 상대적으로 낮은 회전판 하중에 의하여 전체 소음도에서 TBLTE가 차지하는 부분이 더 크기 때문으로 해석된다.
마찬가지로 5250 r/min, 6968 r/min, 8707 r/min에 대하여, 로터 평면으로부터 30° 위치에서의 측정 및 예측된 소음의 주파수 스펙트럼을 Fig. 13에 나타내었다. 비교한 세 r/min에 대해 모두 불연속 주파수 성분의 레벨을 잘 예측하는 것을 확인할 수 있으며, 특히 BPF 성분의 예측 오차는 2 dB 이내로 높은 정확성을 보인다. 조화 성분들의 예측 결과도 약 9 차 성분까지 실험 데이터의 경향성을 잘 따라간다. 광대역 소음의 예측 결과는 1000 Hz 이상에서는 측정값과 비슷한 경향성을 보여주지만, 저주파 대역의 소음은 예측되지 않음을 알 수 있다. 프로펠러를 제외한 모터 소음의 측정 결과로부터, 저주파 대역의 광대역 소음의 소음원은 프로펠러가 아닌 모터나 측정 장비로 인한 배경 소음임을 유추할 수 있다. 또한 광대역 소음의 예측 모델이 실험 데이터를 기반으로 한 실험식인 만큼 실험식의 구성에 사용된 조건에서 벗어날수록 예측 오차가 증가하게 되며, 드론 프로펠러는 캠버가 크고 앞전과 뒷전의 형상이 일반적이지 않은 점이 오차의 원인으로 생각된다. 이러한 부분의 개선을 위해서는 드론 프로펠러의 익형이 어느 정도 정형화된 이후 운용 환경에서의 실험을 통해 실험식의 보정이 필요할 것으로 보인다.
전반적으로 r/min이 높아질수록 예측의 정확성이 감소하는 것으로 나타났는데,
이 증가함에 따라 비압축성 유동의 가정에서 벗어난다는 점과 본 연구에서 고려하지 않은 프로펠러의 공탄성 효과가 커지기 때문으로 생각된다.
살펴본 소음 예측 결과는 측정된 소음에 대한 많은 부분을 설명하고 있으며, 길지 않은 계산 시간으로 소음 레벨 및 방향성, 주파수 특성과 같은 활용 가능한 소음 지표들을 예측할 수 있음을 보여준다. 또한 공력 및 소음 예측 과정에서 연구 대상 프로펠러에만 국한되는 조건이나 가정을 사용하지 않았으므로, 비슷한 레이놀즈 수 및 마하 수 환경에 놓여있는 다른 드론 프로펠러들에 대해서도 같은 기법을 활용하여 만족할만한 수준의 소음 예측이 가능할 것으로 기대된다. 이는 곧 본 연구에서 제시한 소음 예측의 일련의 과정이 연구 대상 프로펠러의 소음 저감 연구 및 저소음 형상 설계 기술 개발에 활용되기에 적합하다는 의미이다.
V. 결 론
본 연구에서는 멀티로터형 무인항공기의 고효율 및 저소음 프로펠러 개발을 위한 기틀을 마련하고자 짧은 계산시간으로 공력 성능 및 소음을 예측할 수 있는 기법을 개발하였다.
먼저 무인항공기의 프로펠러를 선정하여 3차원 형상 정보를 수집하고, 단면에서의 공력 계수 및 경계층 두께를 계산하기 위하여 2차원 CFD를 사용하였다. 자유 후류 와류 격자 기법을 활용하여 블레이드 표면의 압력 분포를 계산하고, 프로펠러 전체의 공력 성능을 예측하였다. 본 기법은 비정상 하중 소음의 예측에 적용할 수 있으면서 3차원 CFD보다 계산 비용이 낮은, 저소음 설계 연구에서 활용하기 적합한 기법이다.
음향 상사법을 이용하여 예측된 표면 압력 분포로부터 불연속 주파수 소음을 계산하고, 경계층 두꼐를 기반으로 하는 실험식을 사용하여 광대역 소음을 계산하였다.
수치 기법의 검증을 위하여 무향실 내에서 로터의 r/min에 따른 추력, 토크 및 소음을 측정하고, 프로펠러에 대한 측정 데이터 및 예측 결과를 비교하였다.
주로 운용되는 r/min 범위 내에서 단일 프로펠러의 공력 및 소음 현상을 잘 예측하는 것을 확인하였고, 따라서 본 연구에서 제안한 수치적 예측 기법이 무인항공기 프로펠러의 형상 설계를 위한 기반 기술로서 적용 가능할 것으로 기대된다.
















